图拓扑排序 · 进击的java菜鸟
图拓扑排序
在工程实践中,一个工程项目往往由若干个子项目组成。这些子项目间往往有两种关系:
- 先后关系,即必须在某个项完成后才能开始实施另一个子项目。
- 子项目间无关系,即两个子项目可以同时进行,互不影响。
例如:在工厂里产品的生产线上,一个产品由若干个零部件组成。零部件生产时,也存在这两种关系:
- 先后关系,即一个部件必须在完成后才能生产另一个部件;
- 部件间无先后关系,即这两个部件可以同时生产。
那么如何合理的分配资源才能保证工程能够按时完成呢?将任务作为图的顶点,将任务之间的依赖关系作为图的边,这样就可以将实际问题抽象为数据结构图论中的典型问题——图的拓扑排序。
重要概念
- 有向无环图(Directed Acyclic Graph, DAG)是有向图的一种,字面意思的理解就是图中没有环。常常被用来表示事件之间的驱动依赖关系,管理任务之间的调度。
- AOV网:在每一个工程中,可以将工程分为若干个子工程,这些子工程称为活动。如果用图中的顶点表示活动,以有向图的弧表示活动之间的优先关系,这样的有向图称为AOV网,即顶点表示活动的网。 在AOV网中,如果从顶点vi到顶点j之间存在一条路径,则顶点vi是顶点vj的前驱,顶点vj是顶点vi的后继。活动中的制约关系可以通过AOV网中的表示。 在AOV网中,不允许出现环,如果出现环就表示某个活动是自己的先决条件。 因此需要对AOV网判断是否存在环,可以利用有向图的拓扑排序进行判断。
- 拓扑序列:设G=(V,E)是一个具有n个顶点的有向图,V中的顶点序列v1,v2,…,vn,满足若从顶点vi到vj有一条路径,则在顶点序列中顶点vi必在vj之前,则我们称这样的顶点序列为一个拓扑序列。
- 拓扑排序:拓扑排序是对一个有向图构造拓扑序列的过程。
拓扑排序
拓扑排序(Topological Sorting)是一个有向无环图(DAG, Directed Acyclic Graph)的所有顶点的线性序列。且该序列必须满足下面两个条件:
- 每个顶点出现且只出现一次。
- A在B前面,则不存在B在A前面的路径。( 不能成环!!!!)
- 顶点的顺序是保证所有指向它的下个节点在被指节点前面!(例如A—>B—>C那么A一定在B前面,B一定在C前面)。所以,这个核心规则下只要满足即可,所以拓扑排序序列不一定唯一!
注:有向无环图(DAG)才有拓扑排序,非DAG图没有拓扑排序一说。
拓扑排序算法分析

正常步骤为(方法不一定唯一):
- 从DGA图中找到一个 没有前驱的顶点输出。(可以遍历,也可以用优先队列维护)
- 删除以这个点为起点的边。(它的指向的边删除,为了找到下个没有前驱的顶点)
- 重复上述,直到最后一个顶点被输出。如果还有顶点未被输出,则说明有环!
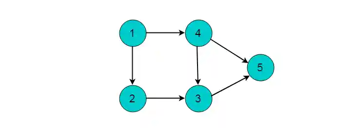
对于上图的简单序列,可以简单描述步骤为:
删除1或2输出

删除2或3以及对应边

删除3或者4以及对应边

重复以上规则步骤

这样就完成一次拓扑排序,得到一个拓扑序列,但是这个序列并不唯一!从过程中也看到 有很多选择方案, 具体得到结果看你算法的设计了。但只要满足即是拓扑排序序列。
另外观察 12436579这个序列满足我们所说的有关系的节点指向的在前面, 被指向的在后面。如果完全没关系那不一定前后(例如1,2)
拓扑排序代码实现
对于拓扑排序,如何用代码实现呢?对于拓扑排序,虽然在上面详细介绍了思路和流程,也很通俗易懂。但是实际上代码的实现还是很需要斟酌的, 如何在空间和时间上能够得到较好的平衡且取得较好的效率?
首先要考虑 存储。对于节点,首先他有联通点这么多属性。遇到稀疏矩阵还是用邻接表比较好。 因为一个节点的指向节点较少,用 邻接矩阵较浪费资源。
另外,如果是1,2,3,4,5,6这样的序列求拓扑排序,我们可以考虑用数组,但是如果遇到1,2,88,9999类似数据,可以考虑用map中转一下。那么,
我们具体的代码思想为:
- 新建node类,包含节点数值和它的指向(这里直接用list集合替代链表了)
- 一个数组包含node(这里默认编号较集中)。初始化,添加每个节点指向的时候同时被指的节点入度+1!(A—>C)那么C的入度+1;
- 扫描一遍所有node。将所有入度为0的点加入一个 栈(队列)。
- 当栈(队列)不空的时候,抛出其中任意一个node(栈就是尾,队就是头,顺序无所谓,上面分析了只要同时入度为零可以随便选择顺序)。将node输出,并且 node指向的所有元素入度减一。如果某个点的入度被减为0,那么就将它加入栈(队列)。
- 重复上述操作,直到栈为空。
这里主要是利用栈或者队列储存入度只为0的节点,只需要初次扫描表将入度为0的放入栈(队列)中。
- 这里你或许会问为什么。
- 因为节点之间是有相关性的,一个节点若想入度为零,那么它的父节点(指向节点)肯定在它为0前入度为0,拆除关联箭头。从父节点角度,它的这次拆除联系,可能导致被指向的入读为0,也可能不为0(还有其他节点指向儿子)
至于具体demo:
package Graph;
import java.util.ArrayDeque;
import java.util.ArrayList;
import java.util.List;
import java.util.Queue;
import java.util.Stack;
public class tuopu {
static class node
{
int value;
List<Integer> next;
public node(int value) {
this.value=value;
next=new ArrayList<Integer>();
}
public void setnext(List<Integer>list) {
this.next=list;
}
}
public static void main(String[] args) {
// TODO Auto-generated method stub
node []nodes=new node[9];//储存节点
int a[]=new int[9];//储存入度
List<Integer>list[]=new ArrayList[10];//临时空间,为了存储指向的集合
for(int i=1;i<9;i++)
{
nodes[i]=new node(i);
list[i]=new ArrayList<Integer>();
}
initmap(nodes,list,a);
//主要流程
//Queue<node>q1=new ArrayDeque<node>();
Stack<node>s1=new Stack<node>();
for(int i=1;i<9;i++)
{
//System.out.print(nodes[i].next.size()+" 55 ");
//System.out.println(a[i]);
if(a[i]==0) {s1.add(nodes[i]);}
}
while(!s1.isEmpty())
{
node n1=s1.pop();//抛出输出
System.out.print(n1.value+" ");
List<Integer>next=n1.next;
for(int i=0;i<next.size();i++)
{
a[next.get(i)]--;//入度减一
if(a[next.get(i)]==0)//如果入度为0
{
s1.add(nodes[next.get(i)]);
}
}
}
}
private static void initmap(node[] nodes, List<Integer>[] list, int[] a) {
list[1].add(3);
nodes[1].setnext(list[1]);
a[3]++;
list[2].add(4);list[2].add(6);
nodes[2].setnext(list[2]);
a[4]++;a[6]++;
list[3].add(5);
nodes[3].setnext(list[3]);
a[5]++;
list[4].add(5);list[4].add(6);
nodes[4].setnext(list[4]);
a[5]++;a[6]++;
list[5].add(7);
nodes[5].setnext(list[5]);
a[7]++;
list[6].add(8);
nodes[6].setnext(list[6]);
a[8]++;
list[7].add(8);
nodes[7].setnext(list[7]);
a[8]++;
}
}
输出结果
2 4 6 1 3 5 7 8

当然,上面说过用栈和队列都可以!如果使用队列就会得到 12345678的拓扑序列
至于图的构造,因为没有条件可能效率并不高,算法也可能不太完美.
入度表法
入度表法是根据顶点的入度来判断是否存在依赖关系。若顶点入度不为0。则必然此顶点的事件有前驱依赖事件,因此每次选取入度为0的顶点输出,则符合拓扑排序的性质。
算法流程
- 从图中选择一个入度为0的顶点,输出该顶点。
- 从图中删除该节点及其所有出边(即与之邻接的所有顶点入度-1)
- 反复执行这两个步骤,直至所有节点都输出,即整个拓扑排序完成;或者直至剩下的图中再没有入度为0的节点,这就说明此图中有回路,不可能进行拓扑排序。
实例图解
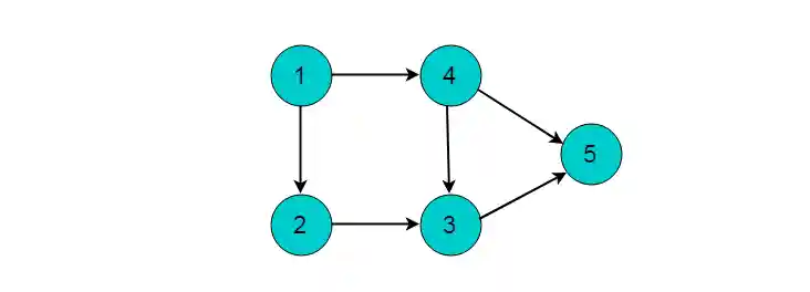
例如:下图所示的有向无环图,采用入度表的方法获取拓扑排序过程。

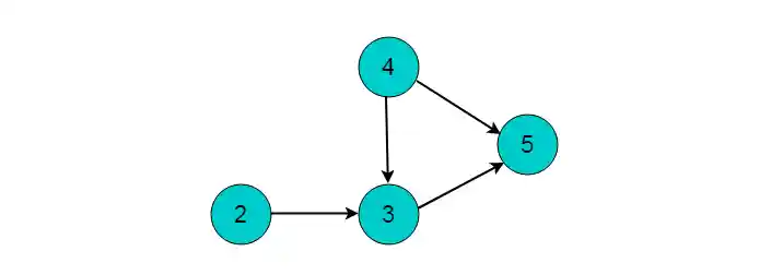
选择图中入度为0的顶点1,输出顶点1。删除顶点1,并删除以顶点1为尾的边。删除后图为:

继续选择入度为0的顶点。现在,图中入度为0的顶点有2和4,这里我们选择顶点2,输出顶点2。删除顶点2,并删除以顶点2为尾的边。删除后图为:

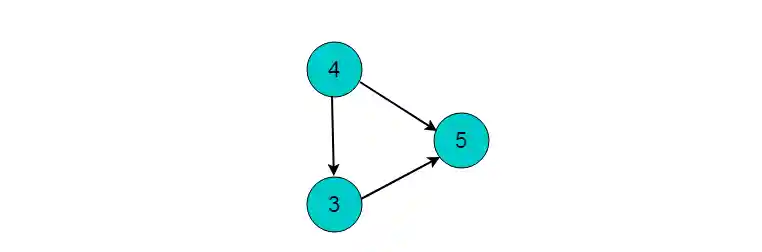
选择入度为0的顶点4,输出顶点4.删除顶点4,并删除以顶点4为尾的边。删除后图为:

选择入度为0的顶点3,输出顶点3.删除顶点3,并删除以顶点3为尾的边。删除后图为:

最后剩余顶点5,输出顶点5,拓扑排序过程结束。最终的输出结果为:

性能分析
算法时间复杂度分析:统计所有节点入度的时间复杂性为(VE);接下来删边花费的时间也是(VE),总花费时间为O(VE)。若使用队列保存入度为0的顶点,则可以将这个算法复杂度将为O(V+E)。
DFS方法
深度优先搜索过程中,当到达出度为0的顶点时,需要进行回退。在执行回退时记录出度为0的顶点,将其入栈。则最终出栈顺序的逆序即为拓扑排序序列。
算法流程
- 对图执行深度优先搜索。
- 在执行深度优先搜索时,若某个顶点不能继续前进,即顶点的出度为0,则将此顶点入栈。
- 最后得到栈中顺序的逆序即为拓扑排序顺序。
实例图解
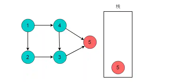
例如下图所示的有向无环图,采用DFS的方法获取拓扑排序过程。

选择起点为顶点1,,开始执行深度优先搜索。顺序为1->2->3->5。

深度优先搜索到达顶点5时,顶点5出度为0。将顶点5入栈。

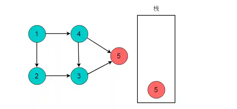
深度优先搜索执行回退,回退至顶点3。此时顶点3的出度为0,将顶点3入栈。

回退至顶点2,顶点2出度为0,顶点2入栈。

回退至顶点1,顶点1可以前进位置为顶点4,顺序为1->4。

顶点4出度为0,顶点4入栈。

回退至顶点1,顶点1出度为0,顶点1入栈。

栈的逆序为1->4->2->3->5。此顺序为拓扑排序结果。
性能分析
时间复杂度分析:首先深度优先搜索的时间复杂度为O(V+E),而每次只需将完成访问的顶点存入数组中,需要O(1),因而总复杂度为O(V+E)。