JDK的互斥锁与共享锁 · 进击的java菜鸟
数据竞争
我们知道现代机器处理器几乎都是多核多线程的,引入多核多线程机制是为了尽可能提升机器整体处理性能。但是多核多线程也会带来很多并发问题,其中很重要的一个问题是数据竞争,数据竞争即多个线程同时访问共享数据而导致了数据冲突(不正确)。数据竞争如果没处理好则意味着整个业务逻辑可能出错,所以在高并发环境中我们要特别注意这点。

数据竞争产生条件
存在数据竞争的场景必须满足以下几个条件:
- 多个线程对某个共享数据进行访问。
- 这些线程同时地进行访问。
- 访问即是读或写数据操作。
- 至少有一个线程是执行写数据操作。
数据竞争例子
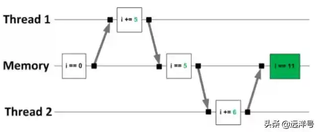
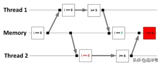
为更好理解数据竞争问题,下面我们举一个数据竞争的例子。下面两张图,上面的是不存在数据竞争时正确的结果。刚开始内存中i=0,线程一读取后将i加5。修改完后线程二才读取内存中的i并将其加6,最终i=11。而下面的情况则不同,线程二在线程一还没修改完就读取内存中i,此时导致最终的结果为i=6。


同步与锁
既然多个线程并发执行经常会涉及数据竞争问题,那么我们该如何解决这个问题呢?答案就是引入同步机制,通过同步机制来控制共享数据的访问,就能够解决数据竞争问题。实现同步机制可以通过锁来实现,所以AQS框架也抽象出了锁的获取操作和释放操作。而且还提供了包括独占锁和共享锁两种模式,这样对于上层的各种同步器的实现就方便很多了。

独占锁
独占锁是指该锁一次只能由一个线程持有,其它线程则无法获得,除非已持有锁的线程释放了该锁。一个线程只有在成功获取锁后才能继续往下执行,当离开竞争区域时则释放锁,释放的锁供其他即将进入数据竞争区域的线程获取。

获取独占锁和释放独占锁分别对应acquire方法和release方法。获取独占锁的主要逻辑为:先尝试获取锁,成功则往下执行,否则把线程放到等待队列中并可能将线程挂起。释放独占锁的主要逻辑为:唤醒等待队列中一个或多个线程去尝试获取锁。在AQS中可以用以下伪代码表示独占锁的获取与释放。
获取独占锁的伪代码:

释放独占锁的伪代码:

共享锁
共享锁是指该锁可以由多个线程所持有,多个线程都能同时获得该锁,而不必等到持有锁的线程释放该锁。比如一般我们所说的读锁就是共享锁,一个共享数据是可以被多个线程去读取的,只要它们都不改变共享数据就不会有数据竞争问题。

获取共享锁和释放共享锁分别对应acquireShared方法和releaseShared方法。获取共享锁的主要逻辑为: 先尝试获取锁,成功则往下执行,否则把线程放到等待队列中并可能将线程挂起。释放共享锁的主要逻辑为:唤醒等待队列中一个或多个线程去尝试获取锁。在AQS中可以用以下伪代码表示共享锁的获取与释放。
获取共享锁的伪代码

释放共享锁的伪代码
