Note: this HTML is made by applying knitr::spin() to an R script. So the
narrative is very minimal.
pick a way to load the data
gdURL <- "http://tiny.cc/gapminder" gDat <- read.delim(file = gdURL) gDat <- read.delim("gapminderDataFiveYear.tsv") str(gDat)
## 'data.frame': 1704 obs. of 6 variables:
## $ country : Factor w/ 142 levels "Afghanistan",..: 1 1 1 1 1 1 1 1 1 1 ...
## $ year : int 1952 1957 1962 1967 1972 1977 1982 1987 1992 1997 ...
## $ pop : num 8425333 9240934 10267083 11537966 13079460 ...
## $ continent: Factor w/ 5 levels "Africa","Americas",..: 3 3 3 3 3 3 3 3 3 3 ...
## $ lifeExp : num 28.8 30.3 32 34 36.1 ...
## $ gdpPercap: num 779 821 853 836 740 ...
ggplot(gDat, aes(x = gdpPercap, y = lifeExp)) # nothing to plot yet!
## Error: No layers in plot
p <- ggplot(gDat, aes(x = gdpPercap, y = lifeExp)) # just initializes
scatterplot
#p + layer(geom = "point")log transformation ... quick and dirty
ggplot(gDat, aes(x = log10(gdpPercap), y = lifeExp)) + geom_point()
a better way to log transform
p + geom_point() + scale_x_log10()
let's make that stick
common workflow: gradually build up the plot you want
re-define the object 'p' as you develop "keeper" commands
convey continent by color: MAP continent variable to aesthetic color
p + geom_point(aes(color = continent))
ggplot(gDat, aes(x = gdpPercap, y = lifeExp, color = continent)) + geom_point() + scale_x_log10() # in full detail, up to now
address overplotting: SET alpha transparency and size to a value
p + geom_point(alpha = (1/3), size = 3)
add a fitted curve or line
p + geom_point() + geom_smooth()
## geom_smooth: method="auto" and size of largest group is >=1000, so using gam with formula: y ~ s(x, bs = "cs"). Use 'method = x' to change the smoothing method.
p + geom_point() + geom_smooth(lwd = 3, se = FALSE)
## geom_smooth: method="auto" and size of largest group is >=1000, so using gam with formula: y ~ s(x, bs = "cs"). Use 'method = x' to change the smoothing method.
p + geom_point() + geom_smooth(lwd = 3, se = FALSE, method = "lm")
revive our interest in continents!
p + aes(color = continent) + geom_point() + geom_smooth(lwd = 3, se = FALSE)
## geom_smooth: method="auto" and size of largest group is <1000, so using loess. Use 'method = x' to change the smoothing method.
facetting: another way to exploit a factor
p + geom_point(alpha = (1/3), size = 3) + facet_wrap(~ continent)
p + geom_point(alpha = (1/3), size = 3) + facet_wrap(~ continent) + geom_smooth(lwd = 2, se = FALSE)
## geom_smooth: method="auto" and size of largest group is <1000, so using loess. Use 'method = x' to change the smoothing method.
## geom_smooth: method="auto" and size of largest group is <1000, so using loess. Use 'method = x' to change the smoothing method.
## geom_smooth: method="auto" and size of largest group is <1000, so using loess. Use 'method = x' to change the smoothing method.
## geom_smooth: method="auto" and size of largest group is <1000, so using loess. Use 'method = x' to change the smoothing method.
## geom_smooth: method="auto" and size of largest group is <1000, so using loess. Use 'method = x' to change the smoothing method.
exercises:
- plot lifeExp against year
- make mini-plots, split out by continent
- add a fitted smooth and/or linear regression, w/ or w/o facetting
- other ideas?
plot lifeExp against year
(y <- ggplot(gDat, aes(x = year, y = lifeExp)) + geom_point())
make mini-plots, split out by continent
y + facet_wrap(~ continent)
add a fitted smooth and/or linear regression, w/ or w/o facetting
y + geom_smooth(se = FALSE, lwd = 2) + geom_smooth(se = FALSE, method ="lm", color = "orange", lwd = 2)
## geom_smooth: method="auto" and size of largest group is >=1000, so using gam with formula: y ~ s(x, bs = "cs"). Use 'method = x' to change the smoothing method.
y + geom_smooth(se = FALSE, lwd = 2) + facet_wrap(~ continent)
## geom_smooth: method="auto" and size of largest group is <1000, so using loess. Use 'method = x' to change the smoothing method.
## geom_smooth: method="auto" and size of largest group is <1000, so using loess. Use 'method = x' to change the smoothing method.
## geom_smooth: method="auto" and size of largest group is <1000, so using loess. Use 'method = x' to change the smoothing method.
## geom_smooth: method="auto" and size of largest group is <1000, so using loess. Use 'method = x' to change the smoothing method.
## geom_smooth: method="auto" and size of largest group is <1000, so using loess. Use 'method = x' to change the smoothing method.
last bit on scatterplots
how can we "connect the dots" for one country?
i.e. make a spaghetti plot?
y + facet_wrap(~ continent) + geom_line() # uh, no
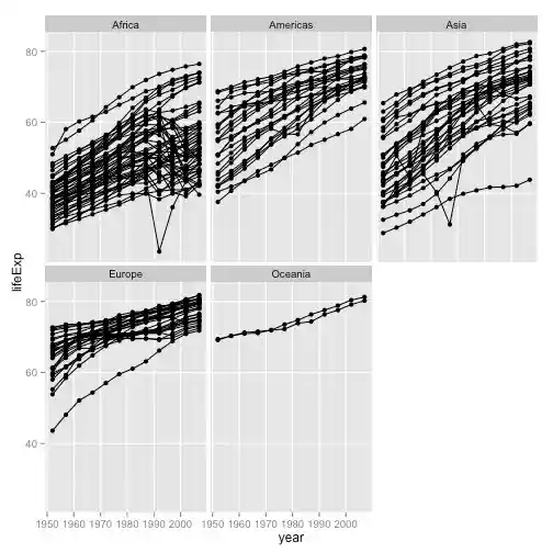
y + facet_wrap(~ continent) + geom_line(aes(group = country)) # yes!
y + facet_wrap(~ continent) + geom_line(aes(group = country)) + geom_smooth(se = FALSE, lwd = 2)
## geom_smooth: method="auto" and size of largest group is <1000, so using loess. Use 'method = x' to change the smoothing method.
## geom_smooth: method="auto" and size of largest group is <1000, so using loess. Use 'method = x' to change the smoothing method.
## geom_smooth: method="auto" and size of largest group is <1000, so using loess. Use 'method = x' to change the smoothing method.
## geom_smooth: method="auto" and size of largest group is <1000, so using loess. Use 'method = x' to change the smoothing method.
## geom_smooth: method="auto" and size of largest group is <1000, so using loess. Use 'method = x' to change the smoothing method.
note about subsetting data
sadly, ggplot() does not have a 'subset =' argument
so do that 'on the fly' with subset(..., subset = ...)
ggplot(subset(gDat, country == "Zimbabwe"), aes(x = year, y = lifeExp)) + geom_line() + geom_point()
let just look at four countries
jCountries <- c("Canada", "Rwanda", "Cambodia", "Mexico") ggplot(subset(gDat, country %in% jCountries), aes(x = year, y = lifeExp, color = country)) + geom_line() + geom_point()
when you really care, make your legend easy to navigate
this means visual order = data order = factor level order
ggplot(subset(gDat, country %in% jCountries), aes(x = year, y = lifeExp, color = reorder(country, -1 * lifeExp, max))) + geom_line() + geom_point()
another approach to overplotting ggplot(gDat, aes(x = gdpPercap, y = lifeExp)) +
ggplot(gDat, aes(x = gdpPercap, y = lifeExp)) + scale_x_log10() + geom_bin2d()
## R version 3.1.0 (2014-04-10)
## Platform: x86_64-apple-darwin10.8.0 (64-bit)
##
## locale:
## [1] en_CA.UTF-8/en_CA.UTF-8/en_CA.UTF-8/C/en_CA.UTF-8/en_CA.UTF-8
##
## attached base packages:
## [1] stats graphics grDevices utils datasets methods base
##
## other attached packages:
## [1] mgcv_1.7-29 nlme_3.1-117 ggplot2_0.9.3.1 knitr_1.5.33
##
## loaded via a namespace (and not attached):
## [1] colorspace_1.2-4 digest_0.6.4 evaluate_0.5.5 formatR_0.10
## [5] grid_3.1.0 gtable_0.1.2 labeling_0.2 lattice_0.20-29
## [9] markdown_0.6.5 MASS_7.3-33 Matrix_1.1-3 munsell_0.4.2
## [13] plyr_1.8.1 proto_0.3-10 Rcpp_0.11.1 reshape2_1.4
## [17] scales_0.2.4 stringr_0.6.2 tools_3.1.0






















