Python, MATLAB, Julia, R code: Chapter 6
Intro to Probability for Data Science
Chapters
Lecture Videos + Slides
Selected Exercise Videos
Code and Data
Problem Solutions (Instructor Only)
Purdue Courses
Acknowledgement: The Julia code is written by the contributors listed here.
Acknowledgement: The R code is written by contributors listed here.
Chapter 6.2 Probability Inequality
Compare Chebyshev's and Chernoff's bounds
% MATLAB code to compare the probability bounds epsilon = 0.1; sigma = 1; N = logspace(1,3.9,50); p_exact = 1-normcdf(sqrt(N)*epsilon/sigma); p_cheby = sigma^2./(epsilon^2*N); p_chern = exp(-epsilon^2*N/(2*sigma^2)); loglog(N, p_exact, '-o', 'Color', [1 0.5 0], 'LineWidth', 2); hold on; loglog(N, p_cheby, '-', 'Color', [0.2 0.7 0.1], 'LineWidth', 2); loglog(N, p_chern, '-', 'Color', [0.2 0.0 0.8], 'LineWidth', 2);
using Distributions, Plots
epsilon = 0.1
sigma = 1
p_exact(N) = 1 - cdf(Normal(), sqrt(N) * epsilon / sigma)
p_cheby(N) = sigma^2 / (epsilon^2 * N);
p_chern(N) = exp(-epsilon^2 * N / (2*sigma^2));
ex_args = (linewidth=2, color=RGB(1.0, 0.5, 0.0), label="Exact", markershape=:circle)
chb_args = (linewidth=2, color=RGB(0.2, 0.7, 0.1), label="Chebyshev", linestyle=:dashdot)
chern_args = (linewidth=2, color=RGB(0.2, 0.0, 0.8), label="Chernoff")
Ns = [10^i for i in range(1, 3.8, length=50)]
scatter(Ns, p_exact.(Ns); ex_args...,
xaxis=:log10,
yaxis=:log10, yticks=[1e-15, 1e-10, 1e-5, 1e0],
legend=:bottomleft)
plot!(p_cheby; chb_args...)
plot!(p_chern; chern_args...)
library(pracma)
epsilon <- 0.1
sigma <- 1;
N <- logspace(1,3.9,50)
p_exact <- 1-pnorm(sqrt(N)*epsilon/sigma)
p_cheby <- sigma^2 / (epsilon^2*N)
p_chern <- exp(-epsilon^2*N/(2*sigma*2))
plot(log(N), log(p_exact), pch=1, col="orange", lwd=4, xlab="log(N)", ylab="log(Probability)")
lines(log(N), log(p_cheby), lty=6, col="green", lwd=4)
lines(log(N), log(p_chern), pch=19, col="blue", lwd=4)
legend(3, -25, c("Exact","Chebyshev","Chernoff"), fill=c("orange", "green", "blue"))
Chapter 6.3 Law of Large Numbers
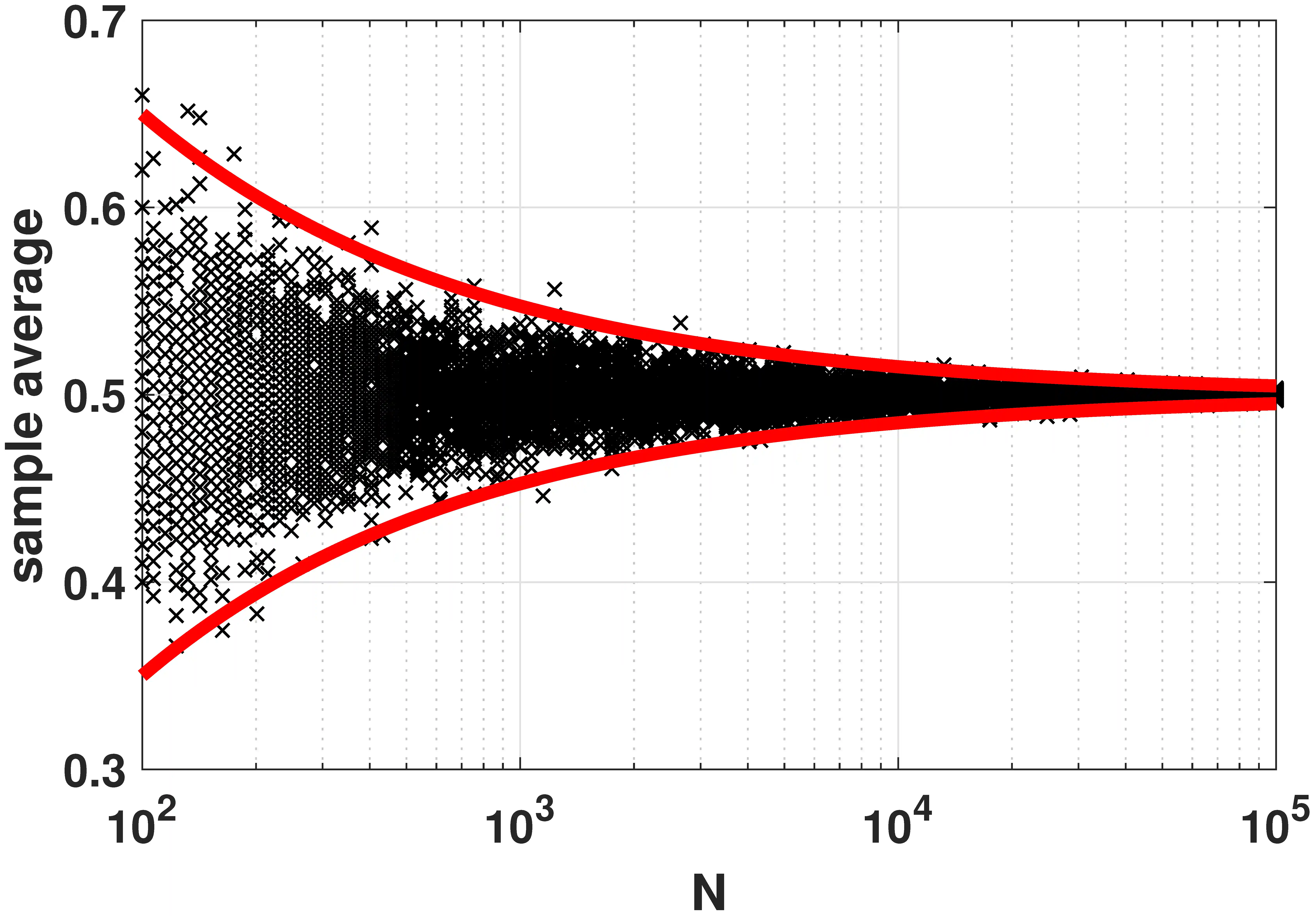
Weak law of large numbers
% MATLAB code to illustrate the weak law of large numbers
Nset = round(logspace(2,5,100));
for i=1:length(Nset)
N = Nset(i);
p = 0.5;
x(:,i) = binornd(N, p, 1000,1)/N;
end
y = x(1:10:end,:)';
semilogx(Nset, y, 'kx'); hold on;
semilogx(Nset, p+3*sqrt(p*(1-p)./Nset), 'r', 'LineWidth', 4);
semilogx(Nset, p-3*sqrt(p*(1-p)./Nset), 'r', 'LineWidth', 4);
import numpy as np import matplotlib.pyplot as plt import scipy.stats as stats import numpy.matlib p = 0.5 Nset = np.round(np.logspace(2,5,100)).astype(int) x = np.zeros((1000,Nset.size)) for i in range(Nset.size): N = Nset[i] x[:,i] = stats.binom.rvs(N, p, size=1000)/N Nset_grid = np.matlib.repmat(Nset, 1000, 1) plt.semilogx(Nset_grid, x,'ko'); plt.semilogx(Nset, p + 3*np.sqrt((p*(1-p))/Nset), 'r', linewidth=6) plt.semilogx(Nset, p - 3*np.sqrt((p*(1-p))/Nset), 'r', linewidth=6)
using Distributions, Plots
p = 0.5
Nset = round.((10).^range(2,5,length=100))
x = zeros(length(Nset), 1000)
for (i,N) in enumerate(Nset)
x[i,:] = rand(Binomial(N, p), 1000) / N
end
y = x[:, 1:10:end]
scatter(Nset, y; xaxis=:log10, xticks=[1e2, 1e3, 1e4, 1e5],
markershape=:x, color=:black,
ylabel="sample average",
legend=false)
plot!(Nset, p .+ 3*sqrt.(p*(1-p) ./ Nset); color=:red, linewidth=4)
plot!(Nset, p .- 3*sqrt.(p*(1-p) ./ Nset); color=:red, linewidth=4)
library(pracma)
p <- 0.5
Nset <- as.integer(round(logspace(2,5,100)))
x <- matrix(rep(0, 1000*length(Nset)), nrow=1000)
for (i in 1:length(Nset)) {
N = Nset[i]
x[,i] <- rbinom(1000, N, p) / N
}
Nset_grid <- repmat(Nset, m=1, n=1000)
semilogx(Nset_grid, x, col='black', pch=19)
points(Nset, p + 3*(((p*(1-p))/Nset)^(1/2)), col='red', pch=19, lwd=1)
points(Nset, p - 3*(((p*(1-p))/Nset)^(1/2)), col='red', pch=19, lwd=1)
Chapter 6.4 Central Limit Theorem
PDF of the sum of two Gaussians
% MATLAB: Plot the PDF of the sum of two Gaussians
figure;
n = 10000;
K = 2;
Z = zeros(1,n);
for i=1:K
X = randi(6,1,n);
Z = Z + X;
end
m = 3.5*K;
v = sqrt(K*(6^2-1)/12);
histogram(Z,K-0.5:6*K+0.5,'Normalization',...
'probability','FaceColor',[0 0.5 0.8],'LineWidth',2);
set(gcf, 'Position', [100, 100, 600, 400]);
set(gca,'FontWeight','bold','fontsize',14);
using Distributions, Plots
n = 10000;
K = 2
X = DiscreteUniform(1, 6)
mu = mean(X)
sigma = std(X)
Z = sum(rand(X, n) for _ in 1:K)
mk = K * mu
sk = sqrt(K) * sigma
bin_range = (floor(mk - 3sk) - 1/2):(ceil(mk + 3sk) + 1/2)
plot_args = (normalize=true, color=RGB(0, 0.5, 0.8), linewidth=2, legend=false,
bins=bin_range)
histogram(Z; plot_args..., title="⚁"^K)
library(pracma)
n <- 10000
K <- 2
Z <- rep(0, n)
for (i in 1:K) {
X <- runif(n, min=1, max=6)
Z <- Z + X
}
hist(Z,breaks=(K-0.5):(6*K+0.5),freq=FALSE)
Visualize convergence in distribution
% MATLAB: Visualize convergence in distribution
N = 10; % N = 50;
x = linspace(0,N,1001);
p = 0.5;
p_b = binopdf(x, N, p);
p_n = normpdf(x, N*p, sqrt(N*p*(1-p)));
c_b = binocdf(x, N, p);
c_n = normcdf(x, N*p, sqrt(N*p*(1-p)));
figure;
plot(x,p_b,'LineWidth',2,'Color',[0,0,0]); hold on;
plot(x,p_n,'LineWidth',6,'Color',[0.8,0,0]); hold off;
legend('Binomial', 'Gaussian', 'Location', 'Best');
grid on;
set(gcf, 'Position', [100, 100, 600, 400]);
set(gca,'FontWeight','bold','fontsize',14);
using Distributions, Plots N, p = 10, 0.5 B = Binomial(N,p) Z = Normal(mean(B), std(B)) p_b(x) = pdf(B, x) p_n(x) = pdf(Z, x) c_b(x) = cdf(B, x) c_n(x) = cdf(Z, x) bin_args = (color = RGB(0, 0, 0), linewidth=2, label="Binomial") norm_args = (color = RGB(0.8, 0, 0), linewidth=6, label="Normal") ns = 0:N p1 = plot(ns, p_b.(ns); bin_args..., seriestype=:sticks) plot!(p_n, 0, N; norm_args...) p2 = plot(c_b, 0, N; bin_args...) plot!(c_n; norm_args...) l = @layout [a b] plot(p1, p2, layout=l)
library(pracma)
N <- 10
N <- 50
x <- linspace(0, N, 1001)
p <- 0.5
p_b <- dbinom(x, N, p)
p_n <- dnorm(x, N*p, (N*p*(1-p))**(1/2))
c_b <- pbinom(x, N, p)
c_n <- pnorm(x, N*p, (N*p*(1-p))**(1/2))
plot(x, p_n, lwd=1, col='red')
lines(x, p_b, lwd=2, col='black')
legend("topright", c('Binomial', 'Gaussian'), fill=c('black', 'red'))
Poisson to Gaussian: convergence in distribution
% MATLAB: Poisson to Gaussian: convergence in distribution
N = 4; % N = 10; % N = 50;
x = linspace(0,2*N,1001);
lambda = 1;
p_b = poisspdf(x, N*lambda);
p_n = normpdf(x, N*lambda, sqrt(N*lambda));
c_b = poisscdf(x, N*lambda);
c_n = normcdf(x, N*lambda, sqrt(N*lambda));
figure;
plot(x,p_b,'LineWidth',2,'Color',[0,0,0]); hold on;
plot(x,p_n,'LineWidth',6,'Color',[0.8,0,0]); hold off;
legend('Poisson', 'Gaussian', 'Location', 'NE');
grid on;
set(gcf, 'Position', [100, 100, 600, 400]);
set(gca,'FontWeight','bold','fontsize',18);
figure;
plot(x,c_b,'LineWidth',2,'Color',[0,0,0]); hold on;
plot(x,c_n,'LineWidth',6,'Color',[0.8,0,0]); hold off;
legend('Poisson', 'Gaussian', 'Location', 'SE');
grid on;
set(gcf, 'Position', [100, 100, 600, 400]);
set(gca,'FontWeight','bold','fontsize',18);
using Distributions, Plots N = 4; lambda = 1 P = Poisson(N*lambda) Z = Normal(mean(P), std(P)) p_b(x) = pdf(P, x) p_n(x) = pdf(Z, x) c_b(x) = cdf(P, x) c_n(x) = cdf(Z, x) bin_args = (linewidth=2, color=RGB(0.0, 0.0, 0.0), label="Poisson") norm_args = (linewidth=6, colr=RGB(0.8, 0.0, 0.0), label="Gaussian") ns = 0:2N p1 = plot(ns, p_b.(ns); bin_args..., seriestype=:sticks, legend=:topright) plot!(p_n, 0, 2N; norm_args...) p2 = plot(c_b, 0, 2N; bin_args..., legend=:bottomright) plot!(c_n; norm_args...) l = @layout [a b] plot(p1, p2, layout=l)
library(pracma)
N <- 4
x <- linspace(0,2*N,1001)
lambda <- 1
p_b <- dpois(x, N*lambda)
p_n <- dnorm(x, N*lambda, sqrt(N*lambda))
c_b <- ppois(x, N*lambda);
c_n = pnorm(x, N*lambda, sqrt(N*lambda));
plot(x, p_n, col="red")
lines(x, p_b, col="black")
legend("topright", c('Poisson', 'Gaussian'), fill=c('black', 'red'))
plot(x, c_n, col="red")
lines(x, c_b, col="black")
legend("topright", c('Poisson', 'Gaussian'), fill=c('black', 'red'))
Visualize the Central Limit Theorem
% MATLAB: Visualize the Central Limit Theorem N = 10; x = linspace(0,N,1001); p = 0.5; p_b = binopdf(x, N, p); p_n = normpdf(x, N*p, sqrt(N*p*(1-p))); c_b = binocdf(x, N, p); c_n = normcdf(x, N*p, sqrt(N*p*(1-p))); x2 = linspace(5-2.5,5+2.5,1001); q2 = normpdf(x2,N*p, sqrt(N*p*(1-p))); figure; area(x2,q2,'EdgeColor','none','FaceColor',[0.6,0.9,1]); hold on; plot(x,p_b,'LineWidth',2,'Color',[0,0,0]); grid on; set(gcf, 'Position', [100, 100, 600, 400]); set(gca,'FontWeight','bold','fontsize',14); figure; area(x2,q2,'EdgeColor','none','FaceColor',[0.6,0.9,1]); hold on; plot(x,p_n,'LineWidth',6,'Color',[0.8,0,0]); grid on; set(gcf, 'Position', [100, 100, 600, 400]); set(gca,'FontWeight','bold','fontsize',14);
using Distributions, Plots
N = 10
x = range(0, N, length=1001)
p = 0.5
B = Binomial(N,p)
Z = Normal(mean(B), std(B))
p_b(x) = pdf(B, x)
p_n(x) = pdf(Z, x)
c_b(x) = cdf(B, x)
c_n(x) = cdf(Z, x)
xs = range(5-2.5, 5 + 2.5, length=1001)
p1 = plot(p_n, 5-2.5, 5+2.5; fillrange=0 .* xs, color=RGB(0.6, 0.9, 1.0), legend=false,
title="Binomial PDF")
plot!(0:N, p_b.(0:N); color=RGB(0,0,0), linewidth=2, seriestype=:sticks, layout=1)
p2 = plot(p_n, 5-2.5, 5+2.5, fillrange=0 .* xs, color=RGB(0.6, 0.9, 1.0), legend=false,
title = "Gaussian PDF")
plot!(p_n, 0, N; color=RGB(0.8, 0, 0), linewidth=6, layout=2)
l = @layout [a b]
plot(p1, p2, layout=l)
library(pracma) N <- 10 x <- linspace(0,N,1001) p <- 0.5 p_b <- dbinom(x, N, p); p_n <- dnorm(x, N*p, sqrt(N*p*(1-p))); c_b <- pbinom(x, N, p); c_n <- pnorm(x, N*p, sqrt(N*p*(1-p))); x2 <- linspace(5-2.5,5+2.5,1001); q2 <- dnorm(x2,N*p, sqrt(N*p*(1-p))); plot(x, p_n, col="red") points(x, p_b, col="black", pch=19) polygon(c(min(x2), x2, max(x2)), c(0, q2, 0), col='lightblue')
How moment generating of Gaussian approximates in CLT
% MATLAB: Central Limit Theorem from moment generating functions
p = 0.5;
s = linspace(-10,10,1001);
MX = 1-p+p*exp(s);
N = 2;
semilogy(s, (1-p+p*exp(s/N)).^N, 'LineWidth',8, 'Color',[0.1,0.6,1]); hold on;
mu = p;
sigma = sqrt(p*(1-p)/N);
MZ = exp(mu*s + sigma^2*s.^2/2);
semilogy(s, MZ,':','LineWidth', 8, 'Color',[0,0,0]);
grid on;
axis([-10, 10 1e-2 1e5]);
legend('Binomial MGF', 'Gaussian MGF','Location','NW');
yticks([1e-2 1e-1 1 1e1 1e2 1e3 1e4 1e5]);
set(gcf, 'Position', [100, 100, 600, 400]);
set(gca,'FontWeight','bold','fontsize',24);
using Distributions, Plots
N = 2
p = 0.5;
B = Bernoulli(p)
mu, sigma = mean(B), std(B)/sqrt(N)
Z = Normal(mu, sigma)
m_Bernoulli(s) = mgf(B,s)
m_B(s) = m_Bernoulli(s/N)^N
m_Z(s) = mgf(Z,s)
bin_args = (linewidth=8, color=RGB(0.1, 0.6, 1),
yaxis=:log, yticks = [10.0^i for i in -1:4],
label="Binomial MGF")
norm_args = (linewidth=8, color=RGB(0, 0, 0), yaxis=:log, linestyle=:dot, label="Gaussian MGF")
plot(m_B, -10, 10; bin_args..., legend=:topleft)
plot!(m_Z; norm_args...)
library(pracma)
p <- 0.5
s <- linspace(-10,10,1001)
MX <- 1-p+p*exp(s)
N <- 2
semilogy(s, (1-p+p*exp(s/N))**N, lwd=4, col="lightblue", xlim=c(-10,10), ylim=c(10**-2, 10**5))
mu <- p
sigma <- sqrt(p*(1-p)/N);
MZ <- exp(mu*s + sigma^2*s**2/2);
lines(s, MZ, lwd=4);
legend("topleft", c('Binomial MGF', 'Gaussian MGF'), fill=c('lightblue', 'black'))
Failure of Central Limit Theorem at tails
% MATLAB: Failure of Central Limit Theorem at tails
x = linspace(-1,5,1001);
lambda = 1;
N = 1;
f1 = (sqrt(N)/lambda)*pdf('gamma',(x+sqrt(N))/(lambda/sqrt(N)),N,lambda);
semilogy(x, f1, 'LineWidth', 4, 'Color', [0.8 0.8 0.8]); hold on;
N = 10;
f2 = (sqrt(N)/lambda)*pdf('gamma',(x+sqrt(N))/(lambda/sqrt(N)),N,lambda);
semilogy(x, f2, 'LineWidth', 4, 'Color', [0.6 0.6 0.6]);
N = 100;
f3 = (sqrt(N)/lambda)*pdf('gamma',(x+sqrt(N))/(lambda/sqrt(N)),N,lambda);
semilogy(x, f3, 'LineWidth', 4, 'Color', [0.4 0.4 0.4]);
N = 1000;
f4 = (sqrt(N)/lambda)*pdf('gamma',(x+sqrt(N))/(lambda/sqrt(N)),N,lambda);
semilogy(x, f4, 'LineWidth', 4, 'Color', [0.2 0.2 0.2]);
g = pdf('norm',x,0,1);
semilogy(x, g, '-.', 'LineWidth', 4, 'Color', [0.9 0.0 0.0]);
grid on;
legend('N = 1', 'N = 10', 'N = 100', 'N = 1000', 'Gaussian', 'Location','SW');
axis([-1 5 min(ylim) max(ylim)]);
set(gcf, 'Position', [100, 100, 600, 400]);
set(gca,'FontWeight','bold','fontsize',18);
using Distributions, Plots
lambda = 1;
function gamma_pdf(N)
function(x)
(sqrt(N)/lambda) * pdf(Gamma(N,lambda), (x+sqrt(N))/(lambda/sqrt(N)))
end
end
gaussian_pdf(x) = pdf(Normal(), x)
plot(gamma_pdf(1), -1, 5; linewidth=4, color=RGB(0.8, 0.8, 0.8), label="N=1",
yaxis=:log,
legend=:bottomleft)
plot!(gamma_pdf(10); linewidth=4, color=RGB(0.6, 0.6, 0.6), label="N=10")
plot!(gamma_pdf(100); linewidth=4, color=RGB(0.4, 0.4, 0.4), label="N=100")
plot!(gamma_pdf(1000); linewidth=4, color=RGB(0.2, 0.2, 0.2), label="N=1000")
plot!(gaussian_pdf; linewidth=4, color=RGB(0.9, 0.0, 0.0), label="Gaussian",
linestyle=:dash)
library(pracma)
x <- linspace(-1,5,1001)
lambda <- 1
N <- 1
f1 <- (N**(1/2)/lambda)*dgamma((x+sqrt(N))/(lambda/sqrt(N)), N, lambda)
semilogy(x, f1, lwd=1, col='lightgray', xlim=c(-1,5), ylim=c(10**-6, 1))
N <- 10
f1 <- (N**(1/2)/lambda)*dgamma((x+sqrt(N))/(lambda/sqrt(N)), N, lambda)
lines(x, f1, lwd=2, col='gray')
N <- 100
f1 <- (N**(1/2)/lambda)*dgamma((x+sqrt(N))/(lambda/sqrt(N)), N, lambda)
lines(x, f1, lwd=2, col='darkgray')
N <- 1000
f1 <- (N**(1/2)/lambda)*dgamma((x+sqrt(N))/(lambda/sqrt(N)), N, lambda)
lines(x, f1, lwd=2, col='black')
g <- dnorm(x,0,1)
lines(x, g, lwd=2, pch=1, col='red')
legend("bottomleft", c('N=1', 'N=10', 'N=100', 'N=1000', 'Gaussian'), fill=c('lightgray', 'gray', 'darkgray', 'black', 'red'))











