Chitobiose

Also found in: Medical.

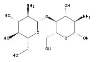
Glucosamine dimer form of chitobiose

N,N'-diacetylglucosamine dimer form of chitobiose

Chitobiose is a dimer of β-1,4-linked glucosamine units. There is ambiguity as to which structure the name refers, owing to the method by which it was first isolated.[1][2]

Chitobiose is the condensed form of 4‐O‐(2‐amino‐2‐deoxy‐β‐d‐glucopyranosyl)‐2‐amino‐2‐deoxy‐d‐glucose and is an acetylation disaccharide found in chitin.[3]

Chitobiose is utilized by Borrelia burgdorferi to produced N-Acetylglucosamine, a component of the bacterial cell wall, and is regularized by the response regulator rrp1. A mutant strain of rrp1 has been found to cause growth deficits with Borrelia burgdorferi.[4]

In Escherichia coli, the chb operon is involved with the utilization of cellobiose and β-glucosides chitobiose. The chbG gene of the chb Operon encodes a chitooligosaccharide deacetylase.[5]

See also

References

  1. ^ Bergmann M, Zervas L, Silberkweit E (1931). "Bemerkung zur Arbeit von B. Lange über die spektrale Empfindlichkeit von Sperrschicht-Photozellen". Naturwissenschaften (in German). 19 (28): 20. Bibcode:1931NW.....19..618B. doi:10.1007/BF01516360.
  2. ^ Zechmeister L, Grassmann W, Töth G, Bender R (1932). "Über die Verknüpfungsart der Glucosamin‐Reste im Chitin". Berichte der Deutschen Chemischen Gesellschaft (in German). 65 (10): 1706–1708. doi:10.1002/cber.19320651016.
  3. ^ Cammack R (2006). Oxford dictionary of biochemistry and molecular biology (Rev. ed.). Oxford: Oxford University Press. ISBN 978-1-61344-113-8. OCLC 743217704.
  4. ^ Sze CW, Smith A, Choi YH, Yang X, Pal U, Yu A, Li C (May 2013). Camilli A (ed.). "Study of the response regulator Rrp1 reveals its regulatory role in chitobiose utilization and virulence of Borrelia burgdorferi". Infection and Immunity. 81 (5): 1775–87. doi:10.1128/IAI.00050-13. PMC 3647990. PMID 23478317.
  5. ^ Verma SC, Mahadevan S (September 2012). "The chbG gene of the chitobiose (chb) operon of Escherichia coli encodes a chitooligosaccharide deacetylase". Journal of Bacteriology. 194 (18): 4959–71. doi:10.1128/JB.00533-12. PMC 3430350. PMID 22797760.

This article is copied from an article on Wikipedia® - the free encyclopedia created and edited by its online user community. The text was not checked or edited by anyone on our staff. Although the vast majority of Wikipedia® encyclopedia articles provide accurate and timely information, please do not assume the accuracy of any particular article. This article is distributed under the terms of GNU Free Documentation License.