Modified starch
Modified starch, also called starch derivatives, are prepared by physically, enzymatically, or chemically treating native starch to change its properties.[1] Modified starches are used in practically all starch applications, such as in food products as a thickening agent, stabilizer or emulsifier; in pharmaceuticals as a disintegrant; or as binder in coated paper. They are also used in many other applications.[2]
Starches are modified to enhance their performance in different applications. Starches may be modified to increase their stability against excessive heat, acid, shear, time, cooling, or freezing; to change their texture; to decrease or increase their viscosity; to lengthen or shorten gelatinization time; or to increase their visco-stability.
Modification methods
![]()
starch acetate
![]()
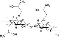
hydroxypropylated starch
![]()
cationic starch
![]()
carboxymethylated starch
Acid-treated starch (INS 1401),[3] also called thin boiling starch, is prepared by treating starch or starch granules with inorganic acids, e.g. hydrochloric acid breaking down the starch molecule and thus reducing the viscosity.
Other treatments producing modified starch (with different INS and E-numbers) are:
- dextrin (INS 1400),[3] roasted starch with hydrochloric acid
- alkaline-modified starch (INS 1402)[3] with sodium hydroxide or potassium hydroxide
- bleached starch (INS 1403)[3] with hydrogen peroxide
- oxidized starch (INS 1404, E1404)[3] with sodium hypochlorite, breaking down viscosity
- enzyme-treated starch (INS 1405),[3] maltodextrin, cyclodextrin
- monostarch phosphate (INS 1410, E1410) with phosphorous acid or the salts sodium phosphate, potassium phosphate, or sodium triphosphate to reduce retrogradation
- distarch phosphate (INS 1412, E1412) by esterification with for example sodium trimetaphosphate, crosslinked starch modifying the rheology, the texture
- acetylated starch (INS 1420, E1420)[3] esterification with acetic anhydride
- hydroxypropylated starch (INS 1440, E1440), starch ether, with propylene oxide, increasing viscosity stability
- hydroxyethyl starch, with ethylene oxide
- starch sodium octenyl succinate (OSA) starch (INS 1450, E1450) used as emulsifier adding hydrophobicity
- starch aluminium octenyl Succinate (INS 1452, E1452)
- cationic starch, adding positive electrical charge to starch
- carboxymethylated starch with monochloroacetic acid adding negative charge
and combined modifications such as
- phosphated distarch phosphate (INS 1413, E1413)
- acetylated distarch phosphate (INS 1414, E1414)
- acetylated distarch adipate (INS 1422, E1422),
- hydroxypropyl distarch phosphate (INS 1442, E1442),
- acetylated oxidized starch (INS 1451, E1451).[3]
Modified starch may also be a cold-water-soluble, pregelatinized or instant starch which thickens and gels without heat, or a cook-up starch which must be cooked like regular starch. Drying methods to make starches cold-water-soluble are extrusion, drum drying, spray drying or dextrinization.
Other starch derivatives, the starch sugars, like glucose, high fructose syrup, glucose syrups, maltodextrins, starch degraded with amylase enzyme are mainly sold as liquid syrup to make a sweetener.
Examples of use and functionality of modified starch
Pre-gelatinized starch is used to thicken instant desserts, allowing the food to thicken with the addition of cold water or milk. Similarly, cheese sauce granules (such as in Macaroni and Cheese or lasagna) or gravy granules may be thickened with boiling water without the product going lumpy. Commercial pizza toppings containing modified starch will thicken when heated in the oven, keeping them on top of the pizza, and then become runny when cooled.
A suitably modified starch is used as a fat substitute for low-fat versions of traditionally fatty foods, e.g. industrial milk-based desserts like yogurt or reduced-fat hard salami having about 1/3 the usual fat content. For the latter type of uses, it is an alternative to the product Olestra.
Modified starch is added to frozen products to prevent them from dripping when defrosted. Modified starch, bonded with phosphate, allows the starch to absorb more water and keeps the ingredients together. Modified starch acts as an emulsifier for French dressing by enveloping oil droplets and suspending them in the water. Acid-treated starch forms the shell of jelly beans. Oxidized starch increases the stickiness of batter.
Carboxymethylated starches are used as a wallpaper adhesive, as textile printing thickener, as tablet disintegrants and excipients in the pharmaceutical industry.
Cationic starch is used as wet end sizing agent in paper manufacturing.
Genetically modified starch
Modified starch should not be confused with genetically modified starch, which refers to starch from genetically engineered plants, such as those that have been genetically modified to produce novel fatty acids or carbohydrates which might not occur in the plant species being harvested. In the United States the term can also refer to foods that have been created by traditional cross-breeding rather than gene splicing.[4] In Europe the term "Genetically Modified Organism" is used solely where "the genetic material has been altered in a way that does not occur naturally through fertilisation and/or natural recombination".[5] The modification in "genetically modified" refers to the genetic engineering of the plant DNA, whereas in the term "Modified Starch" seen on mandatory ingredient labels it refers to the later processing or treatment of the starch or starch granules.
Genetically modified starch is of interest in the manufacture of biodegradable polymers and noncellulose feedstock in the paper industry, as well as the creation of new food additives. For example, researchers aim to alter the enzymes within living plants to create starches with desirable modified properties, and thus eliminate the need for enzymatic processing after starch is extracted from the plant.[6]
See also
- Acceptable daily intake
- Retrogradation (starch)
- Starch gelatinization
- Resistant starch
References
- ^ Vickie Vaclavik, Vickie A. Vaclavik, Elizabeth W. Christian (2007). Essentials of food science (3rd ed.). Springer. p. 61. ISBN 978-0-387-69939-4.
- ^ Starch derivatization: fascinating and unique industrial opportunities, K. F. Gotlieb, A. Capelle, Wageningen Academic Publishers, 2005, ISBN 978-90-76998-60-2
- ^ a b c d e f g h Codex General Standard for Food Additives (GSFA) Online Database
- ^ 1999 October 19, Statement of James H. Maryanski Ph.D, Biotechnology Coordinator, Center for Food Safety and Applied Nutrition, Food and Drug Administration.
- ^ http://www.efsa.europa.eu/en/topics/topic/genetically-modified-organisms, European food Standards Agency, 24 April 2013
- ^ Zeeman et al. "Starch: Its Metabolism, Evolution, and Biotechnological Modification in Plants" in Annual Review of Plant Biology, 2010, http://www.annualreviews.org/doi/full/10.1146/annurev-arplant-042809-112301
- GCSE Food Technology for OCR, Jenny Ridgwell. 2001. ISBN 978-0-435-41951-6
- Revise for OCR GCSE Food Technology, Alison Winson. 2003.
- Degradable Polymers, Recycling, and Plastics Waste Management. S Huang, Ann-Christine Albertsson. 1995.
- Modified Starch, Jenny Ridgwell, Ridgwell Press, 2001, ISBN 978-1-901151-07-7
This article is copied from an article on Wikipedia® - the free encyclopedia created and edited by its online user community. The text was not checked or edited by anyone on our staff. Although the vast majority of Wikipedia® encyclopedia articles provide accurate and timely information, please do not assume the accuracy of any particular article. This article is distributed under the terms of GNU Free Documentation License.