Phosphide

A portion of the structure of Cu3P, highlighting the highly crosslinked nature common to many transition metal phosphides (Cu = orange, P = purple).

In chemistry, a phosphide is a compound containing the P3− ion or its equivalent. Many different phosphides are known, with widely differing structures.[1] Most commonly encountered on the binary phosphides, i.e. those materials consisting only of phosphorus and a less electronegative element. Numerous are polyphosphides, which are solids consisting of anionic chains or clusters of phosphorus. Phosphides are known with the majority of less electronegative elements with the exception of Hg, Pb, Sb, Bi, Te, and Po.[2] Finally, some phosphides are molecular.

Binary phosphides

Binary phosphides include phosphorus and one other element. An example of a group 1 phosphide is sodium phosphide (Na3P). Other notable examples include aluminium phosphide (AlP) and calcium phosphide (Ca3P2), which are used as pesticides, exploiting their tendency to release toxic phosphine upon hydrolysis. Magnesium phosphide (Mg3P2) also is moisture sensitive. Indium phosphide (InP) and GaP are used as a semi-conductors, often in combination of related arsenides.[3] Copper phosphide (Cu3P) illustrates a rare stoichiometry for a phosphide. These species are insoluble in all solvents - they are 3-dimensional solid state polymers. For those with electropositive metals, the materials hydrolyze:

Ca3P2 + 6 H2O → 3 Ca(OH)2 + 2 PH3

Coordination environment around Cu in Cu3P. Two pairs of Cu atoms are eclipsed.

Polyphosphides

Polyphosphides contain P-P bonds. The simplest polyphosphides contain P4−
2
ions;. Others contain the cluster P3−
11
ions and polymeric chain anions (e.g. the helical (P
)
n
ion) and complex sheet or 3-D anions.[4] The range of structures is extensive. Potassium has nine phosphides: K3P, K4P3, K5P4, KP, K4P6, K3P7, K3P11, KP10.3, KP15. Eight mono- and polyphosphides of nickel also exist: (Ni3P, Ni5P2, Ni12P5, Ni2P, Ni5P4, NiP, NiP2, NiP3).[2]

Two polyphosphide ions, P4−
3
found in K
4
P
3
and P5−
4
found in K5P4, are radical anions with an odd number of valence electrons making both compounds paramagnetic.[2]

Preparation of phosphide and polyphosphide materials

There are many ways to prepare phosphide compounds. One common way involves heating a metal and red phosphorus (P) under inert atmospheric conditions or vacuum. In principle, all metal phosphides and polyphosphides can be synthesized from elemental phosphorus and the respective metal element in stoichiometric forms. However, the synthesis is complicated due to several problems. The exothermic reactions are often explosive due to local overheating. Oxidized metals, or even just an oxidized layer on the exterior of the metal, causes extreme and unacceptably high temperatures for beginning phosphorination.[5] Hydrothermal reactions to generate nickel phosphides have produced pure and well crystallized nickel phosphide compounds, Ni2P and Ni12P5. These compounds were synthesized through a solid-liquid reaction between NiCl2∙12H2O and red phosphorus at 200 °C for 24 and 48 hours, respectively.[6]

Metal phosphides are also produced by reaction of tris(trimethylsilyl)phosphine with metal halides. In this method, the halide is liberated as the volatile trimethylsilyl chloride.

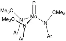
Structure of terminal phosphido complexes of Mo.

A method for the preparation of K2P16 from red phosphorus and potassium ethoxide has been reported.[7]

Molecular phosphides

Compounds with triple bonds between a metal and phosphorus are rare. The main examples have the formula Mo(P)(NR2)3, where R is a bulky organic substituent.[8]

Organic phosphides

Many organophosphides are known. Common examples have the formular R2PM where R is an organic substituent and M is a metal. One example is lithium diphenylphosphide. The Zintl cluster P3−
7
is obtained with diverse alkali metal derivatives.

Natural examples

The mineral Schreibersite (Fe,Ni)3P is common in some meteorites.

References

  1. ^ Greenwood, Norman N.; Earnshaw, Alan (1997). Chemistry of the Elements (2nd ed.). Butterworth-Heinemann. ISBN 978-0-08-037941-8.
  2. ^ a b c Von Schnering, H.G. and Hönle , W. (1994) "Phosphides - Solid-state Chemistry" in Encyclopedia of Inorganic Chemistry. R. Bruce King (ed.). John Wiley & Sons ISBN 0-471-93620-0
  3. ^ Blackman, C. S.; Carmalt, C. J.; O'Neill, S. A.; Parkin, I. P.; Molloy, K. C.; Apostolico, L. (2003). "Chemical vapour deposition of group Vb metal phosphide thin films" (PDF). Journal of Materials Chemistry. 13 (8): 1930. doi:10.1039/b304084b.
  4. ^ Jeitschko, W.; Möller, M. H. (1987). "Phosphides and Polyphosphides of the Transition Metals". Phosphorus and Sulfur and the Related Elements. 30 (1–2): 413–416. doi:10.1080/03086648708080608.
  5. ^ von Schnering, Hans-Georg; Hönle, Wolfgang (1988). "Bridging Chasms with Phosphides". Chem. Rev. 88: 243–273. doi:10.1021/cr00083a012.
  6. ^ Liu, Zongyi; Huang, Xiang; Zhu, Zhibin; Dai, Jinhui (2010). "A simple mild hydrothermal route for the synthesis of nickel phosphide powders". Ceramics International. 36 (3): 1155–1158. doi:10.1016/j.ceramint.2009.12.015.
  7. ^ Facile Conversion of Red Phosphorus into Soluble Polyphosphide Anions by Reaction with Potassium Ethoxide A. Dragulescu-Andrasi, L. Z. Miller, B. Chen, D. T. McQuade, M. Shatruk, Angew. Chem. Int. Ed. 2016, 55, 3904.doi:10.1002/anie.201511186
  8. ^ Cossairt, B. M.; Piro, N. A.; Cummins, C. C. (2010). "Early-Transition-Metal-Mediated Activation and Transformation of White Phosphorus". Chemical Reviews. 110 (7): 4164–77. CiteSeerX 10.1.1.666.8019. doi:10.1021/cr9003709. PMID 20175534.

This article is copied from an article on Wikipedia® - the free encyclopedia created and edited by its online user community. The text was not checked or edited by anyone on our staff. Although the vast majority of Wikipedia® encyclopedia articles provide accurate and timely information, please do not assume the accuracy of any particular article. This article is distributed under the terms of GNU Free Documentation License.