Schmidt reaction

The Schmidt reaction is an organic reaction in which an azide reacts with a carbonyl derivative, usually a aldehyde, ketone, or carboxylic acid, under acidic conditions to give an amine or amide, with expulsion of nitrogen.[1][2][3] It is named after Karl Friedrich Schmidt (1887–1971), who first reported it in 1924 by successfully converting benzophenone and hydrazoic acid to benzanilide.[4] Surprisingly, the intramolecular reaction was not reported until 1991[5] but has become important in the synthesis of natural products.[6]

Schmidt reaction
Named after Karl Friedrich Schmidt
Reaction type Rearrangement reaction
Identifiers
Organic Chemistry Portal schmidt-reaction
RSC ontology ID RXNO:0000170

Schmidt Reaktion Übersicht Carbonsäuren1.svg

The reaction is effective with carboxylic acids to give amines (above), and with ketones to give amides (below).

Schmidt Reaktion Übersicht Ketone1.svg

Reaction mechanism

The reaction is closely related to the Curtius rearrangement except that in this reaction the acyl azide is produced by reaction of the carboxylic acid with hydrazoic acid via the protonated carboxylic acid, in a process akin to a Fischer esterification. An alternative, involving the formation of an acylium ion, becomes more important when the reaction takes place in concentrated acid (>90% sulfuric acid).[7] (In the Curtius rearrangement, sodium azide and an acyl chloride are combined to quantitatively generate the acyl azide intermediate, and the rest of the reaction takes place under neutral conditions.)

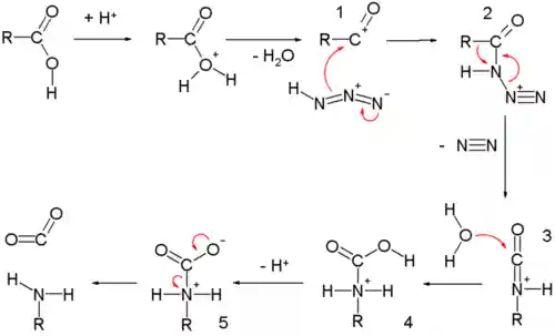
The carboxylic acid Schmidt reaction starts with acylium ion 1 obtained from protonation and loss of water. Reaction with hydrazoic acid forms the protonated azido ketone 2, which goes through a rearrangement reaction with the alkyl group R, migrating over the C-N bond with expulsion of nitrogen. The protonated isocyanate is attacked by water forming carbamate 4, which after deprotonation loses carbon dioxide to the amine.

Schmidt reaction mechanism amine formation


In the reaction mechanism for the Schmidt reaction of ketones, the carbonyl group is activated by protonation for nucleophilic addition by the azide, forming azidohydrin 3, which loses water in an elimination reaction to diazoiminium 5. One of the alkyl or aryl groups migrates from carbon to nitrogen with loss of nitrogen to give a nitrilium intermediate 6, as in the Beckmann rearrangement. Attack by water converts 6 to protonated imidic acid 7, which undergoes loss of proton to arrive at the imidic acid tautomer of the final amide. In an alternative mechanism, the migration occurs at 9, directly after protonation of intermediate 3, in a manner similar to the Baeyer-Villiger reaction to give protonated amide 10. Loss of a proton again furnishes the amide. It has been proposed that the dehydration to 3 to give 5 (and, hence, the Beckmann pathway) is favored by nonaqueous acids like conc. H2SO4, while aqueous acids like conc. HCl favor migration from 9 (the Baeyer-Villiger pathway). These possibilities have been used to account for the fact that, for certain substrates like α-tetralone, the group that migrates can sometimes change, depending on the conditions used, to deliver either of the two possible amides.[8]

Schmidtmech.png

Reactions involving alkyl azides

The scope of this reaction has been extended to reactions of carbonyls with alkyl azides R-N3. This extension was first reported by J.H. Boyer in 1955 [9] (hence the name Boyer reaction), for example, the reaction of m-nitrobenzaldehyde with β-azido-ethanol:

The Boyer reaction

Variations involving intramolecular Schmidt reactions have been known since 1991.[5] These are annulation reactions and have some utility in the synthesis of natural products;[6][10] such as lactams[11] and alkaloids.[12]

Intramolecular Schmidt Reaction

See also

References

  1. ^ Plagens, Andreas; Laue, Thomas M. (2005). Named organic reactions (2nd ed.). Chichester: John Wiley & Sons. ISBN 0-470-01041-X.
  2. ^ Wolff, Hans (2011). "The Schmidt Reaction". Organic Reactions: 307–336. doi:10.1002/0471264180.or003.08. ISBN 978-0471264187.
  3. ^ Lang, S.; Murphy, J. A. (2006). "Azide rearrangements in electron-deficient systems". Chem. Soc. Rev. 35 (2): 146–156. doi:10.1039/B505080D. PMID 16444296.
  4. ^ Schmidt, K. F. (1924). "Über den Imin-Rest". Berichte der Deutschen Chemischen Gesellschaft (A and B Series). 57 (4): 704–723. doi:10.1002/cber.19240570423.
  5. ^ a b Jeffrey Aube & Gregory L. Milligan (1991). "Intramolecular Schmidt reaction of alkyl azides". J. Am. Chem. Soc. 113 (23): 8965–8966. doi:10.1021/ja00023a065.
  6. ^ a b Nyfeler, Erich; Renaud, Philippe (24 May 2006). "Intramolecular Schmidt Reaction: Applications in Natural Product Synthesis". CHIMIA International Journal for Chemistry. 60 (5): 276–284. doi:10.2533/000942906777674714.
  7. ^ Koldobskii, G I; Ostrovskii, Vladimir A; Gidaspov, B V (1978-11-30). "Schmidt Reaction with Aldehydes and Carboxylic Acids". Russian Chemical Reviews. 47 (11): 1084–1094. Bibcode:1978RuCRv..47.1084K. doi:10.1070/rc1978v047n11abeh002294. ISSN 0036-021X.
  8. ^ Crosby, Ian T.; Shin, James K.; Capuano, Ben (2010). "The Application of the Schmidt Reaction and Beckmann Rearrangement to the Synthesis of Bicyclic Lactams: Some Mechanistic Considerations". Australian Journal of Chemistry. 63 (2): 211. doi:10.1071/CH09402. ISSN 0004-9425.
  9. ^ J. H. Boyer & J. Hamer (1955). "The Acid-catalyzed Reaction of Alkyl Azides upon Carbonyl Compounds". J. Am. Chem. Soc. 77 (4): 951–954. doi:10.1021/ja01609a045.
  10. ^ Milligan, Gregory L.; Mossman, Craig J.; Aube, Jeffrey (October 1995). "Intramolecular Schmidt Reactions of Alkyl Azides with Ketones: Scope and Stereochemical Studies". Journal of the American Chemical Society. 117 (42): 10449–10459. doi:10.1021/ja00147a006.
  11. ^ Lei Yao & Jeffrey Aubé (2007). "Cation–π Control of Regiochemistry of Intramolecular Schmidt Reactions en Route to Bridged Bicyclic Lactams" (Communication). J. Am. Chem. Soc. 129 (10): 2766–2767. doi:10.1021/ja068919r. PMC 2596723. PMID 17302421.
  12. ^ Wrobleski, Aaron; Sahasrabudhe, Kiran; Aubé, Jeffrey (May 2004). "Asymmetric Total Synthesis of Dendrobatid Alkaloids: Preparation of Indolizidine 251F and Its 3-Desmethyl Analogue Using an Intramolecular Schmidt Reaction Strategy". Journal of the American Chemical Society. 126 (17): 5475–5481. doi:10.1021/ja0320018. PMID 15113219.

This article is copied from an article on Wikipedia® - the free encyclopedia created and edited by its online user community. The text was not checked or edited by anyone on our staff. Although the vast majority of Wikipedia® encyclopedia articles provide accurate and timely information, please do not assume the accuracy of any particular article. This article is distributed under the terms of GNU Free Documentation License.