Social Force Model
Social force model for pedestrian dynamics Dirk Helbing and Péter Molnár Phys. Rev. E 51, 4282 – Published 1 May 1995
Install and Run
# install from PyPI pip install 'socialforce[test,plot]' # or install from source pip install -e '.[test,plot]' # run linting and tests pylint socialforce pytest tests/*.py
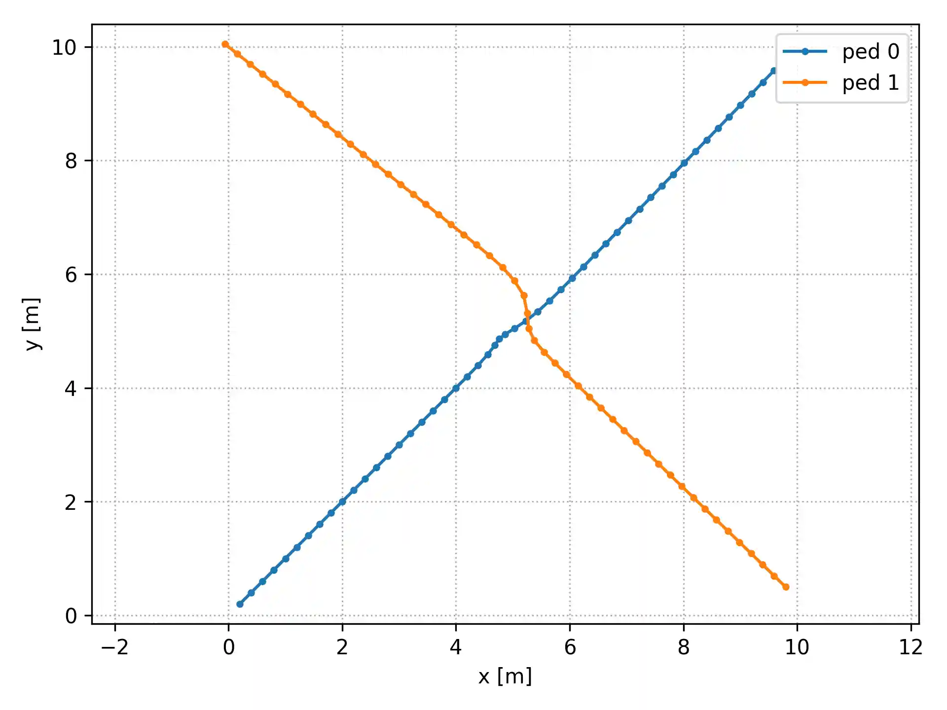
Ped-Ped-Space Scenarios
|
|
Emergent lane formation with 30 pedestrians:
|
Emergent lane formation with 60 pedestrians:
|
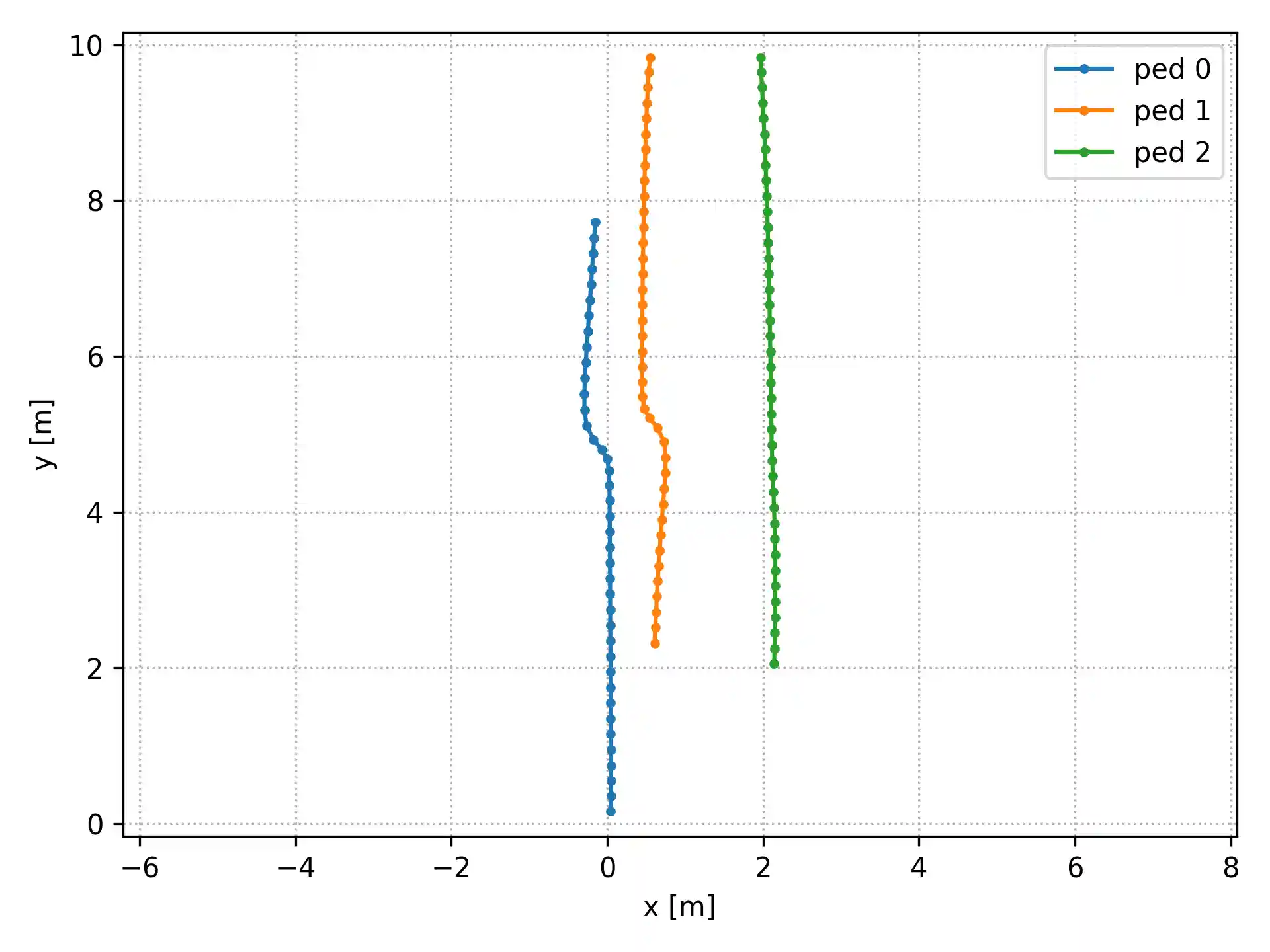
Ped-Ped Scenarios
|
|
|
|







