Welcome to AnaFlow
Purpose
AnaFlow provides several analytical and semi-analytical solutions for the groundwater-flow equation.
Installation
You can install the latest version with the following command:
Documentation for AnaFlow
You can find the documentation under https://anaflow.readthedocs.io.
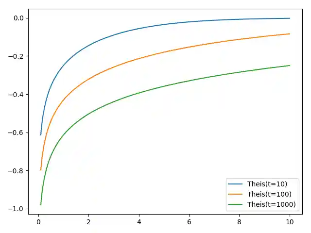
Example
In the following the well known Theis function is called an plotted for three different time-steps.
import numpy as np from matplotlib import pyplot as plt from anaflow import theis time = [10, 100, 1000] rad = np.geomspace(0.1, 10) head = theis(time=time, rad=rad, transmissivity=1e-4, storage=1e-4, rate=-1e-4) for i, step in enumerate(time): plt.plot(rad, head[i], label="Theis(t={})".format(step)) plt.legend() plt.show()
Provided Functions
The following functions are provided directly
thiemThiem solution for steady state pumpingtheisTheis solution for transient pumpingext_thiem_2dextended Thiem solution in 2D from Zech 2013ext_theis_2dextended Theis solution in 2D from Mueller 2015ext_thiem_3dextended Thiem solution in 3D from Zech 2013ext_theis_3dextended Theis solution in 3D from Mueller 2015neuman2004transient solution from Neuman 2004neuman2004_steadysteady solution from Neuman 2004grf"General Radial Flow" Model from Barker 1988ext_grfthe transient extended GRF modelext_grf_steadythe steady extended GRF modelext_thiem_tplextended Thiem solution for truncated power lawsext_theis_tplextended Theis solution for truncated power lawsext_thiem_tpl_3dextended Thiem solution in 3D for truncated power lawsext_theis_tpl_3dextended Theis solution in 3D for truncated power lawsext_thiem_intextended Thiem solution for the Integral variogram modelext_theis_intextended Theis solution for the Integral variogram modelext_thiem_int_3dextended Thiem solution in 3D for the Integral variogram modelext_theis_int_3dextended Theis solution in 3D for the Integral variogram model
Laplace Transformation
We provide routines to calculate the laplace-transformation as well as the inverse laplace-transformation of a given function
get_lapGet the laplace transformation of a functionget_lap_invGet the inverse laplace transformation of a function
Requirements
Contact
You can contact us via info@geostat-framework.org.
License
MIT © 2019 - 2025

