GitHub - JoyIfBam5/cpp-taskflow: Fast C++ Parallel Programming with Task Dependencies

Build Status Gitter chat License: MIT

A fast C++ header-only library to help you quickly build parallel programs with complex task dependencies.

Why Cpp-Taskflow?

Cpp-Taskflow lets you quickly build parallel dependency graphs using modern C++17. It is by far faster, more expressive, and easier for drop-in integration than existing libraries such as OpenMP Tasking and TBB FlowGraph.

Without Cpp-Taskflow With Cpp-Taskflow

"Cpp-Taskflow is the cleanest Task API I've ever seen," Damien

"Cpp-Taskflow allows us to explore more parallelism and go beyond the scale we had," OpenTimer developers

Get Started with Cpp-Taskflow

The following example simple.cpp shows the basic API you need to use Cpp-Taskflow.

#include "taskflow.hpp"  // the only include you need

int main(){
  
  tf::Taskflow tf(std::thread::hardware_concurrency());

  auto [A, B, C, D] = tf.silent_emplace(
    [] () { std::cout << "TaskA\n"; },               //  the taskflow graph
    [] () { std::cout << "TaskB\n"; },               // 
    [] () { std::cout << "TaskC\n"; },               //          +---+          
    [] () { std::cout << "TaskD\n"; }                //    +---->| B |-----+   
  );                                                 //    |     +---+     |
                                                     //  +---+           +-v-+ 
  A.precede(B);  // B runs after A                   //  | A |           | D | 
  A.precede(C);  // C runs after A                   //  +---+           +-^-+ 
  B.precede(D);  // D runs after B                   //    |     +---+     |    
  C.precede(D);  // D runs after C                   //    +---->| C |-----+    
                                                     //          +---+          
  tf.wait_for_all();  // block until finished

  return 0;
}

Compile and run the code with the following commands:

~$ g++ simple.cpp -std=c++1z -O2 -lpthread -o simple
~$ ./simple
TaskA
TaskC  <-- concurrent with TaskB
TaskB  <-- concurrent with TaskC
TaskD

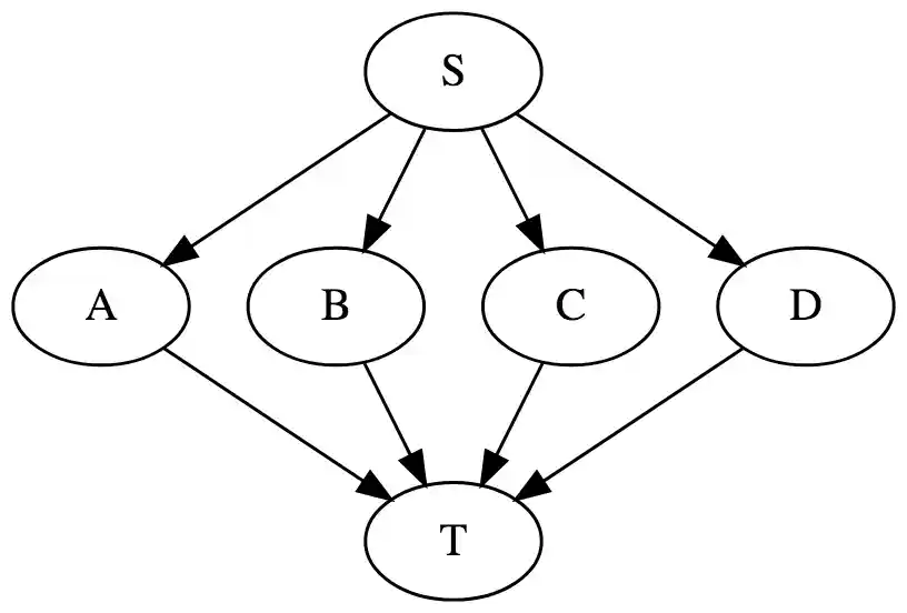
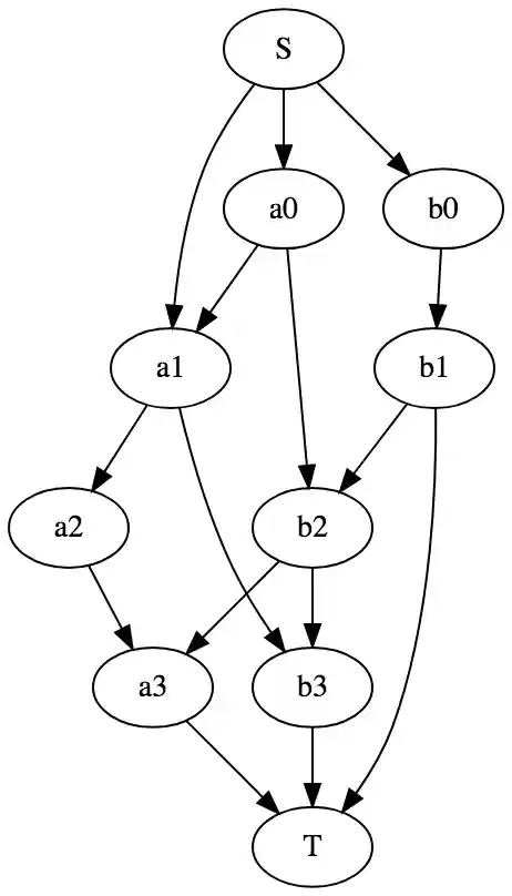
It is clear now Cpp-Taskflow is powerful in parallelizing tasks with complex dependencies. The following example demonstrates a concurrent execution of 10 tasks with 15 dependencies. With Cpp-Taskflow, you only need 15 lines of code.

// source dependencies
S.precede(a0);    // S runs before a0
S.precede(b0);    // S runs before b0
S.precede(a1);    // S runs before a1

// a_ -> others
a0.precede(a1);   // a0 runs before a1
a0.precede(b2);   // a0 runs before b2
a1.precede(a2);   // a1 runs before a2
a1.precede(b3);   // a1 runs before b3
a2.precede(a3);   // a2 runs before a3

// b_ -> others
b0.precede(b1);   // b0 runs before b1
b1.precede(b2);   // b1 runs before b2
b2.precede(b3);   // b2 runs before b3
b2.precede(a3);   // b2 runs before a3

// target dependencies
a3.precede(T);    // a3 runs before T
b1.precede(T);    // b1 runs before T
b3.precede(T);    // b3 runs before T

Create a Taskflow Graph

Cpp-Taskflow has very expressive and neat methods to create dependency graphs. Most applications are developed through the following three steps.

Step 1: Create a Task

To start a task dependency graph, create a taskflow object and specify the number of working threads.

tf::Taskflow tf(std::max(1u, std::thread::hardware_concurrency()));

Create a task via the method emplace and get a pair of Task and future.

auto [A, F] = tf.emplace([](){ std::cout << "Task A\n"; return 1; });

If you don't need a future to retrieve the result, use the method silent_emplace instead.

auto A = tf.silent_emplace([](){ std::cout << "Task A\n"; });

Both methods implement variadic templates and can take arbitrary numbers of callables to create multiple tasks at one time.

auto [A, B, C, D] = tf.silent_emplace(
  [] () { std::cout << "Task A\n"; },
  [] () { std::cout << "Task B\n"; },
  [] () { std::cout << "Task C\n"; },
  [] () { std::cout << "Task D\n"; }
);

Step 2: Define Task Dependencies

Once tasks are created in the pool, you need to specify task dependencies in a Directed Acyclic Graph (DAG) fashion. The handle Task supports different methods for you to describe task dependencies.

Precede: Adding a preceding link forces one task to run ahead of one another.

A.precede(B);  // A runs before B.

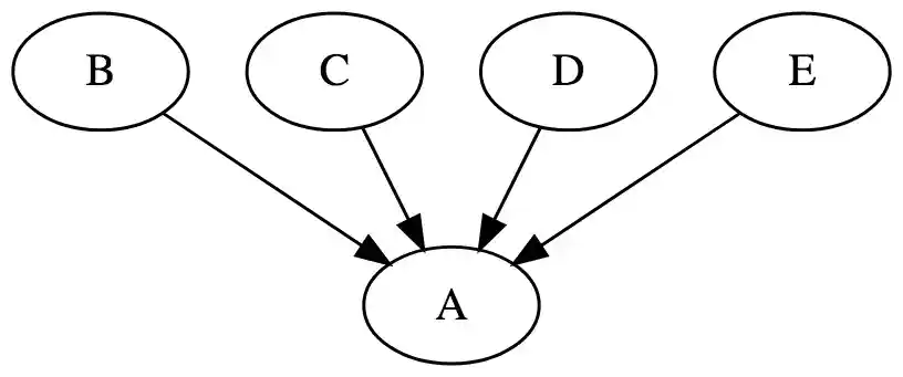
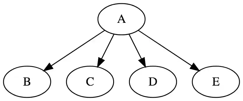
Broadcast: Adding a broadcast link forces one task to run ahead of other(s).

A.broadcast(B, C, D);  // A runs before B, C, and D.

Gather: Adding a gathering link forces one task to run after other(s).

A.gather(B, C, D);  // A runs after B, C, and D.

Linearize: Linearizing a task sequence adds a preceding link to each adjacent pair.

tf.linearize(A, B, C, D);  // A runs before B, B runs before C, and C runs before D.

Step 3: Execute the Tasks

There are three methods to carry out a task dependency graph, dispatch, silent_dispatch, and wait_for_all.

auto future = tf.dispatch();  // non-blocking, returns with a future immediately.
tf.silent_dispatch();         // non-blocking, no return

Calling wait_for_all will block until all tasks complete.

Debug a Taskflow Graph

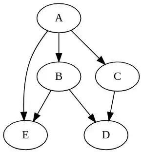
Concurrent programs are notoriously difficult to debug. We suggest (1) naming tasks and dumping the graph, and (2) starting with single thread before going multiple. Currently, Cpp-Taskflow supports GraphViz format.

// debug.cpp
tf::Taskflow tf(0);  // force the master thread to execute all tasks
auto A = tf.silent_emplace([] () { /* ... */ }).name("A");
auto B = tf.silent_emplace([] () { /* ... */ }).name("B");
auto C = tf.silent_emplace([] () { /* ... */ }).name("C");
auto D = tf.silent_emplace([] () { /* ... */ }).name("D");
auto E = tf.silent_emplace([] () { /* ... */ }).name("E");

A.broadcast(B, C, E); 
C.precede(D);
B.broadcast(D, E); 

std::cout << tf.dump();

Run the program and inspect whether dependencies are expressed in the right way. There are a number of free GraphViz tools you could find online to visualize your Taskflow graph.

~$ ./debug

// Taskflow with five tasks and six dependencies
digraph Taskflow {
  "A" -> "B"
  "A" -> "C"
  "A" -> "E"
  "B" -> "D"
  "B" -> "E"
  "C" -> "D"
}

API Reference

Taskflow API

The class tf::Taskflow is the main place to create taskflow graphs and carry out task dependencies. The table below summarizes its commonly used methods.

Method Argument Return Description
Taskflow none none construct a taskflow with the worker count equal to max hardware concurrency
Taskflow size none construct a taskflow with a given number of workers
emplace callables tasks, futures insert nodes to execute the given callables; results can be retrieved from the returned futures
silent_emplace callables tasks insert nodes to execute the given callables
placeholder none task insert a node without any work; work can be assigned later
linearize task list none create a linear dependency in the given task list
parallel_for beg, end, callable, group task pair apply the callable in parallel and group-by-group to the result of dereferencing every iterator in the range
reduce beg, end, res, bop task pair reduce a range of elements to a single result through a binary operator
transform_reduce beg, end, res, bop, uop task pair apply a unary operator to each element in the range and reduce them to a single result through a binary operator
dispatch none future dispatch the current graph and return a shared future to block on completeness
silent_dispatch none none dispatch the current graph
wait_for_all none none dispatch the current graph and block until all graphs including previously dispatched ones finish
num_nodes none size return the number of nodes in the current graph
num_workers size none set the number of worker threads in the pool
num_workers none size return the number of working threads in the pool
num_topologies none size return the number of dispatched graphs
dump none string dump the current graph to a string of GraphViz format

emplace/silent_emplace/placeholder

The main different between emplace and silent_emplace is the return value. The method emplace gives you a future object to retrieve the result of the callable when the task completes.

// create a task through emplace
auto [task, future] = tf.emplace([](){ return 1; });
tf.wait_for_all();
assert(future.get() == 1);

If you don't care the return result, using silent_emplace to create a task can give you slightly better performance.

// create a task through silent_emplace
auto task = tf.emplace([](){ return; });
tf.wait_for_all();

When task cannot be determined beforehand, you can create a placeholder and assign the calalble later.

// create a placeholder and use it to build dependency
auto A = tf.silent_emplace([](){});
auto B = tf.placeholder();
A.precede(B);

// assign the callable later in the control flow
B.work([](){ /* do something */ });

linearize

The method linearize lets you add a linear dependency between each adjacent pair of a task sequence.

// linearize five tasks
tf.linearize(A, B, C, D);

parallel_for

The method parallel_for creates a subgraph that applies the callable to each item in the given range of a container.

// apply callable to each container item in parallel
auto v = {'A', 'B', 'C', 'D'};
auto [S, T] = tf.parallel_for(
  v.begin(),    // beg of range
  v.end(),      // end of range
  [] (int i) { 
    std::cout << "parallel in " << i << '\n';
  },
  1  // execute one task at a time
);
// add dependencies via S and T.

Changing the group size can force intra-group tasks to run sequentially and inter-group tasks to run in parallel. Depending on applications, different group sizes can result in significant performance hit.

// apply callable to two container items at a time in parallel
auto v = {'A', 'B', 'C', 'D'};
auto [S, T] = tf.parallel_for(
  v.begin(),    // beg of range
  v.end(),      // end of range
  [] (int i) { 
    std::cout << "AB and CD run in parallel" << '\n';
  },
  2  // group to execute two tasks at a time
);

reduce/transform_reduce

The method reduce creates a subgraph that applies a binary operator to a range of items. The result will be stored in the referenced res object passed to the method. It is your responsibility to assign it a correct initial value to reduce.

auto v = {1, 2, 3, 4}; 
int sum {0};
auto [S, T] = tf.reduce(    // for example, 2 threads
  v.begin(), v.end(), sum, std::plus<int>()
);  

The method transform_reduce is similar to reduce, except it applies a unary operator before reduction. This is particular useful when you need additional data processing to reduce a range of elements.

auto v = { {1, 5}, {6, 4}, {-6, 4} };
int min = std::numeric_limits<int>::max();
auto [S, T] = tf.transform_reduce(v.begin(), v.end(), min, 
  [] (int l, int r)  { return std::min(l, r); },
  [] (const Data& d) { return a*a + 2*a*b + b*b; }
);

By default, all reduce methods distribute the workload evenly across threads.

dispatch/silent_dispatch/wait_for_all

Dispatching a taskflow graph will schedule threads to execute the current graph and return immediately. The method dispatch gives you a future object to probe the execution progress while silent_dispatch doesn't.

auto future = tf.dispatch();
// do something else to overlap with the execution 
// ...
std::cout << "now I need to block on completion" << '\n';
future.get();
std::cout << "all tasks complete" << '\n';

If you need to block your program flow until all tasks finish, use wait_for_all instead.

tf.wait_for_all();
std::cout << "all tasks complete" << '\n';

Task API

Each tf::Taskflow::Task object is a lightweight handle for you to create dependencies in its associated graph. The table below summarizes its methods.

Method Argument Return Description
name string self assign a human-readable name to the task
work callable self assign a work of a callable object to the task
precede task self enable this task to run before the given task
broadcast task list self enable this task to run before the given tasks
gather task list self enable this task to run after the given tasks
num_dependents none size return the number of dependents (inputs) of this task
num_successors none size return the number of successors (outputs) of this task

name

The method name lets you assign a human-readable string to a task.

work

The method work lets you assign a callable to a task.

A.work([] () { std::cout << "hello world!"; });

precede

The method precede is the basic building block to add a precedence between two tasks.

// make A runs before B
A.precede(B);

broadcast

The method broadcast lets you precede a task to multiple tasks.

// make A run before B, C, D, and E
// B, C, D, and E run in parallel
A.broadcast(B, C, D, E);

gather

The method gather lets you add multiple precedences to a task.

// B, C, D, and E run in parallel
// A runs after B, C, D, and E complete
A.gather(B, C, D, E);

Caveats

While Cpp-Taskflow enables the expression of very complex task dependency graph that might contain thousands of task nodes and links, there are a few amateur pitfalls and mistakes to be aware of.

  • Having a cycle in a graph may result in running forever.
  • Trying to modify a dispatched task can result in undefined behavior.
  • Touching a taskflow from multiple threads are not safe.

Cpp-Taskflow is known to work on most Linux distributions and OSX. Please let me know if you found any issues in a particular platform.

System Requirements

To use Cpp-Taskflow, you only need a C++17 compiler:

  • GNU C++ Compiler G++ v7.2 with -std=c++1z
  • Clang 5.0 C++ Compiler with -std=c++17
  • Microsoft Visual Studio Version 15.7.4

Compile Unit Tests and Examples

Cpp-Taskflow uses CMake to build examples and unit tests. We recommend using out-of-source build.

~$ cmake --version  # must be at least 3.9 or higher
~$ mkdir build
~$ cd build
~$ cmake ../
~$ make 

Unit Tests

Cpp-Taskflow uses Doctest for unit tests.

Alternatively, you can use CMake's testing framework to run the unittest.

Examples

The folder example/ contains several examples and is a great place to learn to use Cpp-Taskflow.

Example Description
simple.cpp use basic task building blocks to create a trivial taskflow graph
debug.cpp inspect a taskflow through the dump method
emplace.cpp demonstrate the difference between the emplace method and the silent_emplace method
matrix.cpp create two set of matrices and multiply each individually in parallel
parallel_for.cpp parallelize a for loop with unbalanced workload
reduce.cpp perform reduce operations over linear containers

Get Involved

Contributors

Cpp-Taskflow is being actively developed and contributed by the following people:

  • Tsung-Wei Huang created the Cpp-Taskflow project and implemented the core routines.
  • Chun-Xun Lin co-created the Cpp-Taskflow project and implemented the core routines.
  • Martin Wong supported the Cpp-Taskflow project through NSF and DARPA funding.
  • Nan Xiao fixed compilation error of unittest on the Arch platform.
  • Vladyslav fixed comment errors in README.md and examples.
  • vblanco20-1 fixed compilation error on Microsoft Visual Studio.

See also the list of contributors who participated in this project. Please let me know if I forgot someone!

Who is Using Cpp-Taskflow?

Cpp-Taskflow is being used in both industry and academic projects to scale up existing workloads that incorporate complex task dependencies. A proprietary research report has shown over 10x improvement by switching to Cpp-Taskflow.

  • OpenTimer: A High-performance Timing Analysis Tool for VLSI Systems.
  • DtCraft: A General-purpose Distributed Programming Systems.

Please let me know if I forgot your project!

License

Cpp-Taskflow is licensed under the MIT License:

Copyright © 2018 Tsung-Wei Huang, Chun-Xun Lin, Martin Wong.

Permission is hereby granted, free of charge, to any person obtaining a copy of this software and associated documentation files (the “Software”), to deal in the Software without restriction, including without limitation the rights to use, copy, modify, merge, publish, distribute, sublicense, and/or sell copies of the Software, and to permit persons to whom the Software is furnished to do so, subject to the following conditions:

The above copyright notice and this permission notice shall be included in all copies or substantial portions of the Software.

THE SOFTWARE IS PROVIDED “AS IS”, WITHOUT WARRANTY OF ANY KIND, EXPRESS OR IMPLIED, INCLUDING BUT NOT LIMITED TO THE WARRANTIES OF MERCHANTABILITY, FITNESS FOR A PARTICULAR PURPOSE AND NONINFRINGEMENT. IN NO EVENT SHALL THE AUTHORS OR COPYRIGHT HOLDERS BE LIABLE FOR ANY CLAIM, DAMAGES OR OTHER LIABILITY, WHETHER IN AN ACTION OF CONTRACT, TORT OR OTHERWISE, ARISING FROM, OUT OF OR IN CONNECTION WITH THE SOFTWARE OR THE USE OR OTHER DEALINGS IN THE SOFTWARE.