A fast C++ header-only library to develop complex and parallel task dependency graphs.
Why Cpp-Taskflow?
Cpp-Taskflow helps you build efficient computational graphs quickly using modern C++17. It is by far faster and more expressive than existing libraries such as OpenMP Tasking and TBB FlowGraph.
Get Started with Cpp-Taskflow
The following example simple.cpp contains the basic syntax you need to use Cpp-Taskflow.
// TaskA---->TaskB---->TaskD // TaskA---->TaskC---->TaskD #include "taskflow.hpp" int main(){ tf::Taskflow tf(std::thread::hardware_concurrency()); auto [A, B, C, D] = tf.silent_emplace( [] () { std::cout << "TaskA\n"; }, [] () { std::cout << "TaskB\n"; }, [] () { std::cout << "TaskC\n"; }, [] () { std::cout << "TaskD\n"; } ); A.precede(B); // B runs after A A.precede(C); // C runs after A B.precede(D); // D runs after B C.precede(D); // C runs after D tf.wait_for_all(); // block until all tasks finish return 0; }
Compile and run the code with the following commands:
~$ g++ simple.cpp -std=c++1z -O2 -lpthread -o simple ~$ ./simple TaskA TaskC <-- concurrent with TaskB TaskB <-- concurrent with TaskC TaskD
Create a Taskflow Graph
Cpp-Taskflow has very expressive, neat, and clear methods to create complex dependency graphs. Most applications are developed through the following three steps.
Step 1: Create a Task
To start a task dependency graph, create a taskflow object and specify the number of working threads in a shared thread pool to carry out tasks.
tf::Taskflow tf(std::max(1u, std::thread::hardware_concurrency()));
Create a task via the method emplace and get a pair of Task and future.
auto [A, F] = tf.emplace([](){ std::cout << "Task A\n"; return 1; });
Or create a task via the method silent_emplace, if you don't need a future to retrieve the result.
auto [A] = tf.silent_emplace([](){ std::cout << "Task A\n"; });
Both methods implement variadic templates and can take arbitrary numbers of arguments to create multiple tasks at one time.
auto [A, B, C, D] = tf.silent_emplace( [] () { std::cout << "Task A\n"; }, [] () { std::cout << "Task B\n"; }, [] () { std::cout << "Task C\n"; }, [] () { std::cout << "Task D\n"; } );
Step 2: Define Task Dependencies
Once tasks are created in the pool, you need to specify task dependencies in a
Directed Acyclic Graph (DAG) fashion.
The class Task supports different methods for you to describe task dependencies.
Precede: Adding a preceding link forces one task to run ahead of one another.
A.precede(B); // A runs before B.Broadcast: Adding a broadcast link forces one task to run ahead of other(s).
A.broadcast(B, C, D); // A runs before B, C, and D.Gather: Adding a gathering link forces one task to run after other(s).
A.gather(B, C, D); // A runs after B, C, and D.Linearize: Linearizing a task sequence adds a preceding link to each adjacent pair.
tf.linearize(A, B, C, D); // A runs before A, B runs before C, and C runs before D.Step 3: Execute the Tasks
There are three methods to carry out a task dependency graph, dispatch, silent_dispatch, and wait_for_all.
auto future = tf.dispatch(); // non-blocking, returns with a future immediately. tf.dispatch(); // non-blocking, no return
Calling wait_for_all will block until all tasks complete.
Debug a Taskflow Graph
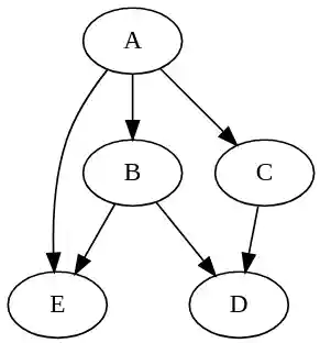
Concurrent programs are notoriously difficult to debug. We suggest (1) naming tasks and dumping the graph, and (2) starting with single thread before going multiple. Currently, Cpp-Taskflow supports GraphViz format.
// debug.cpp tf::Taskflow tf(0); // force the master thread to execute all tasks auto A = tf.silent_emplace([] () { /* ... */ }).name("A"); auto B = tf.silent_emplace([] () { /* ... */ }).name("B"); auto C = tf.silent_emplace([] () { /* ... */ }).name("C"); auto D = tf.silent_emplace([] () { /* ... */ }).name("D"); auto E = tf.silent_emplace([] () { /* ... */ }).name("E"); A.broadcast(B, C, E); C.precede(D); B.broadcast(D, E); std::cout << tf.dump();
Run the program and inspect whether dependencies are expressed in the right way.
~$ ./debug digraph Taskflow { "A" -> "B" "A" -> "C" "A" -> "E" "B" -> "D" "B" -> "E" "C" -> "D" }
There are a number of free GraphViz tools you could find online to visualize your Taskflow graph.
Taskflow with five tasks and six dependencies, generated by Viz.js.
API Reference
Taskflow
The class tf::Taskflow is the main place to create taskflow graphs and carry out task dependencies.
The table below summarizes its commonly used methods.
| Method | Argument | Return | Description |
|---|---|---|---|
| emplace | callable(s) | task, future | insert nodes to the graph to execute the given callables; results can be retrieved from the returned future object |
| silent_emplace | callable(s) | task | insert nodes to the graph to execute the given callables |
| placeholder | none | task | insert a node to the graph without any work; work can be assigned later |
| linearize | task list | none | create a linear dependency in the given task list |
| parallel_for | range, callable | task pair | apply the callable in parallel to each element in the given range and return a task pair as barriers; the range is specified in two iterators |
| dispatch | none | future | dispatch the current graph and return a shared future to block on completeness |
| silent_dispatch | none | none | dispatch the current graph |
| wait_for_all | none | none | dispatch the current graph and block until all graphs including previously dispatched ones finish |
| num_nodes | none | size | return the number of nodes in the current graph |
| num_workers | none | size | return the number of working threads in the pool |
| num_topologies | none | size | return the number of dispatched graphs |
| dump | none | string | dump the current graph to a string of GraphViz format |
Task
Each tf::Taskflow::Task object is a light-weight handle for you to create dependencies in its associated graph.
The table below summarizes its methods.
| Method | Argument | Return | Description |
|---|---|---|---|
| name | string | self | assign a human-readable name to the task |
| work | callable | self | assign a work of a callable object to the task |
| precede | task | self | enable this task to run before the given task |
| broadcast | task list | self | enable this task to run before the given tasks |
| gather | task list | self | enable this task to run after the given tasks |
| num_dependents | none | size | return the number of dependents (inputs) of this task |
| num_successors | none | size | return the number of successors (outputs) of this task |
Caveats
While Cpp-Taskflow enables the expression of very complex task dependency graph that might contain thousands of task nodes and links, there are a few amateur pitfalls and mistakes to be aware of.
- Having a cycle in a graph may result in running forever.
- Trying to modify a dispatched task can result in undefined behavior.
- Touching a taskflow from multiple threads are not safe.
The current version is known to work on most Linux distributions and OSX. We havn't found issues in a particular platform. Please report to us if any.
System Requirements
To use Cpp-Taskflow, you only need a C++17 compiler:
- GNU C++ Compiler G++ v7.2 with -std=c++1z
- Clang 5.0 C++ Compiler with -std=c++17
Compile Unit Tests and Examples
Cpp-Taskflow uses CMake to build examples and unit tests. We recommend using out-of-source build.
~$ cmake --version # must be at least 3.9 or higher ~$ mkdir build ~$ cmake ../ ~$ make
Unit Tests
Cpp-Taskflow uses Doctest for unit tests.
Alternatively, you can use CMake's testing framework to run the unittest.
Examples
The folder example/ contains several examples and is a great place to learn to use Cpp-Taskflow.
Get Involved
- Report bugs/issues by submitting a Github issue.
- Submit contributions using pull requests.
- Live chat and ask questions on Gitter.
Contributors
- Tsung-Wei Huang
- Chun-Xun Lin
- You!
License
Copyright © 2018, Tsung-Wei Huang, Chun-Xun Lin, and Martin Wong. Released under the MIT license.