Simple Stellar Population Tools
Provides access to the EvolvedMF class (and similar subclasses), which
evolves an arbitrary N-component power law initial mass function (IMF) to a
binned present-day mass function (PDMF) at any given set of ages, and computes
the numbers and masses of stars and remnants in each mass bin.
To be used for populating mass models and other such simulations based on an IMF and various other initial population parameters.
Can optionally account for all of the evolution of stars off the main-sequence, the loss of low-mass stars to a host tidal field, the ejection of black holes due to both dynamical ejections and natal kicks.
Note
This is a fork of SSPTools which has been updated to use an N-component mass function, updated remnant initial-final mass relations and implements further black hole retention calculations, among other changes.
Quickstart
SSPTools can be installed from PyPI using:
pip install astro-ssptools
An evolved mass function can be computed using the EvolvedMF class:
import ssptools m_break, a_slopes, nbins = [0.08, 0.5, 150.], [+1.3, -2.3], [5, 30] pdmf = ssptools.EvolvedMF.from_powerlaw(m_break, a_slopes, nbins, FeH=-1.5, tout=13000, Ndot=0, N0=1e6)
Alternatively, an IMF class can be instantiated and used directly:
imf = ssptools.masses.PowerLawIMF(m_break, a_slopes, N0=1e6) pdmf = ssptools.EvolvedMF(imf, nbins, FeH=-1.5, tout=[0, 1000, 13000], Ndot=0)
See the documentation of each class for more details on all possible parameters.
The final element of tout (in Myr) defines the age to which the mass function
is evolved to, where the masses and numbers of stars and remnants (together)
can then be accessed easily:
pdmf.N # Total number of stars in each bin pdmf.M # Total mass of stars in each bin pdmf.m # Mean mass of stars in each bin pdmf.M[pdmf.types == 'MS'] # Star bins only pdmf.M[pdmf.types == 'BH'] # Black hole bins only
All other outputted times can also be seen in the underlying attributes, which
generally have shape (len(tout), sum(nbins)). Note that these arrays will
also contain bins with basically no objects in them (i.e. N<0.1), which are not
valid and are typically filtered out in the output arrays above.
pdmf.Ns[0] # Initial star bin amounts pdmf.Ns[-1] # Final star bin amounts pdmf.Mr # Named tuple with fields ('WD', 'NS', 'BH') pdmf.Mr.BH[-1] # Final BH bin masses
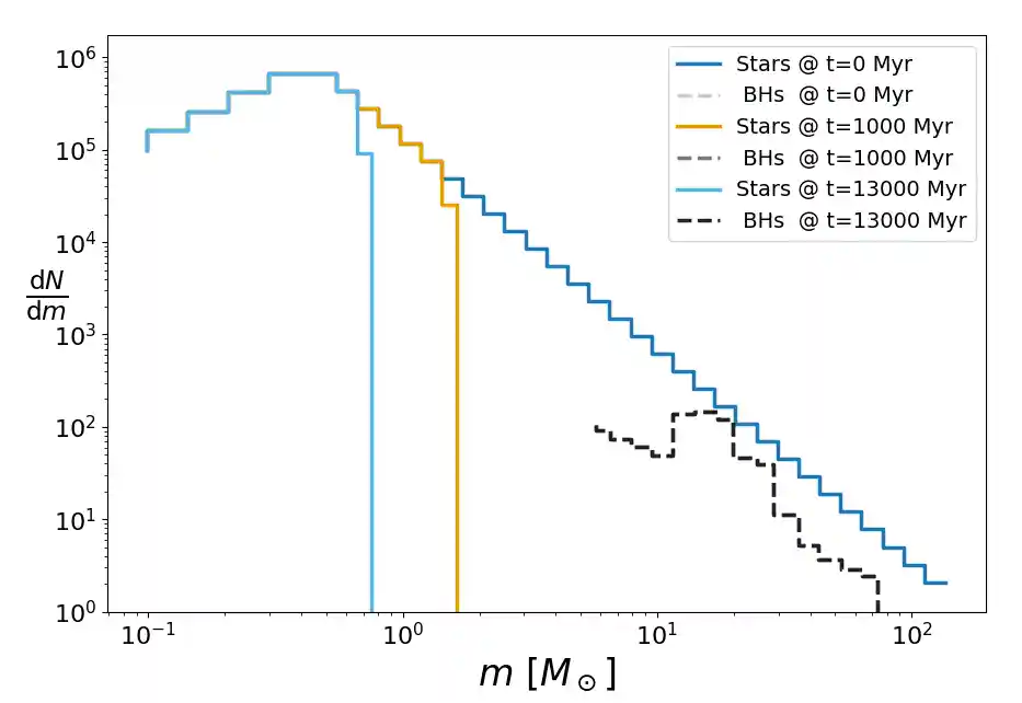
import matplotlib.pyplot as plt for i in range(pdmf.nout): mes = pdmf.massbins.turned_off_bins(pdmf.tout[i]) # mass bins at t_i plt.step(pdmf.ms[i], pdmf.Ns[i] / (mes.upper - mes.lower), ls='-', label=f"Stars @ t={pdmf.tout[i]} Myr") # mebh = pdmf.massbins.bins.BH # BH mass bins plt.step(pdmf.mr.BH[i], pdmf.Nr.BH[i] / (mebh.upper - mebh.lower), ls='--', c=str(0.8 * 1 - (i / pdmf.nout)), label=f" BHs @ t={pdmf.tout[i]} Myr") plt.ylabel(r"$\frac{\mathrm{d}N}{\mathrm{d}m}$", rotation=0) plt.xlabel(r"$m\ [M_\odot]$") plt.yscale('log'); plt.xscale('log') plt.ylim(bottom=1) plt.legend(); plt.show()
