树和森林与二叉树的相互转换
什么是森林?
很容易想到,由树组成森林。
专业一点的定义是:若干棵互不相交的树的集合。
下面我们要用的是左孩子右兄弟的方法,
简单三步就能将树和二叉树相互转换。
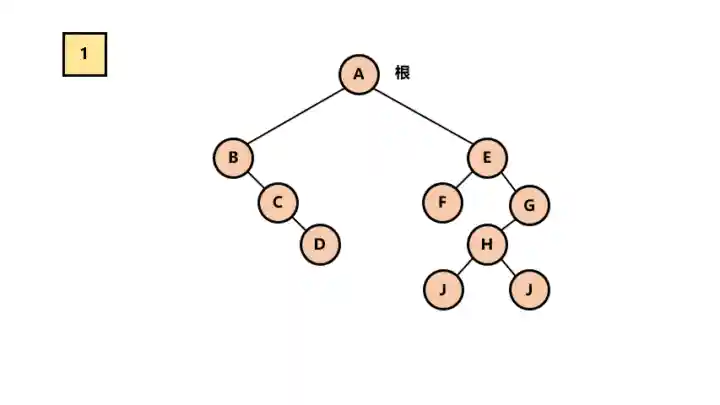
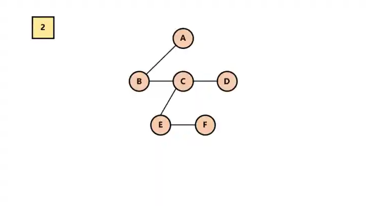
树 -> 二叉树
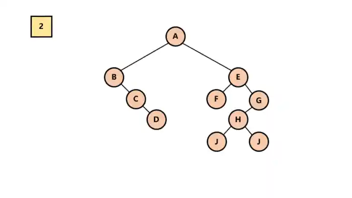
二叉树 -> 树
知道了树转换为二叉树,那么二叉树转换为树就是个逆过程呗。
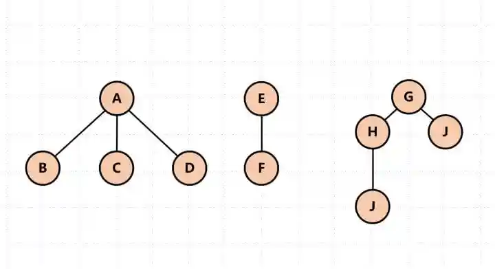
所以最终结果为:
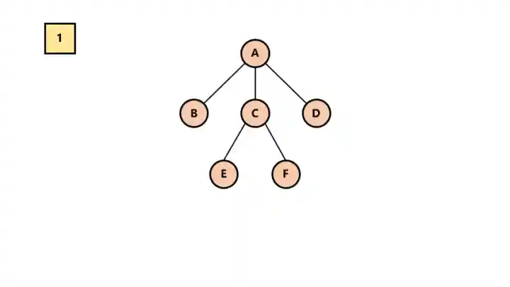
二叉树 -> 森林
在此我需要再次强调的是,根据孩子兄弟表示法,根节点是没有兄弟的。
前提:加入一棵二叉树的根节点有右孩子,则这棵二叉树能够转换为森林,否则转换为一棵树。
-
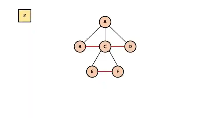
删除右孩子连线。
从根节点开始,若右孩子存在,则把与右孩子结点的连线删除。再查看分离后的二叉树,若其根节点的右孩子存在,则连续删除。直到所有这些根结点与右孩子的连线都删除为止。

-
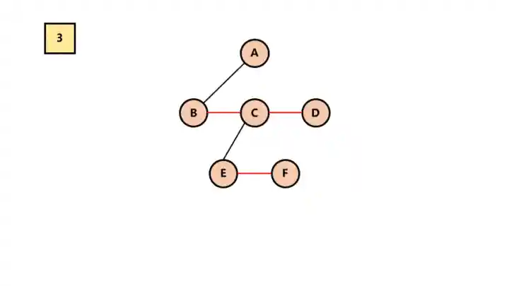
将每棵分离后的二叉树转换为树。
所以最终结果为:












