Benchmarking Bun, Node and Deno frameworks performance, in requests per second.
You can see the details results here.
I recommend testing this by yourself as performance may varies on different machine.
Requirements
All tool required to set up and run the benchmark.
Bun
Bun is required to run Bun frameworks and benchmark scripts. See bun.sh.
Bombardier
Go is required to install the bombardier CLI. See go.dev.
Install bombardier using:
# Install the CLI without a `go.mod` file go install -mod=mod github.com/codesenberg/bombardier # Check after install bombardier --version
You need to manually set GO_PATH to your extracted go directory, GO_BIN to $GO_PATH/bin and add GO_BIN to PATH if bombardier --version fails.
Start
Clone this reposity. Go to the root directory and run:
# Install required dependencies bun ins # Run the benchmark bun bench # Or do both bun start
Configurations
See configuration file and the type declarations.
Results
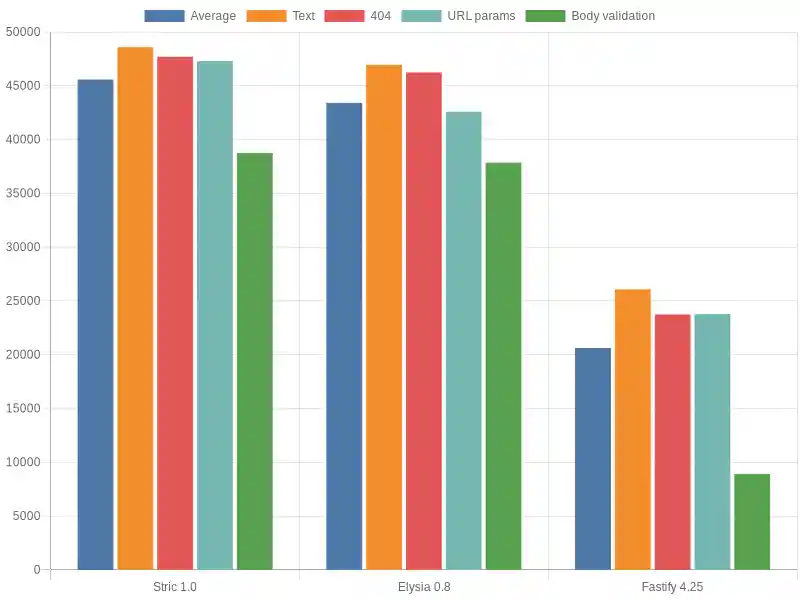
Chart
Table
| Name | Average | Text | 404 | URL params | Body validation |
|---|---|---|---|---|---|
| Stric 1.0 | 45580.01 | 48578.51 | 47699.93 | 47294.40 | 38747.21 |
| Elysia 0.8 | 43410.22 | 46948.59 | 46244.10 | 42586.50 | 37861.68 |
| Fastify 4.25 | 20628.66 | 26076.87 | 23738.52 | 23778.43 | 8920.81 |
