LeetCode二叉树
1.定义
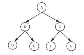
二叉树是指树中节点的度不大于2的有序树。递归定义为:二叉树是一个空树,或者由一个根节点和两个互不相交的,分别称为根的左子树和右子树组成的非空树,左子树和右子树又同样是二叉树。
- 节点:包含一个数据元素和指向子树分支的信息
- 节点的度:一个节点拥有的子树的数目
- 叶子节点:没有子树的节点(度为零的节点)
- 分支节点:度不为零的节点
- 树的度:树中所有节点的度的最大值
- 节点的层次:从根结点开始,假设根结点为第1层,根结点的子节点为第2层,依此类推
- 树的深度(高度):树中所有节点的层次最大值
满二叉树
如果一颗二叉树只有度为0的节点和度为2的节点,并且度为0的节点在同一层,这颗二叉树就是满二叉树。
完全二叉树
在完全二叉树中,除了最底层的节点可能没填满外,其余每层节点数都达到最大值,并且最下面一层的节点都集中在该层最左边。 (对一颗具有n个结点的二叉树按层编号,如果编号为i(1<=i<=n)的结点与同样深度的满二叉树中编号为i的结点在二叉树中位置完全相同,则这棵二叉树称为完全二叉树。)
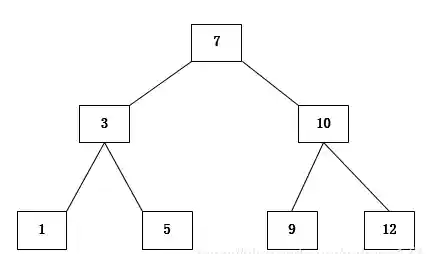
二叉搜索树(有序树)
- 一个二叉树,如果左子树不为空,左子树上所有节点的值均小于根节点的值
- 如果右字树不为空,右子树上所有节点的值大于根节点的值
- 左右两个字树也是二叉搜索树
平衡二叉搜索树
它是一棵空树或它的左右两个子树的高度差的绝对值不超过1,并且左右两个子树都是一棵平衡二叉树。
二叉树的遍历
- 二叉树的遍历分为前序遍历,中序遍历,后序遍历,和层次遍历
- 前序遍历:根左右,先遍历根节点,再遍历左子树,然后遍历右子树
- 中序遍历:左根右,先遍历左子树,再遍历根节点,最后遍历右子树
- 后序遍历:左右根,先遍历左子树,再遍历右子树,最后遍历根节点
- 层次遍历:从上向下,从左向右遍历



