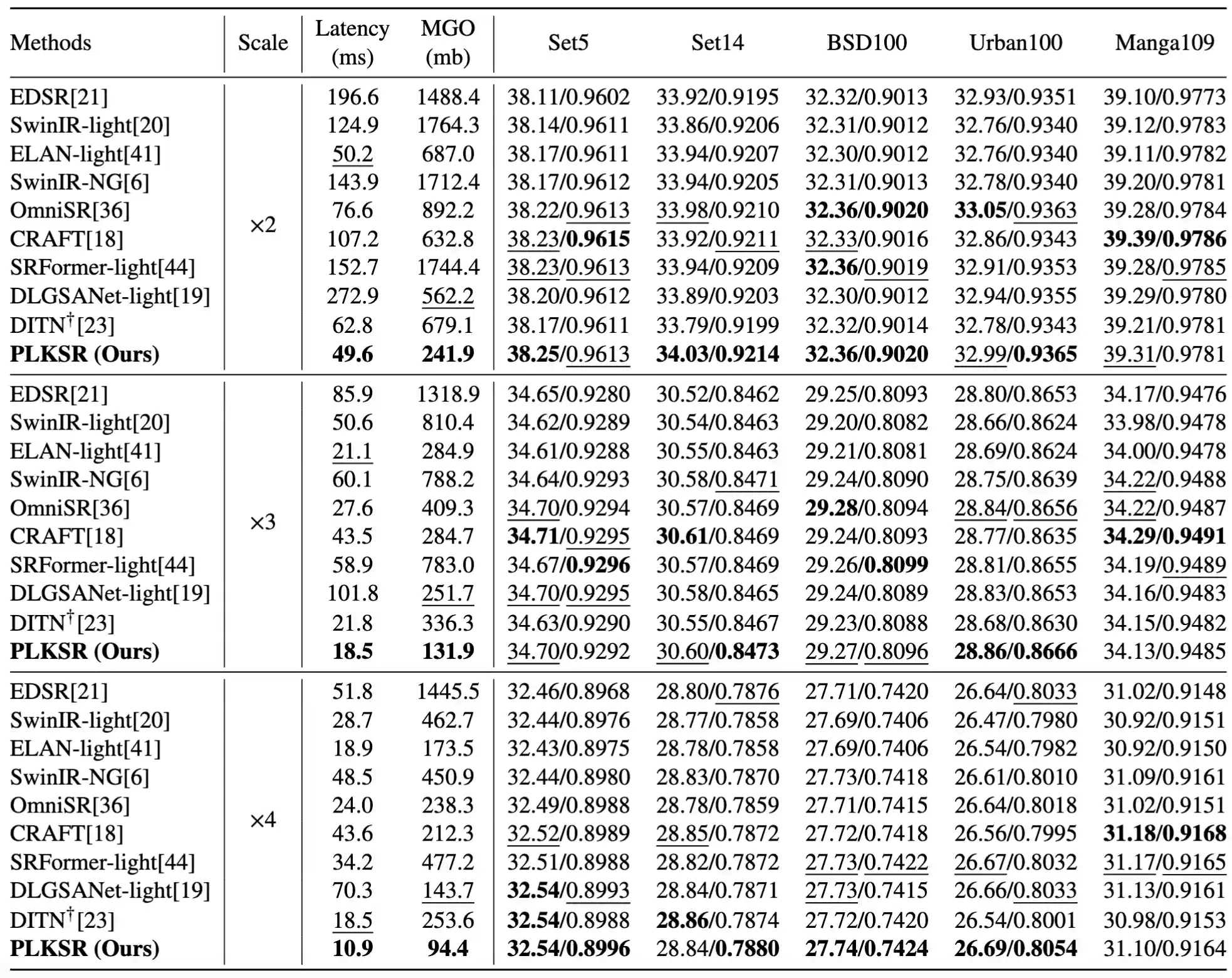
PLKSR: Partial Large Kernel CNNs for Efficient Super-Resolution
This repository is an official implementation of the paper "Partial Large Kernel CNNs for Efficient Super-Resolution", Arxiv, 2024.
by Dongheon Lee, Seokju Yun, and Youngmin Ro
Updates
Installation
git clone https://github.com/dslisleedh/PLKSR.git
cd PLKSR
conda create -n plksr python=3.10
conda activate plksr
conda install pytorch==2.1.0 torchvision==0.16.0 torchaudio==2.1.0 pytorch-cuda=12.1 -c pytorch -c nvidia
pip install -r requirements.txt
python setup.py developTrain
python plksr/train.py -opt=$CONFIG_PATHTest
python plksr/test.py -opt=$CONFIG_PATHResults
Acknowledgement
This work is released under the MIT license. The codes are based on BasicSR. Thanks for their awesome works.
Contact
If you have any questions, please contact dslisleedh@gmail.com




