GitHub - gitter-badger/cpp-taskflow: Fast C++ Task Dependency Graph Library

Build Status License: MIT

A fast C++ header-only library to develop complex and parallel task dependency graphs.

Why Cpp-Taskflow?

Cpp-Taskflow helps you build efficient computational graphs quickly using modern C++17. It is by far faster and more expressive than existing libraries such as OpenMP and TBB FlowGraph.

Get Started with Cpp-Taskflow

The following example simple.cpp contains the basic syntax you need to use Cpp-Taskflow.

// TaskA---->TaskB---->TaskD
// TaskA---->TaskC---->TaskD

#include "taskflow.hpp"

int main(){
  
  tf::Taskflow tf(std::thread::hardware_concurrency());

  auto [A, B, C, D] = tf.silent_emplace(
    [] () { std::cout << "TaskA\n"; },
    [] () { std::cout << "TaskB\n"; },
    [] () { std::cout << "TaskC\n"; },
    [] () { std::cout << "TaskD\n"; }
  );  

  A.precede(B);  // B runs after A
  A.precede(C);  // C runs after A
  B.precede(D);  // D runs after B
  C.precede(D);  // C runs after D

  tf.wait_for_all();  // block until all tasks finish

  return 0;
}

Compile and run the code with the following commands:

~$ g++ simple.cpp -std=c++1z -O2 -lpthread -o simple
~$ ./simple
TaskA
TaskC  <-- concurrent with TaskB
TaskB  <-- concurrent with TaskC
TaskD

Easy-to-use API

Cpp-Taskflow has very expressive, easy-to-use, and robust API to implement complex dependency graphs. Most applications are developed through the following three steps.

Step 1: Create a Task

To start a task dependency graph, create a taskflow object and specify the number of working threads in a shared thread pool to carry out tasks.

tf::Taskflow tf(std::max(1u, std::thread::hardware_concurrency()));

Create a task via the method emplace and get a pair of Task and future.

auto [A, F] = tf.emplace([](){ std::cout << "Task A\n"; return 1; });

Or create a task via the method silent_emplace, if you don't need a future to retrieve the result.

auto [A] = tf.silent_emplace([](){ std::cout << "Task A\n"; });

Both methods implement variadic templates and can take arbitrary numbers of arguments to create multiple tasks at one time.

auto [A, B, C, D] = tf.silent_emplace(
  [] () { std::cout << "Task A\n"; },
  [] () { std::cout << "Task B\n"; },
  [] () { std::cout << "Task C\n"; },
  [] () { std::cout << "Task D\n"; }
);

Step 2: Define Task Dependencies

Once tasks are created in the pool, you need to specify task dependencies in a Directed Acyclic Graph (DAG) fashion. The class Task supports different methods for you to describe task dependencies.

Precede: Adding a preceding link forces one task to run ahead of one another.

A.precede(B);  // A runs before B.

Broadcast: Adding a broadcast link forces one task to run ahead of other(s).

A.broadcast(B, C, D);  // A runs before B, C, and D.

Gather: Adding a gathering link forces one task to run after other(s).

A.gather(B, C, D);  // A runs after B, C, and D.

Linearize: Linearizing a task sequence adds a preceding link to each adjacent pair.

tf.linearize(A, B, C, D);  // A runs before A, B runs before C, and C runs before D.

Step 3: Execute the Tasks

There are three methods to carry out a task dependency graph, dispatch, silent_dispatch, and wait_for_all.

auto future = tf.dispatch();  // non-blocking, returns with a future immediately.
tf.dispatch();                // non-blocking, no return

Only when all tasks are complete does the call to wait_for_all return.

Debug a Taskflow Graph

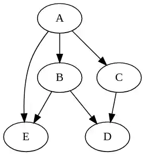
Concurrent programs are notoriously difficult to debug. We suggest (1) naming tasks and dumping the graph, and (2) starting with single thread before going multiple. Currently, Cpp-Taskflow supports GraphViz format.

// debug.cpp
tf::Taskflow tf(0);  // force the master thread to execute all tasks
auto A = tf.silent_emplace([] () { /* ... */ }).name("A");
auto B = tf.silent_emplace([] () { /* ... */ }).name("B");
auto C = tf.silent_emplace([] () { /* ... */ }).name("C");
auto D = tf.silent_emplace([] () { /* ... */ }).name("D");
auto E = tf.silent_emplace([] () { /* ... */ }).name("E");

A.broadcast(B, C, E); 
C.precede(D);
B.broadcast(D, E); 

std::cout << tf.dump_graphviz();

Run the program and inspect whether dependencies are expressed in the right way.

~$ ./debug
digraph Taskflow {
  "A" -> "B"
  "A" -> "C"
  "A" -> "E"
  "B" -> "D"
  "B" -> "E"
  "C" -> "D"
}

There are a number of free GraphViz tools you could find online to visualize your Taskflow graph.

Taskflow with five tasks and six dependencies, generated by Viz.js.

Caveats

While Cpp-Taskflow enables the expression of very complex task dependency graph that might contain thousands of task nodes and links, there are a few amateur pitfalls and mistakes to be aware of.

  • Having a cycle in a graph may result in running forever.
  • Trying to modify a dispatched task can result in undefined behavior.
  • Touching a taskflow from multiple threads are not safe.

The current version is known to work on most Linux distributions and OSX. We havn't found issues in a particular platform. Please report to us if any.

System Requirements

To use Cpp-Taskflow, you only need a C++17 compiler:

  • GNU C++ Compiler G++ v7.2 with -std=c++1z
  • Clang 5.0 C++ Compiler with -std=c++17

Compile Unit Tests and Examples

Cpp-Taskflow uses CMake to build examples and unit tests. We recommend using out-of-source build.

~$ cmake --version  # must be at least 3.9 or higher
~$ mkdir build
~$ cmake ../
~$ make 

Unit Tests

Cpp-Taskflow uses Doctest for unit tests.

Examples

The folder example/ contains a rich set of practices of how to use Cpp-Taskflow.

Get Involved

Contributors

  • Tsung-Wei Huang
  • Chun-Xun Lin
  • You!

License

Copyright © 2018, Tsung-Wei Huang, Chun-Xun Lin, and Martin Wong. Released under the MIT license.