contents
related file
- cpython/Objects/typeobject.c
- cpython/Objects/clinic/typeobject.c.h
- cpython/Include/cpython/object.h
- cpython/Python/bltinmodule.c
mro
The C3 superclass linearization is implemented in Python for Method Resolution Order (MRO) after Python 2.3. Prior to Python 2.3, the Method Resolution Order was a Depth-First, Left-to-Right algorithm
for those who are interested in detail, please refer to Amit Kumar: Demystifying Python Method Resolution Order - PyCon APAC 2016
before python2.3
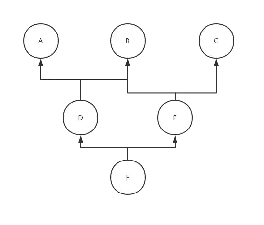
Let's define an example
from __future__ import print_function class A(object): pass class B(object): def who(self): print("I am B") class C(object): pass class D(A, B): pass class E(B, C): def who(self): print("I am E") class F(D, E): pass
The mro order implementation before Python 2.3 was a Depth-First, Left-Most algorithm
mro of D is computed as DAB
mro of E is computed as EBC
mro of F is computed as FDABEC
# ./python2.2 >>> f = F() >>> f.who() # B is in front of E I am B
after python2.3
The merge part of the C3 algorithm can be simply summarized as the following steps:
- Take the head of the first list
- If this head is not in the tail of any of the other lists, then add it to the linearization of C and remove it from the lists in the merge
- Otherwise, look at the head of the next list and take it if it is a good head
- Then repeat the operation until all the classes are removed or it is impossible to find good heads (the inherited order needs to be monotonous, or the algorithm won't terminate; for more detail please refer to the first video in read more)
mro of D is computed as
D + merge(L(A), L(B), AB) D + merge(A, B, AB) # A is the head of the next list, and not the tail of any other list, take A out, remove A in the lists in the merge D + A + merge(B, B) # the first element is the list is the head, not the tail, so B is taken D + A + B
mro of E is computed as
E + merge(L(B), L(C), BC) E + merge(B, C, BC) E + B + merge(C, C) E + B + C
mro of F is computed as
F + merge(L(D), L(E), DE) F + merge(DAB, EBC, DE) F + D + merge(AB, EBC, E) F + D + A + merge(B, EBC, E) # B is now in the tail of the second list, the head of the second list is "E" # tail is "BC", so B can't be taken, next head E will be taken F + D + A + E + merge(B, BC) F + D + A + E + B + C # ./python2.3 >>> f = F() >>> f.who() # E is in front of B I am E
difference bwtween python2 and python3
in the following code
from __future__ import print_function class A: pass class B: def who(self): print("I am B") class C: pass class D(A, B): pass class E(B, C): def who(self): print("I am E") class F(D, E): pass
In Python 2, classes A, B, C, D, and E are not inherited from object. Even after Python 2.3, objects not inherited from object will not use the C3 algorithm for MRO; the old-style Depth-First, Left-Most algorithm will be used
# ./python2.7 >>> f = F() >>> f.who() # B is in front of E I am B
While in Python 3, they both implicitly inherit from object. Objects inherited from object use the C3 algorithm for MRO
# ./python3 >>> f = F() >>> f.who() # E is in front of B I am E
creation of class
If we dis the above code
26 96 LOAD_BUILD_CLASS 98 LOAD_CONST 12 (<code object F at 0x10edf4150, file "mro.py", line 26>) 100 LOAD_CONST 13 ('F') 102 MAKE_FUNCTION 0 104 LOAD_CONST 13 ('F') 106 LOAD_NAME 6 (D) 108 LOAD_NAME 7 (E) 110 CALL_FUNCTION 4 112 STORE_NAME 8 (F)
LOAD_BUILD_CLASS simply pushes the function __build_class__ to stack
and the following opcodes push all the variables __build_class__ needed to stack
110 CALL_FUNCTION 4 calls the __build_class__ to generate the class
The __build_class__ will find the metaclass, name, bases, and ns (namespace) and delegate the call to the metaclass.__call__ attribute
for example, the class F
metaclass: <class 'type'> name: 'F' bases: (<class '__main__.D'>, <class '__main__.E'>) ns: {'__module__': '__main__', '__qualname__': 'F'}, cls: <class '__main__.F'>
In the example class F, what does <class 'type'>.__call__ do?
The function is defined in cpython/Objects/typeobject.c.
The prototype is static PyObject *type_call(PyTypeObject *type, PyObject *args, PyObject *kwds).
We can draw the following procedure according to the source code
creation of instance
If we add the following line to the end of the above code
We can find another snippet of the dis result
31 130 LOAD_NAME 9 (F) 132 CALL_FUNCTION 0 134 STORE_NAME 10 (f)
It simply calls the __call__ attribute of F
>>> F.__call__ <method-wrapper '__call__' of type object at 0x7fa5fa725ec8>
metaclass
In the above procedures, we can learn that the metaclass controls the creation of a class. The creation of an instance doesn't invoke the metaclass; it just calls the __call__ attribute of the class to create the instance
We can change the behavior of a class on the fly by manually defining a metaclass
class F(object): pass class MyMeta(type): def __new__(mcs, name, bases, attrs, **kwargs): if F in bases: return F newly_created_cls = super().__new__(mcs, name, bases, attrs) if "Animal" in name: newly_created_cls.leg = 4 else: newly_created_cls.leg = 0 return newly_created_cls class Animal1(metaclass=MyMeta): pass class Normal(metaclass=MyMeta): pass class AnotherF(F, metaclass=MyMeta): pass print(Animal1.leg) # 4 print(Normal.leg) # 0 print(AnotherF) # <class '__main__.F'>
pretty fun!



