A fast C++ header-only library to help you quickly write parallel programs with complex task dependencies
Why Cpp-Taskflow?
Cpp-Taskflow is by far faster, more expressive, and easier for drop-in integration than existing parallel task programming libraries such as OpenMP Tasking and Intel TBB FlowGraph in handling complex parallel workloads.
Cpp-Taskflow lets you quickly implement task decomposition strategies that incorporate both regular and irregular compute patterns, together with an efficient work-stealing scheduler to optimize your multithreaded performance.
| Without Cpp-Taskflow | With Cpp-Taskflow |
|---|---|
![]() |
![]() |
Cpp-Taskflow has a unified interface for both static tasking and dynamic tasking, allowing users to quickly master our parallel task programming model in a natural idiom.
| Static Tasking | Dynamic Tasking |
|---|---|
![]() |
![]() |
Cpp-Taskflow provides a composable task dependency graph interface to enable high performance and high developer productivity at the same time.
Cpp-Taskflow let users easily monitor the thread activities and analyze their programs' performance through chrome://tracing.
Cpp-Taskflow is part of the DARPA IDEA research program. We are committed to support trustworthy developments for both academic and industrial research projects in parallel computing. Check out Who is Using Cpp-Taskflow and what our users say:
- "Cpp-Taskflow is the cleanest Task API I've ever seen." damienhocking
- "Cpp-Taskflow has a very simple and elegant tasking interface. The performance also scales very well." totalgee
- "Cpp-Taskflow lets me handle parallel processing in a smart way." Hayabusa
- "Best poster award for open-source parallel programming library." Cpp Conference 2018
See a quick presentation and visit the documentation to learn more about Cpp-Taskflow. Technical details can be referred to our IEEE IPDPS19 paper.
❗ Notice that starting at v2.2.0 (including this master branch) we isolated the executor interface from Taskflow to improve the programming model and performance. This caused a few breaks in using Cpp-Taskflow. Please refer to release-notes for adapting to this new change.
Table of Contents
- Get Started with Cpp-Taskflow
- Create a Taskflow Graph
- Dynamic Tasking
- Taskflow Composition
- Debug a Taskflow Graph
- Monitor Thread Activities
- API Reference
- Caveats
- System Requirements
- Compile Unit Tests and Examples
- Get Involved
- Who is Using Cpp-Taskflow?
- Contributors
Get Started with Cpp-Taskflow
The following example simple.cpp shows the basic Cpp-Taskflow API you need in most applications.
#include <taskflow/taskflow.hpp> // Cpp-Taskflow is header-only int main(){ tf::Executor executor; tf::Taskflow taskflow; auto [A, B, C, D] = taskflow.emplace( [] () { std::cout << "TaskA\n"; }, // task dependency graph [] () { std::cout << "TaskB\n"; }, // [] () { std::cout << "TaskC\n"; }, // +---+ [] () { std::cout << "TaskD\n"; } // +---->| B |-----+ ); // | +---+ | // +---+ +-v-+ A.precede(B); // A runs before B // | A | | D | A.precede(C); // A runs before C // +---+ +-^-+ B.precede(D); // B runs before D // | +---+ | C.precede(D); // C runs before D // +---->| C |-----+ // +---+ executor.run(taskflow).wait(); return 0; }
Compile and run the code with the following commands:
~$ g++ simple.cpp -std=c++1z -O2 -lpthread -o simple ~$ ./simple TaskA TaskC <-- concurrent with TaskB TaskB <-- concurrent with TaskC TaskD
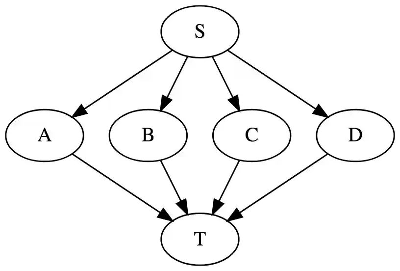
It is clear now Cpp-Taskflow is powerful in parallelizing tasks with complex dependencies. The following example demonstrates a concurrent execution of 10 tasks with 15 dependencies. With Cpp-Taskflow, you only need 15 lines of code.
// source dependencies S.precede(a0); // S runs before a0 S.precede(b0); // S runs before b0 S.precede(a1); // S runs before a1 // a_ -> others a0.precede(a1); // a0 runs before a1 a0.precede(b2); // a0 runs before b2 a1.precede(a2); // a1 runs before a2 a1.precede(b3); // a1 runs before b3 a2.precede(a3); // a2 runs before a3 // b_ -> others b0.precede(b1); // b0 runs before b1 b1.precede(b2); // b1 runs before b2 b2.precede(b3); // b2 runs before b3 b2.precede(a3); // b2 runs before a3 // target dependencies a3.precede(T); // a3 runs before T b1.precede(T); // b1 runs before T b3.precede(T); // b3 runs before T
Create a Taskflow Graph
Cpp-Taskflow defines a very expressive API to create task dependency graphs. Most applications are developed through the following three steps.
Step 1: Create a Task
Create a taskflow object to build a task dependency graph:
A task is a callable object for which std::invoke is applicable.
Use the method emplace to create a task:
tf::Task A = taskflow.emplace([](){ std::cout << "Task A\n"; });You can create multiple tasks at one time:
auto [A, B, C, D] = taskflow.emplace( [] () { std::cout << "Task A\n"; }, [] () { std::cout << "Task B\n"; }, [] () { std::cout << "Task C\n"; }, [] () { std::cout << "Task D\n"; } );
Step 2: Define Task Dependencies
You can add dependency links between tasks to enforce one task run after another.
The dependency links must be specified in a
Directed Acyclic Graph (DAG).
The handle Task supports different methods for you to describe task dependencies.
Precede: Adding a preceding link forces one task to run before another.
A.precede(B); // A runs before B.Gather: Adding a gathering link forces one task to run after another.
A.gather(B); // A runs after BStep 3: Execute a Taskflow
To execute a taskflow, you need to create an executor. An executor manages a set of worker threads to execute a taskflow through an efficient work-stealing algorithm.
The executor provides a rich set of methods to run a taskflow. You can run a taskflow one or multiple times, or until a stopping criteria is met. These methods are non-blocking and all return a std::future to let you query the execution status.
executor.run(taskflow); // run the taskflow once executor.run(taskflow, [](){ std::cout << "done 1 run\n"; } ); // run once with a callback executor.run_n(taskflow, 4); // run four times executor.run_n(taskflow, 4, [](){ std::cout << "done 4 runs\n"; }); // run 4 times with a callback // run n times until the predicate becomes true executor.run_until(taskflow, [counter=4](){ return --counter == 0; } ); // run n times until the predicate becomes true and invoke the callback on completion executor.run_until(taskflow, [counter=4](){ return --counter == 0; }, [](){ std::cout << "Execution finishes\n"; } );
You can call wait_for_all to block the executor until all associated taskflows complete.
executor.wait_for_all(); // block until all associated tasks finishNotice that executor does not own any taskflow. It is your responsibility to keep a taskflow alive during its execution, or it can result in undefined behavior. In most applications, you need only one executor to run multiple taskflows each representing a specific part of your parallel decomposition.
Dynamic Tasking
Another powerful feature of Taskflow is dynamic tasking. Dynamic tasks are those created during the execution of a taskflow. These tasks are spawned by a parent task and are grouped together to a subflow graph. The example below demonstrates how to create a subflow that spawns three tasks at runtime.
// create three regular tasks tf::Task A = tf.emplace([](){}).name("A"); tf::Task C = tf.emplace([](){}).name("C"); tf::Task D = tf.emplace([](){}).name("D"); // create a subflow graph (dynamic tasking) tf::Task B = tf.emplace([] (tf::Subflow& subflow) { tf::Task B1 = subflow.emplace([](){}).name("B1"); tf::Task B2 = subflow.emplace([](){}).name("B2"); tf::Task B3 = subflow.emplace([](){}).name("B3"); B1.precede(B3); B2.precede(B3); }).name("B"); A.precede(B); // B runs after A A.precede(C); // C runs after A B.precede(D); // D runs after B C.precede(D); // D runs after C
By default, a subflow graph joins to its parent node.
This guarantees a subflow graph to finish before the successors of
its parent node.
You can disable this feature by calling subflow.detach().
For example, detaching the above subflow will result in the following execution flow:
// create a "detached" subflow graph (dynamic tasking) tf::Task B = tf.emplace([] (tf::Subflow& subflow) { tf::Task B1 = subflow.emplace([](){}).name("B1"); tf::Task B2 = subflow.emplace([](){}).name("B2"); tf::Task B3 = subflow.emplace([](){}).name("B3"); B1.precede(B3); B2.precede(B3); // detach this subflow from task B subflow.detach(); }).name("B");
Step 1: Create a Subflow
Cpp-Taskflow has an unified interface for static and dynamic tasking.
To create a subflow for dynamic tasking,
emplace a callable with one argument of type tf::Subflow.
tf::Task A = tf.emplace([] (tf::Subflow& subflow) {});A subflow is a lightweight object that allows you to create arbitrary dependency graphs at runtime. All graph building methods defined in taskflow can be used in the subflow.
tf::Task A = tf.emplace([] (tf::Subflow& subflow) {
std::cout << "Task A is spawning two subtasks A1 and A2" << '\n';
auto [A1, A2] = subflow.emplace(
[] () { std::cout << "subtask A1" << '\n'; },
[] () { std::cout << "subtask A2" << '\n'; }
A1.precede(A2);
);
});A subflow can be nested or recursive. You can create another subflow from the execution of a subflow and so on.
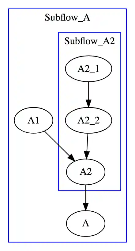
tf::Task A = tf.emplace([] (tf::Subflow& sbf) {
std::cout << "A spawns A1 & subflow A2\n";
tf::Task A1 = sbf.emplace([] () {
std::cout << "subtask A1\n";
}).name("A1");
tf::Task A2 = sbf.emplace([] (tf::Subflow& sbf2) {
std::cout << "A2 spawns A2_1 & A2_2\n";
tf::Task A2_1 = sbf2.emplace([] () {
std::cout << "subtask A2_1\n";
}).name("A2_1");
tf::Task A2_2 = sbf2.emplace([] () {
std::cout << "subtask A2_2\n";
}).name("A2_2");
A2_1.precede(A2_2);
}).name("A2");
A1.precede(A2);
}).name("A");Step 2: Detach or Join a Subflow
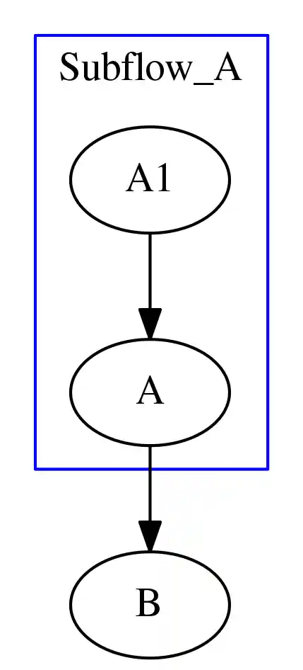
A subflow will run after leaving the execution context of its parent task. By default, a subflow joins to its parent task. Depending on applications, you can detach a subflow to enable more parallelism.
tf::Task A = tf.emplace([] (tf::Subflow& subflow) {
subflow.detach(); // detach this subflow from its parent task A
}); // subflow starts to run after the callable scopeDetaching or joining a subflow has different meaning in the completion status of its parent node. In a joined subflow, the completion of its parent node is defined as when all tasks inside the subflow (possibly nested) finish.
int value {0}; // create a joined subflow tf::Task A = tf.emplace([&] (tf::Subflow& subflow) { subflow.emplace([&]() { value = 10; }).name("A1"); }).name("A"); // create a task B after A tf::Task B = tf.emplace([&] () { assert(value == 10); }).name("B"); // A1 must finish before A and therefore before B A.precede(B);
When a subflow is detached from its parent task, it becomes a parallel execution line to the current flow graph and will eventually join to the same taskflow.
int value {0}; // create a detached subflow tf::Task A = tf.emplace([&] (tf::Subflow& subflow) { subflow.emplace([&]() { value = 10; }).name("A1"); subflow.detach(); }).name("A"); // create a task B after A tf::Task B = tf.emplace([&] () { // no guarantee for value to be 10 }).name("B"); A.precede(B);
Taskflow Composition
A powerful feature of tf::Taskflow is its composability.
You can create multiple task graphs from different parts of your workload
and use them to compose a large graph through the composed_of method.
tf::Taskflow f1, f2; // Add two tasks auto [f1A, f1B] = f1.emplace( []() { std::cout << "Task f1A\n"; }, []() { std::cout << "Task f1B\n"; } ); // Add two tasks auto [f2A, f2B, f2C] = f2.emplace( []() { std::cout << "Task f2A\n"; }, []() { std::cout << "Task f2B\n"; }, []() { std::cout << "Task f2C\n"; } ); // Use f1 to compose f2 auto f1_module_task = f2.composed_of(f1); f2A.precede(f1_module_task); f2B.precede(f1_module_task); f1_module_task.precede(f2C);
Similarly, composed_of returns a task handle and you can use the same methods
precede and gather to create dependencies.
You can compose a taskflow from multiple taskflows and use the result
to compose another taskflow and so on.
Debug a Taskflow Graph
Concurrent programs are notoriously difficult to debug. Cpp-Taskflow leverages the graph properties to relieve the debugging pain. To debug a taskflow graph, (1) name tasks and dump the graph, and (2) start with one thread before going multiple. Currently, Cpp-Taskflow supports GraphViz format.
Dump a Taskflow Graph
Each time you create a task or add a dependency,
it adds a node or an edge to the taskflow graph.
You can dump it to a GraphViz format using the method dump.
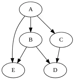
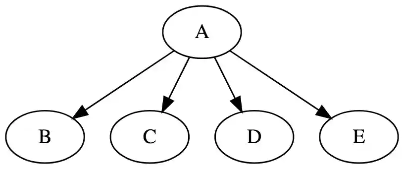
// debug.cpp tf::Taskflow taskflow; tf::Task A = taskflow.emplace([] () {}).name("A"); tf::Task B = taskflow.emplace([] () {}).name("B"); tf::Task C = taskflow.emplace([] () {}).name("C"); tf::Task D = taskflow.emplace([] () {}).name("D"); tf::Task E = taskflow.emplace([] () {}).name("E"); A.precede(B, C, E); C.precede(D); B.precede(D, E); taskflow.dump(std::cout);
Run the program and inspect whether dependencies are expressed in the right way. There are a number of free GraphViz tools you could find online to visualize your Taskflow graph.
~$ ./debug // Taskflow with five tasks and six dependencies digraph Taskflow { "A" -> "B" "A" -> "C" "A" -> "E" "B" -> "D" "B" -> "E" "C" -> "D" }
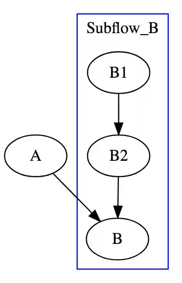
Dump a Subflow Graph
When you have dynamic tasks (subflows),
you cannot simply use the dump method because it displays only the static portion.
Instead, you need to execute the graph to spawn dynamic tasks first.
tf::Executor executor;
tf::Taskflow taskflow;
tf::Task A = taskflow.emplace([](){}).name("A");
// create a subflow of two tasks B1->B2
tf::Task B = taskflow.emplace([] (tf::Subflow& subflow) {
tf::Task B1 = subflow.emplace([](){}).name("B1");
tf::Task B2 = subflow.emplace([](){}).name("B2");
B1.precede(B2);
}).name("B");
A.precede(B);
executor.run(tf).get(); // run the taskflow
tf.dump(std::cout); // dump the graph including dynamic tasksMonitor Thread Activities
Understanding thread activities is very important for performance analysis.
Cpp-Taskflow provides a default observer of type tf::ExecutorObserver
that lets users observe when a thread starts or stops participating in task scheduling.
tf::executor executor;
auto observer = executor.make_observer<tf::ExecutorObserver>();When you are running a task dependency graph, the observer will automatically record the start and end timestamps of each executed task. You can dump the entire execution timelines into a JSON file.
executor.run(taskflow1); // run a task dependency graph 1 executor.run(taskflow2); // run a task dependency graph 2 executor.wait_for_all(); // block until all tasks finish std::ofstream ofs("timestamps.json"); observer->dump(ofs); // dump the timeline to a JSON file
You can open the chrome browser to visualize the execution timelines through the
chrome://tracing developer tool.
In the tracing view, click the Load button to read the JSON file.
You shall see the tracing graph.
Each task is given a name of i_j where i is the thread id and j is the task number.
You can pan or zoom in/out the timeline to get into a detailed view.
API Reference
The official documentation explains a complete list of Cpp-Taskflow API. In this section, we highlight a short list of commonly used methods.
Taskflow API
The class tf::Taskflow is the main place to create a task dependency graph.
The table below summarizes a list of commonly used methods.
| Method | Argument | Return | Description |
|---|---|---|---|
| emplace | callables | tasks | create a task with a given callable(s) |
| placeholder | none | task | insert a node without any work; work can be assigned later |
| parallel_for | beg, end, callable, partitions | task pair | apply the callable in parallel and partition-by-partition to the result of dereferencing every iterator in the range |
| parallel_for | beg, end, step, callable, partitions | task pair | apply the callable in parallel and partition-by-partition to a index-based range |
| reduce | beg, end, res, bop | task pair | reduce a range of elements to a single result through a binary operator |
| transform_reduce | beg, end, res, bop, uop | task pair | apply a unary operator to each element in the range and reduce them to a single result through a binary operator |
| num_workers | none | size | query the number of working threads in the pool |
| dump | ostream | none | dump the taskflow to an output stream in GraphViz format |
emplace/placeholder
You can use emplace to create a task from a target callable.
// create a task through emplace tf::Task task = tf.emplace([] () { std::cout << "my task\n"; });
When task cannot be determined beforehand, you can create a placeholder and assign the calalble later.
// create a placeholder and use it to build dependency tf::Task A = tf.emplace([](){}); tf::Task B = tf.placeholder(); A.precede(B); // assign the callable later in the control flow B.work([](){ /* do something */ });
parallel_for
The method parallel_for creates a subgraph that applies the callable to each item in the given range of
a container.
// apply callable to each container item in parallel auto v = {'A', 'B', 'C', 'D'}; auto [S, T] = tf.parallel_for( v.begin(), // beg of range v.end(), // end of range [] (int i) { std::cout << "parallel in " << i << '\n'; } ); // add dependencies via S and T.
Partition size can affect the parallelism both inside and outside a partition. Depending on applications, different group sizes can result in significant performance hit.
// apply callable to two container items at a time in parallel auto v = {'A', 'B', 'C', 'D'}; auto [S, T] = tf.parallel_for( v.begin(), // beg of range v.end(), // end of range [] (int i) { std::cout << "AB and CD run in parallel" << '\n'; }, 2 // partition the range to two groups );
By default, taskflow performs an even partition over the maximum hardware concurrency if the partition size is not specified (or equal to 0).
In addition to range-based iterator, parallel_for has another overload of index-based loop.
The first three argument to this overload indicates
starting index, ending index (exclusive), and step size.
// [0, 10) with a step size of 2 auto [S, T] = tf.parallel_for( 0, 10, 2, [] (int i) { std::cout << "parallel_for on index " << i << std::endl; }, 2 // partition the range to two ); // will print 0, 2, 4, 6, 8 (three partitions, {0, 2}, {4, 6}, {8})
You can also go opposite direction by reversing the starting index and the ending index with a negative step size.
// [10, 0) with a step size of -2 auto [S, T] = tf.parallel_for( 10, 0, 2, [] (int i) { std::cout << "parallel_for on index " << i << std::endl; } ); // will print 10, 8, 6, 4, 2 (partition size decided by taskflow)
reduce/transform_reduce
The method reduce creates a subgraph that applies a binary operator to a range of items.
The result will be stored in the referenced res object passed to the method.
It is your responsibility to assign a correct initial value to the reduce call.
auto v = {1, 2, 3, 4}; int sum {0}; auto [S, T] = tf.reduce( // for example, 2 threads v.begin(), v.end(), sum, std::plus<int>() );
The method transform_reduce is similar to reduce, except it applies a unary operator before reduction.
This is particular useful when you need additional data processing to reduce a range of elements.
std::vector<std::pari<int, int>> v = { {1, 5}, {6, 4}, {-6, 4} }; int min = std::numeric_limits<int>::max(); auto [S, T] = tf.transform_reduce(v.begin(), v.end(), min, [] (int l, int r) { return std::min(l, r); }, [] (const std::pair<int, int>& pair) { return std::min(p.first, p.second); } );
By default, all reduce methods distribute the workload evenly across std::thread::hardware_concurrency.
Task API
Each time you create a task, the taskflow object adds a node to the present task dependency graph and return a task handle to you. A task handle is a lightweight object that defines a set of methods for users to access and modify the attributes of the associated task. The table below summarizes a list of commonly used methods.
| Method | Argument | Return | Description |
|---|---|---|---|
| name | string | self | assign a human-readable name to the task |
| work | callable | self | assign a work of a callable object to the task |
| precede | task list | self | enable this task to run before the given tasks |
| gather | task list | self | enable this task to run after the given tasks |
| num_dependents | none | size | return the number of dependents (inputs) of this task |
| num_successors | none | size | return the number of successors (outputs) of this task |
name
The method name lets you assign a human-readable string to a task.
work
The method work lets you assign a callable to a task.
A.work([] () { std::cout << "hello world!"; });precede
The method precede lets you add a preceding link from self to a task.
// make A runs before B
A.precede(B);You can precede multiple tasks at one time.
// make A run before B, C, D, and E // B, C, D, and E run in parallel A.precede(B, C, D, E);
gather
The method gather lets you add a preceding link from a task to self.
// B, C, D, and E run in parallel // A runs after B, C, D, and E complete A.gather(B, C, D, E);
Executor API
The class tf::Executor is used for execution of one or multiple taskflow objects.
The table below summarizes a list of commonly used methods.
| Method | Argument | Return | Description |
|---|---|---|---|
| Executor | N | none | construct an executor with N worker threads |
| run | taskflow | future | run the taskflow once |
| run_n | taskflow, N | future | run the taskflow N times |
| run_until | taskflow, binary predicate | future | keep running the task until the predicate returns true |
| make_observer | arguments to forward to user-derived constructor | pointer to the observer | create an observer to monitor the thread activities of the executor |
Executor
The constructor of tf::Executor takes an unsigned integer to
initialize the executor with N worker threads.
tf::Executor executor(8); // create an executor of 8 worker threads
The default value uses std::thread::hardware_concurrency
to decide the number of worker threads.
run/run_n/run_until
The run series are non-blocking call to execute a taskflow graph. Issuing multiple runs on the same taskflow will automatically synchronize to a sequential chain of executions.
executor.run(taskflow); // run a graph once executor.run_n(taskflow, 5); // run a graph five times executor.run_n(taskflow, my_pred); // keep running a graph until the predicate becomes true
The first run finishes before the second run, and the second run finishes before the third run.
Caveats
While Cpp-Taskflow enables the expression of very complex task dependency graph that might contain thousands of task nodes and links, there are a few amateur pitfalls and mistakes to be aware of.
- Having a cycle in a graph may result in running forever
- Destructing a taskflow while it is running in one execution results in undefined behavior
- Trying to modify a running task can result in undefined behavior
Cpp-Taskflow is known to work on Linux distributions, MAC OSX, and Microsoft Visual Studio. Please let me know if you found any issues in a particular platform.
System Requirements
To use Cpp-Taskflow, you only need a C++17 compiler:
- GNU C++ Compiler v7.3 with -std=c++1z
- Clang C++ Compiler v6.0 with -std=c++17
- Microsoft Visual Studio Version 15.7 (MSVC++ 19.14)
Compile Unit Tests and Examples
Cpp-Taskflow uses CMake to build examples and unit tests. We recommend using out-of-source build.
~$ cmake --version # must be at least 3.9 or higher ~$ mkdir build ~$ cd build ~$ cmake ../ ~$ make
Unit Tests
Cpp-Taskflow uses Doctest for unit tests.
Alternatively, you can use CMake's testing framework to run the unittest.
Examples
The folder example/ contains several examples and is a great place to learn to use Cpp-Taskflow.
| Example | Description |
|---|---|
| simple.cpp | uses basic task building blocks to create a trivial taskflow graph |
| debug.cpp | inspects a taskflow through the dump method |
| parallel_for.cpp | parallelizes a for loop with unbalanced workload |
| reduce.cpp | performs reduce operations over linear containers |
| subflow.cpp | demonstrates how to create a subflow graph that spawns three dynamic tasks |
| run_variants.cpp | shows multiple ways to run a taskflow graph |
| composition.cpp | demonstrates the decomposable interface of taskflow |
| observer.cpp | demonstrates how to monitor the thread activities in scheduling and running tasks |
Get Involved
- Report bugs/issues by submitting a GitHub issue
- Submit contributions using pull requests
- Learn more about Cpp-Taskflow by reading the documentation
- Release notes are highlighted here
- Read and cite our IPDPS19 paper
- Visit a curated list of awesome parallel computing resources
Who is Using Cpp-Taskflow?
Cpp-Taskflow is being used in both industry and academic projects to scale up existing workloads that incorporate complex task dependencies.
- OpenTimer: A High-performance Timing Analysis Tool for Very Large Scale Integration (VLSI) Systems
- DtCraft: A General-purpose Distributed Programming Systems using Data-parallel Streams
- Firestorm: Fighting Game Engine with Asynchronous Resource Loaders (developed by ForgeMistress)
- Shiva: An extensible engine via an entity component system through scripts, DLLs, and header-only (C++)
- PID Framework: A Global Development Methodology Supported by a CMake API and Dedicated C++ Projects
- NovusCore: An emulating project for World of Warcraft (Wrath of the Lich King 3.3.5a 12340 client build)
- SA-PCB: Annealing-based Printed Circuit Board (PCB) Placement Tool
Contributors
Cpp-Taskflow is being actively developed and contributed by the following people:
- Tsung-Wei Huang created the Cpp-Taskflow project and implemented the core routines
- Chun-Xun Lin co-created the Cpp-Taskflow project and implemented the core routines
- Martin Wong supported the Cpp-Taskflow project through NSF and DARPA funding
- Andreas Olofsson supported the Cpp-Taskflow project through the DARPA IDEA project
- Nan Xiao fixed compilation error of unittest on the Arch platform
- Vladyslav fixed comment errors in README.md and examples
- vblanco20-1 fixed compilation error on Microsoft Visual Studio
- Glen Fraser created a standalone C++14-compatible threadpool for taskflow; various other fixes and examples
- Guannan Guo added different threadpool implementations to enhance the performance for taskflow
- Patrik Huber helped fixed typos in the documentation
- ForgeMistress provided API ideas about sharing the executor to avoid thread over-subscriptiong issues
- Alexander Neumann helped modify the cmake build to make Cpp-Taskflow importable from external cmake projects
- Paolo Bolzoni helped remove extraneous semicolons to suppress extra warning during compilation and contributed to a dataflow example
- Pursche fixed compilation warning on Microsoft Visual Studio
- KingDuckZ helped discover the memory leak in the memory allocator used in graph and topology
Meanwhile, we appreciate the support from many organizations for our development on Cpp-Taskflow. Please let me know if I forgot someone!
![]() |
![]() |
![]() |
![]() |
|---|
License
Cpp-Taskflow is licensed under the MIT License.

























