Machine-Learning-Notes(加载图片较慢,请耐心等待,只显示一部分)
周志华《机器学习》手推笔记~持续更新中
by 【计算机视觉联盟】 王博(Kings)、Sophia
手推笔记已经 164页 A4纸,可直接打印 !!
Last updated: 2020/08/04 更新第三版
【计算机视觉联盟】回复【西瓜书手推笔记】即可获得百度云pdf下载链接
Update log
- 2019/09/13 * - 更新第一章
- 2019/09/20 * - 更新第二章
- 2019/10/03 * - 更新第三章
- 2019/11/05 * - 更新第四章
- 2019/11/30 * - 更新第五章 46页
- 2019/12/17 * - 更新第六章 62页
- 2020/01/02 * - 更新第七章 75页
- 2020/01/28 * - 更新第八章 96页
- 2020/02/14 * - 更新第九章 105页
- 2020/03/27 * - 更新第十章 116页
- 2020/04/14 * - 更新为第三版
- 2020/05/16 * - 更新第十一章 129页
- 2020/06/03 * - 更新第十二章 150页
- 2020/08/03 * - 更新第十三章 164页
Table of Contents
手推笔记作者简介--王博Kings
微信号(Kingsplus)备注:单位/学校+研究方向 ,分享最新的AI思维导图和笔记
985AI博士,CSDN博客专家
已连载系列《机器学习》西瓜书手推笔记
已完结待更笔记:《深度学习-花书手推笔记》、《无人驾驶手推笔记》、《SLAM 十四讲》
| 下载地址 |
博士私人微信 |
 |
 |
| 【计算机视觉联盟】回复【西瓜书手推笔记】即可获得百度云pdf下载链接 |
985AI博士,CSDN博客专家 |
第一章 绪论
|
数学符号
第二章 模型评估与选择
第三章 线性模型
第四章 决策树
第五章 神经网络
第六章 支持向量机
第七章 贝叶斯分类器
第八章 集成信息
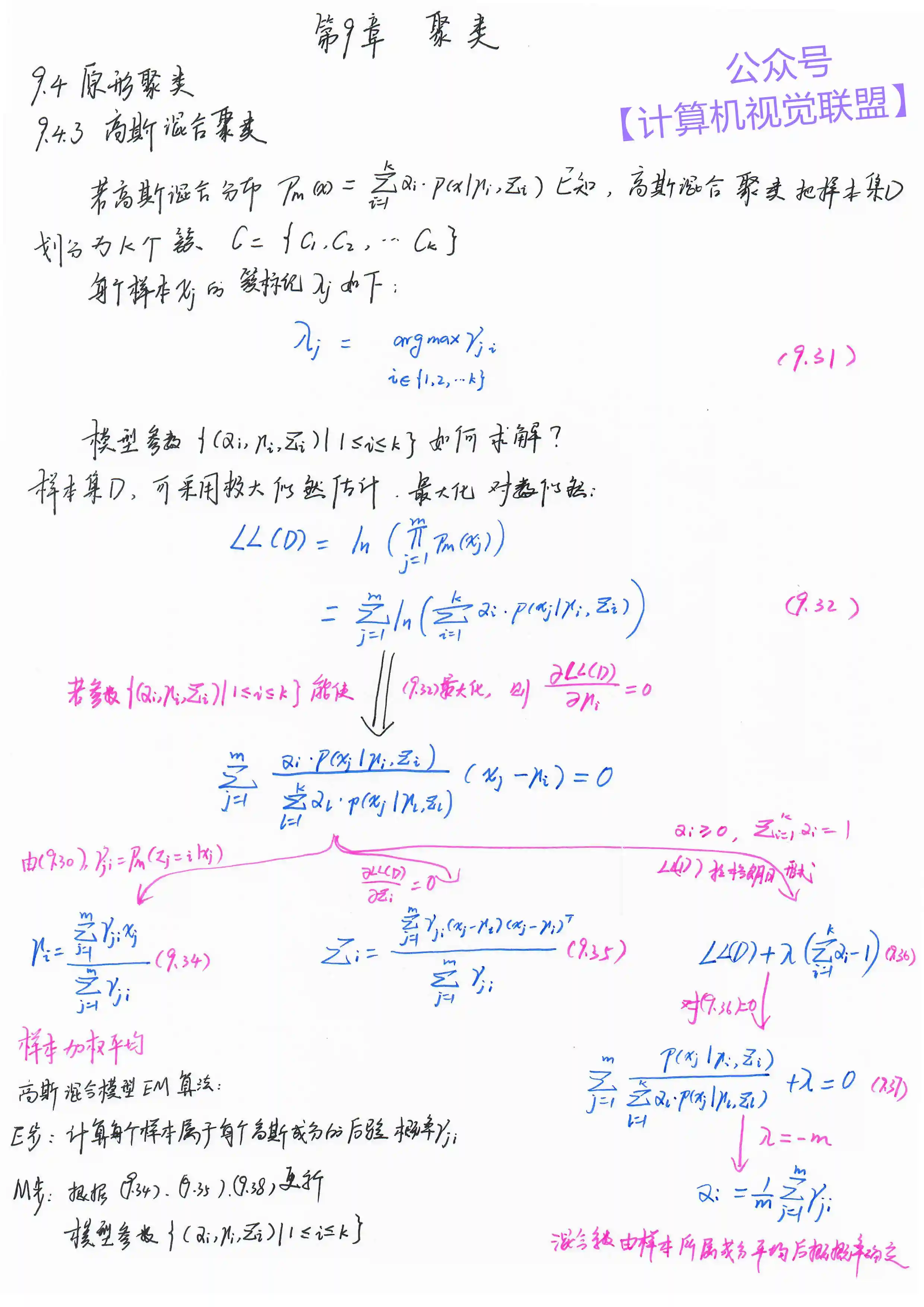
第九章 聚类
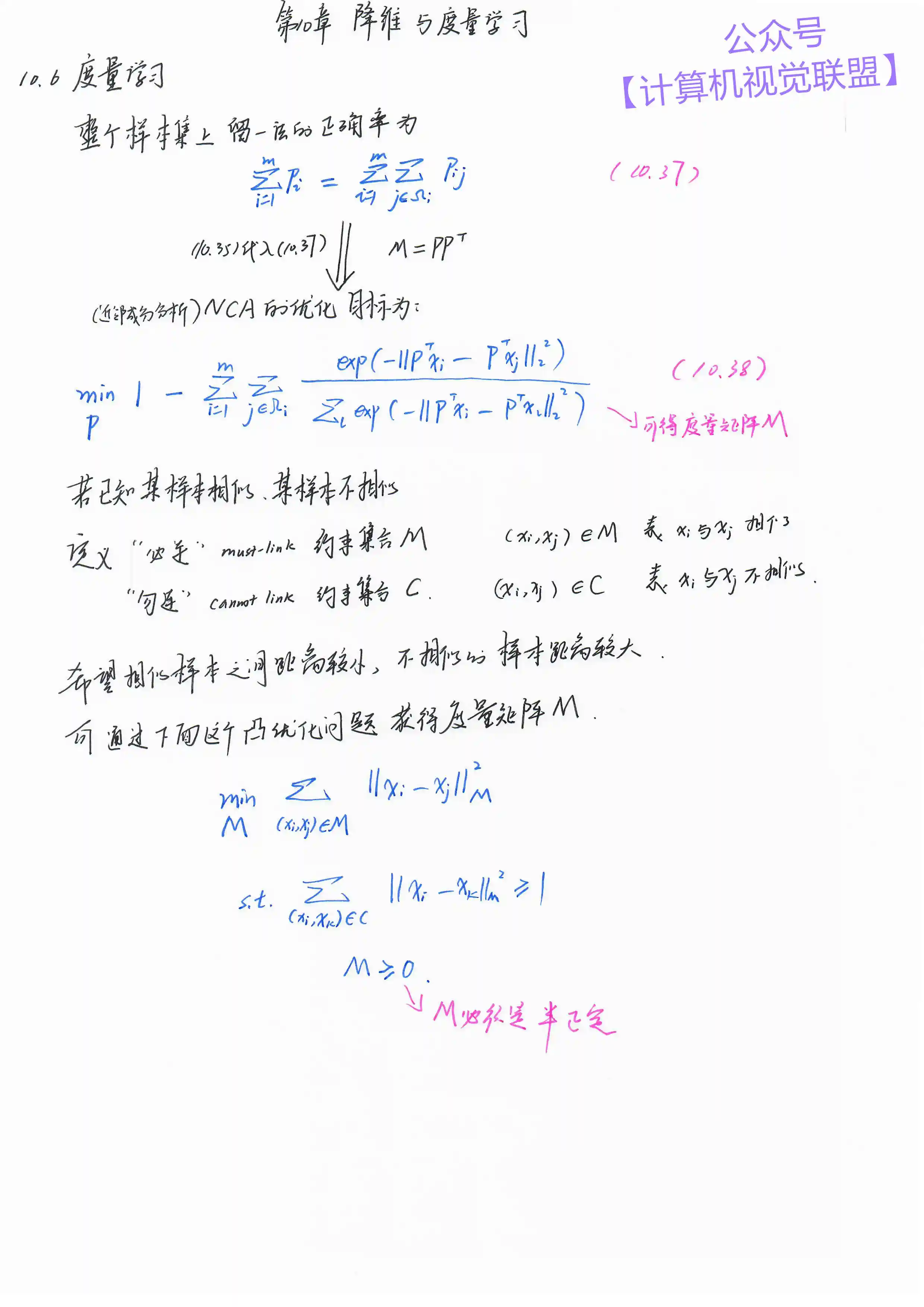
第十章 降维与度量学习