GitHub - richmondx/cpp-taskflow: Modern C++ Parallel Task Programming Library

Linux Build Status Windows Build status Standard Download Wiki Insights License: MIT

A fast C++ header-only library to help you quickly write parallel programs with complex task dependencies

Why Cpp-Taskflow?

Cpp-Taskflow is by far faster, more expressive, fewer lines of code, and easier for drop-in integration than existing parallel task programming libraries such as OpenMP Tasking and Intel TBB FlowGraph.

Cpp-Taskflow enables you to implement efficient task decomposition strategies that incorporate both regular loop-based parallelism and irregular compute patterns to optimize multicore performance.

Without Cpp-Taskflow With Cpp-Taskflow

Cpp-Taskflow has a unified interface for both static tasking and dynamic tasking, allowing users to quickly master our parallel task programming model in a natural idiom.

Static Tasking Dynamic Tasking

Cpp-Taskflow is committed to support both academic and industry research projects, making it reliable and cost-effective for long-term and large-scale developments.

  • "Cpp-Taskflow is the cleanest Task API I've ever seen." damienhocking
  • "Cpp-Taskflow has a very simple and elegant tasking interface. The performance also scales very well." totalgee
  • "Best poster award for open-source parallel programming library." Cpp Conference 2018

See a quick presentation and visit the documentation to learn more about Cpp-Taskflow.

Get Started with Cpp-Taskflow

The following example simple.cpp shows the basic Cpp-Taskflow API you need in most applications.

#include <taskflow/taskflow.hpp>  // Cpp-Taskflow is header-only

int main(){
  
  tf::Taskflow tf;

  auto [A, B, C, D] = tf.emplace(
    [] () { std::cout << "TaskA\n"; },               //  task dependency graph
    [] () { std::cout << "TaskB\n"; },               // 
    [] () { std::cout << "TaskC\n"; },               //          +---+          
    [] () { std::cout << "TaskD\n"; }                //    +---->| B |-----+   
  );                                                 //    |     +---+     |
                                                     //  +---+           +-v-+ 
  A.precede(B);  // A runs before B                  //  | A |           | D | 
  A.precede(C);  // A runs before C                  //  +---+           +-^-+ 
  B.precede(D);  // B runs before D                  //    |     +---+     |    
  C.precede(D);  // C runs before D                  //    +---->| C |-----+    
                                                     //          +---+          
  tf.wait_for_all();  // block until finish

  return 0;
}

Compile and run the code with the following commands:

~$ g++ simple.cpp -std=c++1z -O2 -lpthread -o simple
~$ ./simple
TaskA
TaskC  <-- concurrent with TaskB
TaskB  <-- concurrent with TaskC
TaskD

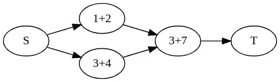
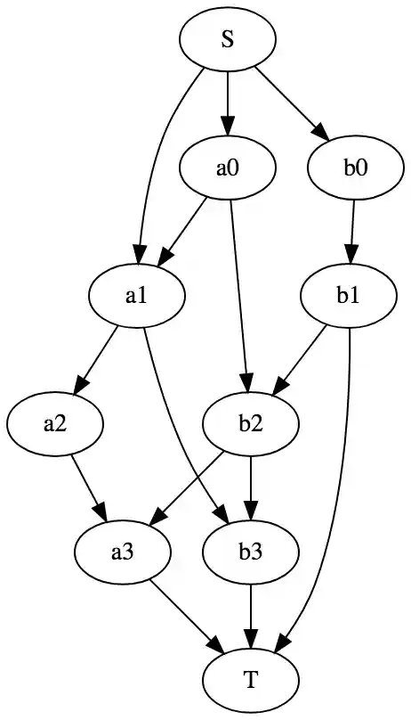
It is clear now Cpp-Taskflow is powerful in parallelizing tasks with complex dependencies. The following example demonstrates a concurrent execution of 10 tasks with 15 dependencies. With Cpp-Taskflow, you only need 15 lines of code.

// source dependencies
S.precede(a0);    // S runs before a0
S.precede(b0);    // S runs before b0
S.precede(a1);    // S runs before a1

// a_ -> others
a0.precede(a1);   // a0 runs before a1
a0.precede(b2);   // a0 runs before b2
a1.precede(a2);   // a1 runs before a2
a1.precede(b3);   // a1 runs before b3
a2.precede(a3);   // a2 runs before a3

// b_ -> others
b0.precede(b1);   // b0 runs before b1
b1.precede(b2);   // b1 runs before b2
b2.precede(b3);   // b2 runs before b3
b2.precede(a3);   // b2 runs before a3

// target dependencies
a3.precede(T);    // a3 runs before T
b1.precede(T);    // b1 runs before T
b3.precede(T);    // b3 runs before T

Create a Taskflow Graph

Cpp-Taskflow has very expressive and neat methods to create dependency graphs. Most applications are developed through the following three steps.

Step 1: Create a Task

A task is a callable object for which std::invoke is applicable. Create a taskflow object to start a task dependency graph.

Create a task from a callable object via the method emplace to get a task handle.

tf::Task A = tf.emplace([](){ std::cout << "Task A\n"; });

You can create multiple tasks at one time.

auto [A, B, C, D] = tf.emplace(
  [] () { std::cout << "Task A\n"; },
  [] () { std::cout << "Task B\n"; },
  [] () { std::cout << "Task C\n"; },
  [] () { std::cout << "Task D\n"; }
);

Step 2: Define Task Dependencies

Once tasks are created in the pool, you need to specify task dependencies in a Directed Acyclic Graph (DAG) fashion. The handle Task supports different methods for you to describe task dependencies.

Precede: Adding a preceding link forces one task to run ahead of one another.

A.precede(B);  // A runs before B.

Gather: Adding a gathering link forces one task to run after other(s).

A.gather(B);  // A runs after B

Step 3: Execute the Tasks

There are three methods to execute a task dependency graph, dispatch, silent_dispatch, and wait_for_all.

auto future = tf.dispatch();  // non-blocking, returns with a future immediately.
tf.silent_dispatch();         // non-blocking, no return

Calling wait_for_all will block until all tasks complete.

Each of these methods dispatches the current graph to threads for execution and create a data structure called topology to store the execution status.

Dynamic Tasking

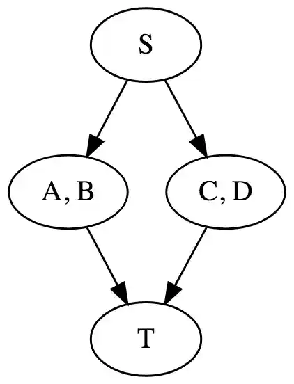
Another powerful feature of Taskflow is dynamic tasking. A dynamic task is created during the execution of a dispatched taskflow graph, i.e., topology. These tasks are spawned by a parent task and are grouped together to a subflow graph. The example below demonstrates how to create a subflow that spawns three tasks during its execution.

// create three regular tasks
tf::Task A = tf.emplace([](){}).name("A");
tf::Task C = tf.emplace([](){}).name("C");
tf::Task D = tf.emplace([](){}).name("D");

// create a subflow graph (dynamic tasking)
tf::Task B = tf.emplace([] (tf::SubflowBuilder& subflow) {
  tf::Task B1 = subflow.emplace([](){}).name("B1");
  tf::Task B2 = subflow.emplace([](){}).name("B2");
  tf::Task B3 = subflow.emplace([](){}).name("B3");
  B1.precede(B3);
  B2.precede(B3);
}).name("B");
            
A.precede(B);  // B runs after A 
A.precede(C);  // C runs after A 
B.precede(D);  // D runs after B 
C.precede(D);  // D runs after C 

// execute the graph without cleanning up topologies
tf.dispatch().get();
tf.dump_topologies(std::cout);

By default, a subflow graph joins to its parent node. This guarantees a subflow graph to finish before the successors of its parent node. You can disable this feature by calling subflow.detach(). Detaching the above subflow will result in the following execution flow.

// create a "detached" subflow graph (dynamic tasking)
tf::Task B = tf.emplace([] (tf::SubflowBuilder& subflow) {
  tf::Task B1 = subflow.emplace([](){}).name("B1");
  tf::Task B2 = subflow.emplace([](){}).name("B2");
  tf::Task B3 = subflow.emplace([](){}).name("B3");
  B1.precede(B3);
  B2.precede(B3);

  // detach this subflow from task B
  subflow.detach();
}).name("B");

Step 1: Create a Subflow

Cpp-Taskflow has an unified interface for static and dynamic tasking. To create a subflow for dynamic tasking, emplace a callable on one argument of type tf::SubflowBuilder.

tf::Task A = tf.emplace([] (tf::SubflowBuilder& subflow) {});

Similarly, you can get a std::future object to the execution status of the subflow.

auto [A, fu] = tf.emplace([] (tf::SubflowBuilder& subflow) {});

A subflow builder is a lightweight object that allows you to create arbitrary dependency graphs on the fly. All graph building methods defined in taskflow can be used in a subflow builder.

tf::Task A = tf.emplace([] (tf::SubflowBuilder& subflow) {
  std::cout << "Task A is spawning two subtasks A1 and A2" << '\n';
  auto [A1, A2] = subflow.emplace(
    [] () { std::cout << "subtask A1" << '\n'; },
    [] () { std::cout << "subtask A2" << '\n'; }
    A1.precede(A2);
  );
});

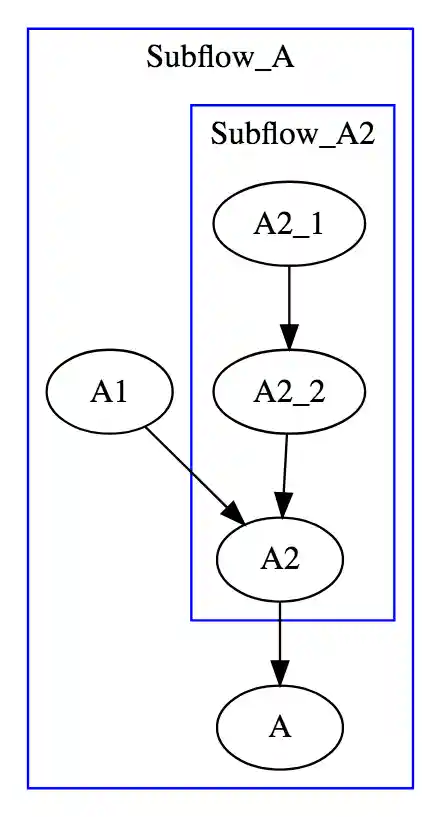
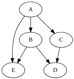
A subflow can also be nested or recursive. You can create another subflow from the execution of a subflow and so on.

tf::Task A = tf.emplace([] (tf::SubflowBuilder& sbf) {
  std::cout << "A spawns A1 & subflow A2\n";
  tf::Task A1 = sbf.emplace([] () { 
    std::cout << "subtask A1\n"; 
  }).name("A1");

  tf::Task A2 = sbf.emplace([] (tf::SubflowBuilder& sbf2) {
    std::cout << "A2 spawns A2_1 & A2_2\n";
    tf::Task A2_1 = sbf2.emplace([] () { 
      std::cout << "subtask A2_1\n"; 
    }).name("A2_1");
    tf::Task A2_2 = sbf2.emplace([] () { 
      std::cout << "subtask A2_2\n"; 
    }).name("A2_2");
    A2_1.precede(A2_2);
  }).name("A2");

  A1.precede(A2);
}).name("A");

Step 2: Detach or Join a Subflow

A subflow has no methods to dispatch its tasks. Instead, a subflow will be executed after leaving the context of the callable. By default, a subflow joins to its parent task. Depending on applications, you can detach a subflow to enable more parallelism.

tf::Task A = tf.emplace([] (tf::SubflowBuilder& subflow) {
  subflow.detach();  // detach this subflow from its parent task A
});  // subflow starts to run after the callable scope

Detaching or Joining a subflow has different meaning in the ready status of the future object referred to it. In a joined subflow, the completion of its parent node is defined as when all tasks inside the subflow (possibly nested) finish.

int value {0};

// create a joined subflow
tf::Task A = tf.emplace([&] (tf::SubflowBuilder& subflow) {
  subflow.emplace([&]() { 
    value = 10; 
  }).name("A1");
}).name("A");

// create a task B after A
tf::Task B = tf.emplace([&] () { 
  assert(value == 10); 
}).name("B");

// A1 must finish before A and therefore before B
A.precede(B);

When a subflow is detached from its parent task, it becomes a parallel execution line to the current flow graph and will eventually join to the same topology.

int value {0};

// create a detached subflow
tf::Task A = tf.emplace([&] (tf::SubflowBuilder& subflow) {
  subflow.emplace([&]() { value = 10; }).name("A1");
  subflow.detach();
}).name("A");

// create a task B after A
tf::Task B = tf.emplace([&] () { 
  // no guarantee for value to be 10
}).name("B");

A.precede(B);

Debug a Taskflow Graph

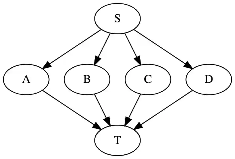
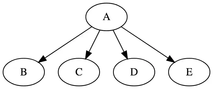
Concurrent programs are notoriously difficult to debug. Cpp-Taskflow leverages the graph properties to relieve the debugging pain. To debug a taskflow graph, (1) name tasks and dump the graph, and (2) start with one thread before going multiple. Currently, Cpp-Taskflow supports GraphViz format.

Dump the Present Taskflow Graph

Each time you create a task or add a dependency, it adds a node or an edge to the present taskflow graph. The graph is not dispatched yet and you can dump it to a GraphViz format.

// debug.cpp
tf::Taskflow tf(0);  // use only the master thread

tf::Task A = tf.emplace([] () {}).name("A");
tf::Task B = tf.emplace([] () {}).name("B");
tf::Task C = tf.emplace([] () {}).name("C");
tf::Task D = tf.emplace([] () {}).name("D");
tf::Task E = tf.emplace([] () {}).name("E");

A.precede(B, C, E); 
C.precede(D);
B.precede(D, E); 

tf.dump(std::cout);

Run the program and inspect whether dependencies are expressed in the right way. There are a number of free GraphViz tools you could find online to visualize your Taskflow graph.

~$ ./debug

// Taskflow with five tasks and six dependencies
digraph Taskflow {
  "A" -> "B"
  "A" -> "C"
  "A" -> "E"
  "B" -> "D"
  "B" -> "E"
  "C" -> "D"
}

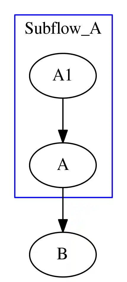
Dump a Dispatched Graph

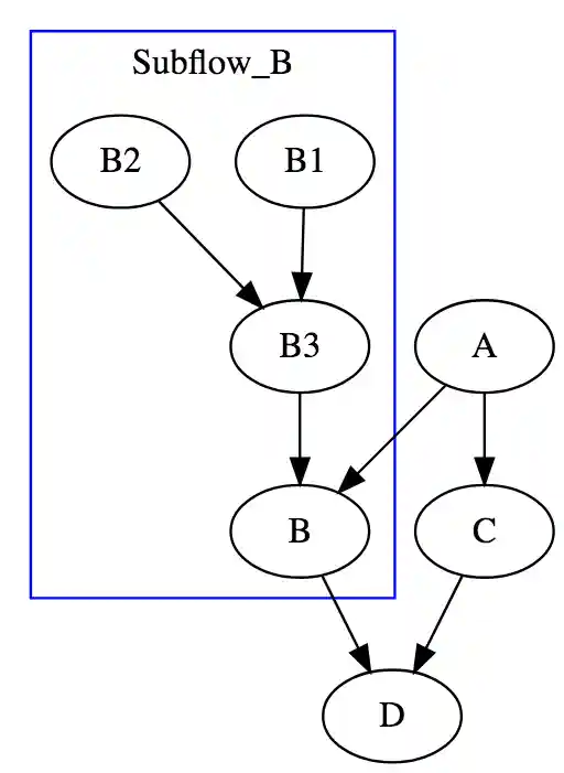
When you have dynamic tasks (subflows), you cannot simply use the dump method because it displays only the static portion. Instead, you need to execute the graph first to include dynamic tasks and then use the dump_topologies method.

tf::Taskflow tf(0);  // use only the master thread

tf::Task A = tf.emplace([](){}).name("A");

// create a subflow of two tasks B1->B2
tf::Task B = tf.emplace([] (tf::SubflowBuilder& subflow) {
  tf::Task B1 = subflow.emplace([](){}).name("B1");
  tf::Task B2 = subflow.emplace([](){}).name("B2");
  B1.precede(B2);
}).name("B");

A.precede(B);

// dispatch the graph without cleanning up topologies
tf.dispatch().get();

// dump the entire graph (including dynamic tasks)
tf.dump_topologies(std::cout);

API Reference

Taskflow API

The class tf::Taskflow is the main place to create and execute task dependency graph. The table below summarizes a list of commonly used methods. Visit documentation to see the complete list.

Method Argument Return Description
Taskflow none none construct a taskflow with the worker count equal to max hardware concurrency
Taskflow size none construct a taskflow with a given number of workers
emplace callables tasks create a task with a given callable(s)
placeholder none task insert a node without any work; work can be assigned later
linearize task list none create a linear dependency in the given task list
parallel_for beg, end, callable, group task pair apply the callable in parallel and group-by-group to the result of dereferencing every iterator in the range
parallel_for beg, end, step, callable, group task pair apply the callable in parallel and group-by-group to a index-based range
reduce beg, end, res, bop task pair reduce a range of elements to a single result through a binary operator
transform_reduce beg, end, res, bop, uop task pair apply a unary operator to each element in the range and reduce them to a single result through a binary operator
dispatch none future dispatch the current graph and return a shared future to block on completion
silent_dispatch none none dispatch the current graph
wait_for_all none none dispatch the current graph and block until all graphs finish, including all previously dispatched ones, and then clear all graphs
wait_for_topologies none none block until all dispatched graphs (topologies) finish, and then clear these graphs
num_nodes none size query the number of nodes in the current graph
num_workers none size query the number of working threads in the pool
num_topologies none size query the number of dispatched graphs
dump none string dump the current graph to a string of GraphViz format
dump_topologies none string dump dispatched topologies to a string of GraphViz format

emplace/placeholder

You can use emplace to create a task for a target callable.

// create a task through emplace
tf::Task task = tf.emplace([] () { std::cout << "my task\n"; });
tf.wait_for_all();

When task cannot be determined beforehand, you can create a placeholder and assign the calalble later.

// create a placeholder and use it to build dependency
tf::Task A = tf.emplace([](){});
tf::Task B = tf.placeholder();
A.precede(B);

// assign the callable later in the control flow
B.work([](){ /* do something */ });

linearize

The method linearize lets you add a linear dependency between each adjacent pair of a task sequence.

// linearize five tasks
tf.linearize(A, B, C, D);

parallel_for

The method parallel_for creates a subgraph that applies the callable to each item in the given range of a container.

// apply callable to each container item in parallel
auto v = {'A', 'B', 'C', 'D'};
auto [S, T] = tf.parallel_for(
  v.begin(),    // beg of range
  v.end(),      // end of range
  [] (int i) { 
    std::cout << "parallel in " << i << '\n';
  }
);
// add dependencies via S and T.

Changing the group size can force intra-group tasks to run sequentially and inter-group tasks to run in parallel. Depending on applications, different group sizes can result in significant performance hit.

// apply callable to two container items at a time in parallel
auto v = {'A', 'B', 'C', 'D'};
auto [S, T] = tf.parallel_for(
  v.begin(),    // beg of range
  v.end(),      // end of range
  [] (int i) { 
    std::cout << "AB and CD run in parallel" << '\n';
  },
  2  // group two tasks at a time
);

By default, taskflow performs an even partition over worker threads if the group size is not specified (or equal to 0).

In addition to range-based iterator, parallel_for has another overload on an index-based loop. The first three argument to this overload indicates starting index, ending index (exclusive), and step size.

// [0, 10) with a step size of 2
auto [S, T] = tf.parallel_for(
  0, 10, 2, 
  [] (int i) {
    std::cout << "parallel_for on index " << i << std::endl;
  }, 
  2  // group two tasks at a time
);
// will print 0, 2, 4, 6, 8 (three groups, {0, 2}, {4, 6}, {8})

You can also go opposite direction by reversing the starting index and the ending index with a negative step size.

// [10, 0) with a step size of -2
auto [S, T] = tf.parallel_for(
  10, 0, 2, 
  [] (int i) {
    std::cout << "parallel_for on index " << i << std::endl;
  }
);
// will print 10, 8, 6, 4, 2 (group size decided by taskflow)

reduce/transform_reduce

The method reduce creates a subgraph that applies a binary operator to a range of items. The result will be stored in the referenced res object passed to the method. It is your responsibility to assign it a correct initial value to reduce.

auto v = {1, 2, 3, 4}; 
int sum {0};
auto [S, T] = tf.reduce(    // for example, 2 threads
  v.begin(), v.end(), sum, std::plus<int>()
);  

The method transform_reduce is similar to reduce, except it applies a unary operator before reduction. This is particular useful when you need additional data processing to reduce a range of elements.

std::vector<std::pari<int, int>> v = { {1, 5}, {6, 4}, {-6, 4} };
int min = std::numeric_limits<int>::max();
auto [S, T] = tf.transform_reduce(v.begin(), v.end(), min, 
  [] (int l, int r) { return std::min(l, r); },
  [] (const std::pair<int, int>& pair) { return std::min(p.first, p.second); }
);

By default, all reduce methods distribute the workload evenly across threads.

dispatch/silent_dispatch/wait_for_topologies/wait_for_all

Dispatching a taskflow graph will schedule threads to execute the current graph and return immediately. The method dispatch gives you a std::future object to probe the execution progress while silent_dispatch doesn't.

auto future = tf.dispatch();
// do something else to overlap with the execution 
// ...
std::cout << "now I need to block on completion" << '\n';
future.get();
std::cout << "all tasks complete" << '\n';

If you need to block your program flow until all tasks finish (including the present taskflow graph), use wait_for_all instead.

tf.wait_for_all();
std::cout << "all tasks complete" << '\n';

If you only need to block your program flow until all dispatched taskflow graphs finish, use wait_for_topologies.

tf.wait_for_topologies();
std::cout << "all topologies complete" << '\n';

Task API

Each time you create a task, the taskflow object adds a node to the present task dependency graph and return a task handle to you. A task handle is a lightweight object that defines a set of methods for users to access and modify the attributes of the associated task. The table below summarizes the list of commonly used methods. Visit documentation to see the complete list.

Method Argument Return Description
name string self assign a human-readable name to the task
work callable self assign a work of a callable object to the task
precede task list self enable this task to run before the given tasks
gather task list self enable this task to run after the given tasks
num_dependents none size return the number of dependents (inputs) of this task
num_successors none size return the number of successors (outputs) of this task

name

The method name lets you assign a human-readable string to a task.

work

The method work lets you assign a callable to a task.

A.work([] () { std::cout << "hello world!"; });

precede

The method precede is the basic building block to add a precedence between two tasks.

// make A runs before B
A.precede(B);

You can precede multiple tasks at one time.

// make A run before B, C, D, and E
// B, C, D, and E run in parallel
A.precede(B, C, D, E);

gather

The method gather lets you add multiple precedences to a task.

// B, C, D, and E run in parallel
// A runs after B, C, D, and E complete
A.gather(B, C, D, E);

Caveats

While Cpp-Taskflow enables the expression of very complex task dependency graph that might contain thousands of task nodes and links, there are a few amateur pitfalls and mistakes to be aware of.

  • Having a cycle in a graph may result in running forever
  • Trying to modify a dispatched task can result in undefined behavior
  • Touching a taskflow from multiple threads are not safe

Cpp-Taskflow is known to work on Linux distributions, MAC OSX, and Microsoft Visual Studio. Please let me know if you found any issues in a particular platform.

System Requirements

To use Cpp-Taskflow, you only need a C++17 compiler:

  • GNU C++ Compiler v7.3 with -std=c++1z
  • Clang C++ Compiler v6.0 with -std=c++17
  • Microsoft Visual Studio Version 15.7 (MSVC++ 19.14)

Compile Unit Tests and Examples

Cpp-Taskflow uses CMake to build examples and unit tests. We recommend using out-of-source build.

~$ cmake --version  # must be at least 3.9 or higher
~$ mkdir build
~$ cd build
~$ cmake ../
~$ make 

Unit Tests

Cpp-Taskflow uses Doctest for unit tests.

Alternatively, you can use CMake's testing framework to run the unittest.

Examples

The folder example/ contains several examples and is a great place to learn to use Cpp-Taskflow.

Example Description
simple.cpp uses basic task building blocks to create a trivial taskflow graph
debug.cpp inspects a taskflow through the dump method
matrix.cpp creates two set of matrices and multiply each individually in parallel
dispatch.cpp demonstrates how to dispatch a task dependency graph and assign a callback to execute
multiple_dispatch.cpp illustrates dispatching multiple taskflow graphs as independent batches (which all run on the same threadpool)
parallel_for.cpp parallelizes a for loop with unbalanced workload
reduce.cpp performs reduce operations over linear containers
subflow.cpp demonstrates how to create a subflow graph that spawns three dynamic tasks
threadpool.cpp benchmarks different threadpool implementations
threadpool_cxx14.cpp shows use of the C++14-compatible threadpool implementation, which may be used when you have no inter-task (taskflow) dependencies to express
taskflow.cpp benchmarks taskflow on different task dependency graphs
executor.cpp shows how to create multiple taskflow objects sharing one executor to avoid the thread over-subscription problem
framework.cpp shows the usage of framework to create reusable task dependency graphs

Get Involved

Who is Using Cpp-Taskflow?

Cpp-Taskflow is being used in both industry and academic projects to scale up existing workloads that incorporate complex task dependencies.

  • OpenTimer: A High-performance Timing Analysis Tool for Very Large Scale Integration (VLSI) Systems
  • DtCraft: A General-purpose Distributed Programming Systems using Data-parallel Streams
  • Firestorm: Fighting Game Engine with Asynchronous Resource Loaders (developed by ForgeMistress)
  • Shiva: An extensible engine via an entity component system through scripts, DLLs, and header-only (C++)

More...

Contributors

Cpp-Taskflow is being actively developed and contributed by the following people:

  • Tsung-Wei Huang created the Cpp-Taskflow project and implemented the core routines
  • Chun-Xun Lin co-created the Cpp-Taskflow project and implemented the core routines
  • Martin Wong supported the Cpp-Taskflow project through NSF and DARPA funding
  • Andreas Olofsson supported the Cpp-Taskflow project through the DARPA IDEA project
  • Nan Xiao fixed compilation error of unittest on the Arch platform
  • Vladyslav fixed comment errors in README.md and examples
  • vblanco20-1 fixed compilation error on Microsoft Visual Studio
  • Glen Fraser created a standalone C++14-compatible threadpool for taskflow; various other fixes and examples
  • Guannan Guo added different threadpool implementations to enhance the performance for taskflow
  • Patrik Huber helped fixed typos in the documentation
  • ForgeMistress provided API ideas about sharing the executor to avoid thread over-subscriptiong issues
  • Alexander Neumann helped modify the cmake build to make Cpp-Taskflow importable from external cmake projects
  • Paolo Bolzoni helped remove extraneous semicolons to suppress extra warning during compilation

Meanwhile, we appreciate the support from many organizations for our development on Cpp-Taskflow. Please let me know if I forgot someone!

License

Cpp-Taskflow is licensed under the MIT License.