A Java Implementation of an L1-Regularized Spline Process
Typically splines for noisy signal reconstruction are regularized with a weighted L2 term. Tepper and Sapiro[1] describe an efficient numerical scheme for using an L1 term instead, yielding better robustness to outliers.
I have implemented the described algorithm in Java, using the ND4J library, which uses a BLAS backend for matrix computations, and can also be configured to use a CUDA backend for offloading computation onto fast graphics card hardware.
Effectively this code presents an efficient API for a more robust L1-based spline processing of signals to the JVM, suitable for JVM-based applications running on servers, gpus, desktops, or even Android phones.
The chart above shows a spline generated by this code with L1 regularization on annual global temperature data from the Met Office Hadley Centre.[2] Note that the dataset itself has been deprecated by the center and is only used here as an illustration of the implementation of the algorithm.
Motivation for L1 Regularization
Both L1 and L2 regularization seek to reduce overfitting by constraining the model. L2 penalizes the squared magnitude of the error, while L1, based on LASSO (Low Absolute Shrinkage and Selection Operator) penalizes the absolute value of the error. In L2, the closer an error term gets to zero the less it is penalized, so terms aren't ever completely zeroed out. In L1, terms shrink linearly, and so they can be brought to zero. L1 has the benefit of both preventing overfitting and lowering the number of non-zero terms in the model. Lowering the number of non-zero terms can sometimes be an aid in reducing computation, and also can aid feature extraction.
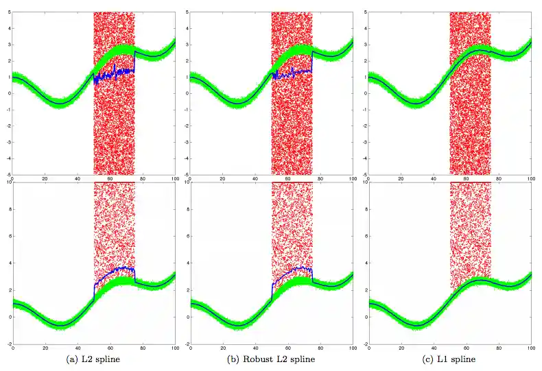
This explains the differences you see in figure above (from [1]), for example. While L2 reduces the effects of outliers, it cannot be completely uninfluenced by them. L1 actually can bring that influence down to zero in certain circumstances.
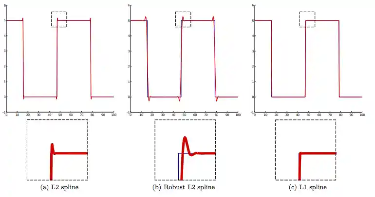
It also explains the lack of ringing in figure above (from [1]) - while L2 doesn't care about small errors (or rather, it only cares a little about small errors), L1 cares about all errors equally, and seeks to bring small errors to zero.
[1]: Mariano Tepper and Guillermo Sapiro. L1 Splines for Robust, Simple, and Fast Smoothing of Grid Data. CoRR, 1208.2292, 2012.
[2]: P. Brohan, J. J. Kennedy, I. Harris, S. F. B. Tett, and P. D. Jones. Uncertainty estimates in regional and global observed temperature changes: A new data set from 1850. Journal of Geophisical Research, 111(D12):D12106+, June 2006.


