Frugal Mobility for Climate Change
OdG.m is a Matlab code to compute power consumption and energy use of various terrestrial mobility systems like (bike, vae, stand-up scooter, cars, trucks, ...). It has been developed for the following course :
V.G. Chapin & C. Leonard, Order of Magnitude Physics in a transition world, ISAE-SUPAERO Course : https://lms.isae.fr/course/view.php?id=2978
SolarBoost, a Zero Fossil-Fuel Mobility Project, ISAE-SUPAERO, www.solarboost.fr
Energetic performances of various vehicles (bike, vae, trike, car, truck, ...) obtained with this software are given in the Figure below:
Aim of OdG.m
To compute order of magnitude of energy, power, battery size, ... for any Terrestrial Vehicles (Cars, Bikes, Velomobile, ...) to move at a given speed.
Running
To run this code, you just need to have MATLAB or an opensource version of it like Octave. Syntax is as follow:
[Efsd,P] = OdG(p,m,SCd,mu,eta,eb,Ppv,Vmax,Pmax,name)
With : Efsd the energy efficiency [Wh/km]
P the power consumption [W]
p the road slope [%]
m the mass [kg]
SCd the aerodynamic area [m2]
mu the friction coefficient (tire on road)
eta the engine efficiency
eb the energy contained in the reservoir [Wh]
Ppv the power of photovoltaïc cells installed [W]
Vmax the range of speed considered for figures [km/h]
Pmax the range of power considered for figures [W]
name the name for legends on figures
Examples
Typical thermal car consumption : Imagine you want to compute the energy and power needed on a flat road (slope =0%) for a typical thermal car of mass 1000 kg versus speed :
OdG(0,1000);
The first number is the flat road slope in % (a road of length 1000 meters and climbing 100 meters will have a slope p=10%=0.1). The second number is the vehicle mass in kg. Other unspecified parameters will have typical values for thermal car (default values).
2 Figures are generated : Fig1 represent the power versus the speed in km/h, Fig2 represent the energy used per unit of distance Ef/d in Wh/km versus the speed in km/h. A typical thermal car of mass 1000 kg needs 8400 Watt and 350Wh/km of energy or 3.5L/100km of fuel at 80km/h but the same car needs 29 000 Watt and 740Wh/km of energy or 7.4L/100km of fuel at 130km/h.
Compare thermal and electric cars :
OdG(0,1000,1,0.013,0.3); OdG(0,1300,1,0.013,0.9);
Thermal car : m=1000kg, SCd=1m2, mu=0.013, eta=0.3
EV car : m=1300kg, SCd=1m2, mu=0.013, eta=0.9
Both cars have same aerodynamic and rolling friction parameters (SCd,mu) but a higher mass is typical for EV (battery are heavier than fossil fuel) and the engine efficiency is typically 0.3 for thermal cars and 0.9 for EV.
The power needed is a little higher on EV because it is heavier but the final energy consumption is nearly 3 times lower with 200Wh/km for the EV and 550Wh/km for a thermal vehicle (5.5L/100km) because engine efficiency is higher.
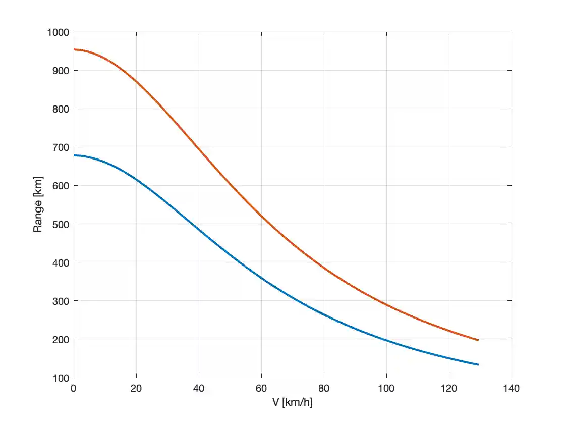
Compare electric car with a 40kWh or 60kWh battery pack knowing that the specific weight of Li-Ion battery is 200Wh/kg :
OdG(0,1500,1,0.013,0.9,40000); OdG(0,1600,1,0.013,0.9,60000);
EV 40kWh : m=1500kg, SCd=1m2, mu=0.013, eta=0.9
EV 60kWh : m=1600kg, SCd=1m2, mu=0.013, eta=0.9
Both cars have same aerodynamic and rolling friction parameters (SCd,mu)
At 100km/h, the EV with 40kWh has a range 200km and the other one with 60kWh has 290km
Evaluate VAE range at 25km/h with a 500Wh battery on a flat road (p=0%) or on a road of slope (p=3%)
OdG(0,80+20,0.4,0.006,0.9,500);OdG(0.03,80+20,0.4,0.006,0.9,500);
A VAE with a 500Wh battery will have a range of 90km on a flat road (p=0%) or 30km on a road of slope p=3%.





