flannel (originally rudder) is an overlay network that gives a subnet to each machine for use with Kubernetes.
In Kubernetes every machine in the cluster is assigned a full subnet. The machine A and B might have 10.0.1.0/24 and 10.0.2.0/24 respectively. The advantage of this model is that it reduces the complexity of doing port mapping. The disadvantage is that the only cloud provider that can do this is GCE.
Theory of Operation
To emulate the Kubernetes model from GCE on other platforms we need to create an overlay network on top of the network that we are given from cloud providers. flannel uses the Universal TUN/TAP device and creates an overlay network using UDP to encapsulate IP packets. The subnet allocation is done with the help of etcd which maintains the overlay to actual IP mappings.
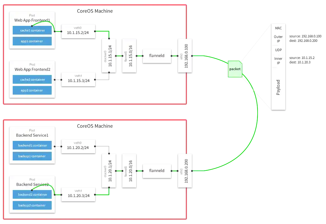
The following diagram demonstrates the path a packet takes as it traverses the overlay network:
Building flannel
- Step 1: Make sure you have Linux headers installed on your machine. On Ubuntu, run
sudo apt-get install linux-libc-dev. On Fedora/Redhat, runsudo yum install kernel-headers. - Step 2: Git clone the flannel repo:
https://github.com/coreos/flannel.git - Step 3: Run the build script:
cd flannel; ./build
Building in a Docker container
For quick testing, you can build flannel inside a Docker container (such container will retain its build environment):
If you would like to build inside a Docker container but to produce a binary on your host:
# Replace $SRC with the absolute path to your flannel source code
docker run -v $SRC:/opt/flannel -i -t google/golang /bin/bash -c "cd /opt/flannel && ./build"
Configuration
flannel reads its configuration from etcd. By default, it will read the configuration
from /coreos.com/network/config (can be overridden via --etcd-prefix).
The value of the config should be a JSON dictionary with the following keys:
-
Network(string): IPv4 network in CIDR format to use for the entire overlay network. This is the only mandatory key. -
SubnetLen(number): The size of the subnet allocated to each host. Defaults to 24 (i.e. /24) unless the Network was configured to be smaller than a /24 in which case it is one less than the network. -
SubnetMin(string): The beginning of IP range which the subnet allocation should start with. Defaults to the first subnet of Network. -
SubnetMax(string): The end of the IP range at which the subnet allocation should end with. Defaults to the last subnet of Network. -
Backend(dictionary): Type of backend to use and specific configurations for that backend. The list of available backends and the keys that can be put into the this dictionary are listed below. Defaults to "udp" backend.
Backends
-
udp: use UDP to encapsulate the packets.
Type(string):udpPort(number): UDP port to use for sending encapsulated packets. Defaults to 8285
-
alloc: only perform subnet allocation (no forwarding of data packets)
Type(string):alloc
-
vxlan: use in-kernel VXLAN to encapsulate the packets.
Type(string):vxlanVNI(number): VXLAN Identifier (VNI) to be used. Defaults to 1
-
host-gw: create IP routes to subnets via remote machine IPs. Note that this requires direct layer2 connectivity between hosts running flannel.
Type(string):host-gw
-
aws-vpc: create IP routes in an Amazon VPC route table. Requires running on an EC2 instance that is in an Amazon VPC.
Type(string):aws-vpcRouteTableID(string): The ID of the VPC route table to add routes to. This must be in the same region as the EC2 instance that flannel is running on.
Authentication is handled via environment variables. Ensure that the
AWS_ACCESS_KEY_ID,AWS_SECRET_ACCESS_KEYand optionallyAWS_SECURITY_TOKENenvironment variables are set when running the flannel process.
Example configuration JSON
The following configuration illustrates the use of most options.
{
"Network": "10.0.0.0/8",
"SubnetLen": 20,
"SubnetMin": "10.10.0.0",
"SubnetMax": "10.99.0.0",
"Backend": {
"Type": "udp",
"Port": 7890
}
}
Firewalls
When using udp backend, flannel uses UDP port 8285 for sending encapsulated packets.
When using vxlan backend, kernel uses UDP port 8472 for sending encapsulated packets.
Make sure that your firewall rules allow this traffic for all hosts participating in the overlay network.
Running
Once you have pushed configuration JSON to etcd, you can start flannel. If you published your config at the default location, you can start flannel with no arguments. flannel will acquire a subnet lease, configure its routes based on other leases in the overlay network and start routing packets. Additionally it will monitor etcd for new members of the network and adjust its routing table accordingly.
After flannel has acquired the subnet and configured the TUN device, it will write out an
environment variable file (/run/flannel/subnet.env by default) with subnet address and
MTU that it supports.
Key command line options
-etcd-endpoints="http://127.0.0.1:4001": a comma-delimited list of etcd endpoints
-etcd-prefix="/coreos.com/network": etcd prefix
-iface="": interface to use (IP or name) for inter-host communication. Defaults to the interface for the default route on the machine.
-subnet-file="/run/flannel/subnet.env": filename where env variables (subnet and MTU values) will be written to
-v=0: log level for V logs. Set to 1 to see messages related to data path
Zero-downtime restarts
When running in VXLAN mode, the kernel is providing the data path with flanneld acting as the control plane. As such, flanneld can be restarted (even to do an upgrade) without disturbing existing flows. However, this needs to be done in few seconds as ARP entries can start to timeout requiring the flanneld daemon to refresh them. Also, to avoid interruptions during restart, the configuration must not be changed (e.g. VNI, --iface value).
Docker integration
Docker daemon accepts --bip argument to configure the subnet of the docker0 bridge. It also accepts --mtu to set the MTU
for docker0 and veth devices that it will be creating. Since flannel writes out the acquired subnet and MTU values into
a file, the script starting Docker daemon can source in the values and pass them to Docker daemon:
source /run/flannel/subnet.env docker -d --bip=${FLANNEL_SUBNET} --mtu=${FLANNEL_MTU}
Systemd users can use EnvironmentFile directive in the .service file to pull in /run/flannel/subnet.env
CoreOS integration
On CoreOS it is useful to add flannel configuration into .service file in the cloud-config as the following snippet demonstrates:
- name: flannel.service
command: start
content: |
[Unit]
Requires=etcd.service
After=etcd.service
[Service]
ExecStartPre=-/usr/bin/etcdctl mk /coreos.com/network/config '{"Network":"10.0.0.0/16"}'
ExecStart=/opt/bin/flannel
