Charts¶
Using Matplotlib¶
Before running this example, please install the required dependencies using the command below:
pip install fpdf2 matplotlib
from fpdf import FPDF
from matplotlib.backends.backend_agg import FigureCanvasAgg as FigureCanvas
from matplotlib.figure import Figure
import numpy as np
from PIL import Image
fig = Figure(figsize=(6, 4), dpi=300)
fig.subplots_adjust(top=0.8)
ax1 = fig.add_subplot(211)
ax1.set_ylabel("volts")
ax1.set_title("a sine wave")
t = np.arange(0.0, 1.0, 0.01)
s = np.sin(2 * np.pi * t)
(line,) = ax1.plot(t, s, color="blue", lw=2)
# Fixing random state for reproducibility
np.random.seed(19680801)
ax2 = fig.add_axes([0.15, 0.1, 0.7, 0.3])
n, bins, patches = ax2.hist(
np.random.randn(1000), 50, facecolor="yellow", edgecolor="yellow"
)
ax2.set_xlabel("time (s)")
# Converting Figure to an image:
canvas = FigureCanvas(fig)
canvas.draw()
img = Image.fromarray(np.asarray(canvas.buffer_rgba()))
pdf = FPDF()
pdf.add_page()
pdf.image(img, w=pdf.epw) # Make the image full width
pdf.output("matplotlib.pdf")
Result:

You can also embed a figure as SVG (but there may be some limitations):
from fpdf import FPDF
import matplotlib.pyplot as plt
import numpy as np
plt.figure(figsize=[2, 2])
x = np.arange(0, 10, 0.00001)
y = x*np.sin(2* np.pi * x)
plt.plot(y)
plt.savefig("figure.svg", format="svg")
pdf = FPDF()
pdf.add_page()
pdf.image("figure.svg")
pdf.output("doc-with-figure.pdf")
Using Pandas¶
The dependencies required for the following examples can be installed using this command:
pip install fpdf2 matplotlib pandas
Create a plot using pandas.DataFrame.plot:
from io import BytesIO
from fpdf import FPDF
import pandas as pd
import matplotlib.pyplot as plt
import io
DATA = {
"Unemployment_Rate": [6.1, 5.8, 5.7, 5.7, 5.8, 5.6, 5.5, 5.3, 5.2, 5.2],
"Stock_Index_Price": [1500, 1520, 1525, 1523, 1515, 1540, 1545, 1560, 1555, 1565],
}
COLUMNS = tuple(DATA.keys())
plt.figure() # Create a new figure object
df = pd.DataFrame(DATA, columns=COLUMNS)
df.plot(x=COLUMNS[0], y=COLUMNS[1], kind="scatter")
# Converting Figure to an image:
img_buf = BytesIO() # Create image object
plt.savefig(img_buf, dpi=200) # Save the image
pdf = FPDF()
pdf.add_page()
pdf.image(img_buf, w=pdf.epw) # Make the image full width
pdf.output("matplotlib_pandas.pdf")
img_buf.close()
Result:

Create a table with pandas DataFrame:
from fpdf import FPDF
import pandas as pd
DF = pd.DataFrame(
{
"First name": ["Jules", "Mary", "Carlson", "Lucas"],
"Last name": ["Smith", "Ramos", "Banks", "Cimon"],
"Age": [34, 45, 19, 31],
"City": ["San Juan", "Orlando", "Los Angeles", "Saint-Mathurin-sur-Loire"],
}
# Convert all data inside dataframe into string type:
).applymap(str)
COLUMNS = [list(DF)] # Get list of dataframe columns
ROWS = DF.values.tolist() # Get list of dataframe rows
DATA = COLUMNS + ROWS # Combine columns and rows in one list
pdf = FPDF()
pdf.add_page()
pdf.set_font("Times", size=10)
with pdf.table(
borders_layout="MINIMAL",
cell_fill_color=200, # grey
cell_fill_mode="ROWS",
line_height=pdf.font_size * 2.5,
text_align="CENTER",
width=160,
) as table:
for data_row in DATA:
row = table.row()
for datum in data_row:
row.cell(datum)
pdf.output("table_from_pandas.pdf")
Result: 
Using Ibis¶
The Ibis library provides a unified interface for analytical workflows across different backends (such as DuckDB, BigQuery, pandas, and more). Ibis table expressions are lazy and backend-agnostic; to retrieve the actual data, you need to execute the expression, which typically returns a pandas DataFrame.
This makes it straightforward to use Ibis with fpdf2: simply execute your Ibis table expression to get a DataFrame, then render it as a table in your PDF using the same approach as with pandas.
Before running the following example, please install the required dependencies:
pip install "ibis-framework[duckdb]" fpdf2 pandas
Example: Render an Ibis table as a table in a PDF document:
from fpdf import FPDF
import ibis
import pandas as pd
# Connect to a DuckDB in-memory database (as an example backend)
con = ibis.duckdb.connect()
# Create a sample table in DuckDB with a SQL INSERT command:
con.raw_sql("""
CREATE TABLE people (
first_name VARCHAR,
last_name VARCHAR,
age INTEGER,
city VARCHAR
);
INSERT INTO people VALUES
('Jules', 'Smith', 34, 'San Juan'),
('Mary', 'Ramos', 45, 'Orlando'),
('Carlson', 'Banks', 19, 'Los Angeles'),
('Lucas', 'Cimon', 31, 'Angers');
""")
# Get an Ibis table expression
t = con.table("people")
# (Optional) Apply Ibis expressions, e.g., filtering or selecting columns
expr = t # or: t.filter(t.age > 30)
# Execute the Ibis expression to get a pandas DataFrame
df = expr.execute()
# Extract column headers and row data for PDF rendering
COLUMNS = [list(df)] # column headers
ROWS = df.values.tolist() # data rows
DATA = COLUMNS + ROWS
pdf = FPDF()
pdf.add_page()
pdf.set_font("Times", size=10)
with pdf.table(
borders_layout="MINIMAL",
cell_fill_color=200, # grey
cell_fill_mode="ROWS",
line_height=pdf.font_size * 2.5,
text_align="CENTER",
width=160,
) as table:
for data_row in DATA:
row = table.row()
for datum in data_row:
row.cell(datum)
pdf.output("table_from_ibis.pdf")
This approach works with any Ibis backend (DuckDB, pandas, BigQuery, etc.)—just use .execute() to get a DataFrame, then render as shown above.
References:
Using Plotly¶
Before running this example, please install the required dependencies using the command below:
pip install fpdf2 plotly kaleido numpy
kaleido is a cross-platform library for generating static images that is used by plotly.
Example taken from Plotly static image export tutorial:
import io
import plotly.graph_objects as go
import numpy as np
from fpdf import FPDF
np.random.seed(1)
N = 100
x = np.random.rand(N)
y = np.random.rand(N)
colors = np.random.rand(N)
sz = np.random.rand(N) * 30
fig = go.Figure()
fig.add_trace(
go.Scatter(
x=x,
y=y,
mode="markers",
marker=go.scatter.Marker(
size=sz, color=colors, opacity=0.6, colorscale="Viridis"
),
)
)
# Convert the figure to png using kaleido
image_data = fig.to_image(format="png", engine="kaleido")
# Create an io.BytesIO object which can be used by FPDF2
image = io.BytesIO(image_data)
pdf = FPDF()
pdf.add_page()
pdf.image(image, w=pdf.epw) # Width of the image is equal to the width of the page
pdf.output("plotly_demo.pdf")
Result:

While you can also embed a figure as SVG, this is not recommended as text data - such as the x and y axis bars - might not be displayed, because plotly places this data in a SVG text tag which is currently not supported by fpdf2.
Before running this example, please install the required dependencies:
pip install fpdf2 plotly kaleido pandas
from fpdf import FPDF
import plotly.express as px
fig = px.bar(x=["a", "b", "c"], y=[1, 3, 2])
fig.write_image("figure.svg")
pdf = FPDF()
pdf.add_page()
pdf.image("figure.svg", w=pdf.epw)
pdf.output("plotly.pdf")
Result:

Using Pygal¶
Pygal is a Python graph plotting library. You can install it using: pip install pygal
fpdf2 can embed graphs and charts generated using Pygal library. However, they cannot be embedded as SVG directly, because Pygal inserts <style> & <script> tags in the images it produces (cf. pygal/svg.py), which is currently not supported by fpdf2. The full list of supported & unsupported SVG features can be found there: SVG page.
You can find documentation on how to convert vector images (SVG) to raster images (PNG, JPG), with a practical example of embedding PyGal charts, there: SVG page > Converting vector graphics to raster graphics.
Mathematical formulas¶
fpdf2 can only insert mathematical formula in the form of images. The following sections will explain how to generate and embed such images.
Using Google Charts API¶
Official documentation: Google Charts Infographics - Mathematical Formulas.
Example:
from io import BytesIO
from urllib.parse import quote
from urllib.request import urlopen
from fpdf import FPDF
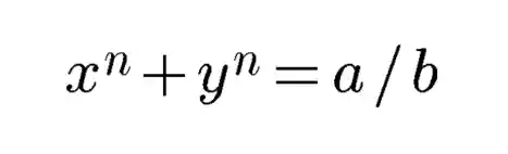
formula = "x^n + y^n = a/b"
height = 170
url = f"https://chart.googleapis.com/chart?cht=tx&chs={height}&chl={quote(formula)}"
with urlopen(url) as img_file: # nosec B310
img = BytesIO(img_file.read())
pdf = FPDF()
pdf.add_page()
pdf.image(img, w=30)
pdf.output("equation_google_charts.pdf")
Result:

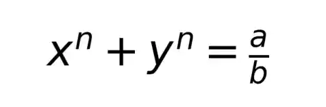
Using LaTeX & Matplotlib¶
Matplotlib can render LaTeX: Text rendering With LaTeX.
Example:
from io import BytesIO
from fpdf import FPDF
from matplotlib.figure import Figure
fig = Figure(figsize=(6, 2))
gca = fig.gca()
gca.text(0, 0.5, r"$x^n + y^n = \frac{a}{b}$", fontsize=60)
gca.axis("off")
# Converting Figure to a SVG image:
img = BytesIO()
fig.savefig(img, format="svg")
pdf = FPDF()
pdf.add_page()
pdf.image(img, w=100)
pdf.output("equation_matplotlib.pdf")
Result:

If you have trouble with the SVG export, you can also render the matplotlib figure as pixels:
from fpdf import FPDF
from matplotlib.backends.backend_agg import FigureCanvasAgg as FigureCanvas
from matplotlib.figure import Figure
import numpy as np
from PIL import Image
fig = Figure(figsize=(6, 2), dpi=300)
gca = fig.gca()
gca.text(0, 0.5, r"$x^n + y^n = \frac{a}{b}$", fontsize=60)
gca.axis("off")
canvas = FigureCanvas(fig)
canvas.draw()
img = Image.fromarray(np.asarray(canvas.buffer_rgba()))
pdf = FPDF()
pdf.add_page()
pdf.image(img, w=100)
pdf.output("equation_matplotlib_raster.pdf")