Hypertext (IEKO)

home about ISKO join ISKO Knowledge Organization journal ISKO events ISKO chapters ISKO people ISKO publications Encyclopedia KO literature KO institutions ⇗ KOS registry 🔒 members contact us
by Riccardo Ridi

Table of contents:
1. Definition
2. Characteristics, components and typologies
    2.1 Characteristics of hypertexts
    2.2 Rhizomes and hypotexts
    2.3 Graph theory
    2.4 Components of hypertexts
    2.5 Typologies of hypertexs
    2.6 Serendipity
    2.7 Browsing
    2.8 Orientation in hypertexts
3. History
    3.1 The word
    3.2 Prehistory
    3.3 Memex
    3.4 NLS
    3.5 Xanadu
    3.6 The first generation of hypertext systems
    3.7 The second generation of hypertext systems
    3.8 World Wide Web
    3.9 The third generation of hypertext systems
4. Technological applications
    4.1 Multimedia CD-ROMs and DVDs
    4.2 Citation indexes
    4.3 PageRank and relevance ranking
    4.4 OpenURL and reference linking
    4.5 Semantic web and linked data
    4.6 Social networks
5. Conceptual applications
    5.1 Hypertextuality of literature and games
    5.2 Hypertextuality of knowledge organization systems
    5.3 Hypertextuality of memory institutions and of the universe
6. Conclusions
Acknowledgments
Endnotes
References
Colophon

Abstract
Hypertexts are multilinear, granular, interactive, integrable and multimedia documents describable with graph theory and composed of several information units (nodes) interconnected by links that users can freely and indefinitely cover by following a plurality of possible different paths. Hypertexts are particularly widespread in the digital environment, but they existed (and still exist) also in non-digital forms, such as paper encyclopedias and printed academic journals, both consisting of information subunits densely linked between them. This article reviews the definitions, characteristics, components, typologies, history and applications of hypertexts, with particular attention to their theoretical and practical developments from 1945 to present day and to their use for the organization of information and knowledge.

1. Definition

A hypertext is a → document (or a set of documents) composed of several information units (called nodes), connected between them by links chosen a priori by those who produce the document itself (who select them among all logically possible links) and a posteriori by those who read the hypertext, deciding for themselves to cover it by following each time a particular path among the many that have been made possible by the authors or, in some cases, even by creating new ones (Nelson 1965; Nielsen 1990; McKnight, Dillon and Richardson 1992, 226-229; Welsch 1992, 614-616; ISO 2001, 4.3.1.1.19; LĂ©on and Maiocchi 2002, 29-45; Landow 2006, 2-6; Alberani 2008, 147-149; Eisenlauer 2013, 65). “The essential principle of hypertext” is thus “the ability to move without interruption from one information resource to another” (Feather and Sturges 2003, 232) following a plurality of possible paths. This fundamental characteristic of hypertexts – sometimes called also hyperdocuments (Martin 1990; Woodhead 1991, 3) – is often referred to generically as hypertextuality (Cicconi 1999; Oblak 2005) or, more rarely but more specifically as multilinearity (Bolter 2001, 42; Landow 2006, 1), nonlinearity (Aarseth 1994; Blustein and Staveley 2001, 302) or nonsequentiality (Nielsen 1995, 348; Carter 2003).

Figure 1: “Simplified view of a small hypertext structure having six nodes and nine links” (from Nielsen 1995, I)

Some authors restrict the definition of hypertext only to textual documents, preferring the term hypermedia to refer to multimedia hypertextual documents (Prytherch 2005, 332-333; Dong 2007, 234). Others use the term hypertext to refer exclusively to multilinear documents of digital type (Conklin 1987; Kinnell and Franklin 1992; Eisenlauer 2013, 58-59; Wikipedia 2017a) or, even (in non-specialized sources), as a mere synonym for digital document (that is to say any information resource usable with a computer, regardless of its greater or lesser multilinearity). In this article we will rather adopt an extended interpretation of the concept of hypertext, in both the digital and paper environment and independent from the number and the nature of the media involved.

The subject of this article are hypertexts and hypertextuality understood as a modality of organization of knowledge, information and documents. Therefore, we will not discuss other meanings of such terms used in the field of semiotics and literary criticism [1].

[top of entry]

2. Characteristics, components and typologies


2.1 Characteristics of hypertexts

The fundamental precondition of hypertextuality is granularity (Zani 2006), that is the property of documents that can be decomposed into smaller self-contained parts still making sense and usable, such as the single entries of an encyclopedia. Indeed, only if a document can be decomposed into many nodes, it will be possible to connect them in many different ways. Eisenlauer (2013, 64) prefers to call this characteristic “fragmentation” and divides it into intranodal and extranodal: “the former refers to the fragmentary text arrangement within one node, while the latter applies to the fragmentation across different nodes”.

Two other relevant characteristics of hypertextuality, in addition to granularity and to multilinearity, are interactivity and integrability. Interactivity (Léon and Maiocchi 2002, 79-81) or malleability is the possibility, for the reader, to creatively modify a document in ways unforeseen by the original author, adding nodes or links. Every hypertext is by definition interactive, at least in the minimal sense of allowing multiple reading paths freely chosen by the reader, but the extent of the creative intervention allowed to the user (which may be more or less radical) and the degree of permanence of the changes made (which may be more or less temporary) are variable.

Integrability (Cicconi 1999, 31-32) means indefinite extensibility, that is to say the property for which, following the links in a hypertext by moving from a node to another, one can reach any point, without ever arriving to any definitive end (or beginning). According to the greater or lesser level of integrability hypertexts can be divided into open (those from which you can “go out”, continuing your own path more or less long towards further hypertexts, as happens on the World Wide Web) and closed (those from which you can not escape, because all links are directed towards the nodes of the same hypertext) (Jakobs 2009, 356; Eisenlauer 2013, 62-63). In this regard Roy Rada (1991a, 22 and 68) distinguishes between “small-volume hypertext or micro text, [i.e.] a single document with explicit links among its components” and “large-volume hypertext or macrotext [that] emphasizes the links that exist among many documents rather than within one document”. Integrability and interactivity are not completely independent of each other, since the only real possibility that a hypertextual system has to be always open to the outside, growing indefinitely, is to rely on the enrichment brought by always new readers and authors.

A last characteristic of hypertextuality is multimediality (Klement and Dostál 2015) or multimodality. This can be a property either of individual nodes — which can be texts in a strict sense, still or moving images, sounds, or a mixture of them — or of the structure of links between them, that can be based on schemes, diagrams, images or other non-textual organizations. These can make the whole structure of an hypertext map-oriented rather than index-oriented, by favouring spatial organization over temporal organization. While the latter is more typical of linear texts based on an ordered sequence, like in lists, when facing an image or a map the readers can freely choose to pay attention to any of its parts, all simultaneously available to their look. For the latter case, then, some prefer to adopt the term hypermediality (Antinucci 1993).

Hypertextuality — decomposable, as we have seen, into multilinearity, granularity, interactivity, integrability and multimediality (Eisenlauer 2013, 63-65) — can be considered not just as a discrete property, either possessed or not by a document, but also as referring to a continuum moving without leaps from a minimum degree to a maximum degree both overall and with respect to each of these characteristics (Fezzi 1994). One can find documents provided with greater multilinearity, like encyclopedias, dictionaries, websites or linked data stores, as well as documents with less multilinearity, like a poem, a song or a movie. Or one can notice that digital documents are, in general, more malleable than the traditional ones, even if a card file is more easily customizable (both with regard to its contents and its arrangement) than any film on DVD with extremely primitive indexes or any e-book editorially “armoured” by a digital right management system that prevents any modification or data extraction. A unilinear document is only a particular case of a very simple multilinear document, just as a textual or audio document is only a particular case of a very simple multimedial document because, from a certain point of view, all documents are hypertexts, more or less rich and complex (Fezzi 1994).

[top of entry]

2.2 Rhizomes and hypotexts

Hypertexts should not be confused (like Robinson and McGuire 2010 and Tredinnick 2013 do) with rhizomes (Deleuze and Guattari 1976; Eco 1984, 112; Landow 2006, 58-62; Eco 2007, 59-61; Mazzocchi 2013, 368-369), which constitute the limit case of hypertexts in which each node is mechanically linked to all the other nodes belonging to the same document, without selection by their author (Finnemann 1999, 27), among all the logically possible links, of only those considered to be useful, meaningful or at least sensible. Therefore rhizome is the term that can be used to indicate those hyptertexts (though neither very widespread nor particularly useful) so radically multilinear as to provide links from each node to all other nodes. Similarly, Ridi (1996) proposed the term hypotext (understood in a different way from Genette 1982 [1]) to indicate documents with little hypertextuality and, in particular, those so little multilinear as to be configured as unilinear documents in which each node is linked only to the previous node and to the next one, with the possible exceptions (in non-circular documents) of the first and the last node of the series.

Figure 2: Schematic representation of a unilinear document (from Trebing 2006)

[top of entry]

2.3 Graph theory

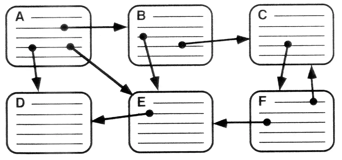
In addition to the limit-forms of the rhizome, of the unilinear document and of the circular document (Bernstein 1998, 22), hypertexts can also take any other shapes and sizes described by graph theory, that is the branch of mathematics which deals with the abstract objects consisting of a set of points (also called vertices or nodes) and of the possible set of lines (also called edges or arcs) that join them. Such a theory, applicable to many areas of reality, including hypertexts, distinguishes between the edges without orientation, which limit themselves to join together two vertices without establishing any particular order between them, and the edges (called arrows) that indicate a specific direction from a vertex to another. Directed graphs (or digraphs) are those in which at least a part of the edges has an orientation, while undirected graphs are composed exclusively of edges without orientation (Rosenstiehl 1979; Rigo 2016; BarabĂĄsi 2016, 42-70).

Figure 3: An undirected graph (left) and a directed graph (right) (from Nykamp 2016)

Two vertices linked by an edge are said adjacent. A continuous sequence of edges is a path, which is called cycle when, if one follows it, one returns to the initial vertex. The degree (or valency) of a vertex is the number of edges that links it to others or to itself. When the vertices, instead of being abstract mathematical entities, are made of something real and with specific characteristics, sometimes one prefers to call them networks instead of graphs (Newman 2003), while other authors (Nykamp 2016) use these terms interchangeably. Among the main types of graphs are the following (Furner, Ellis and Willett 1996; Van Steen 2010; Sowa 2016; Rigo 2016; BarabĂĄsi 2016, 42-70; Weisstein 2017):

  • simple graphs, in which there are no loops, i.e. edges that connect a vertex to itself and increase its degree of two units. Unless otherwise stated, the unqualified term graph usually refers to a simple graph;
  • rooted graphs, in which a specific vertex has been identified as the root of the graph itself;
  • complete graphs (under which rhizomes can be traced back), in which any pair of vertices is linked by at least one edge;
  • Figure 4: A complete graph (from BarabĂĄsi 2016, 53)
  • multigraphs, in which a pair of vertices may be linked by more than one edge (as it may occur between two web pages, with various reciprocal links aimed at different points of the same pages);
  • oriented graphs, that is to say the directed graphs whose pairs of vertices are never mutually linked by a symmetrical pair of arrows;
  • Figure 5: A multigraph (left) and an oriented graph (right) (from Weisstein 2017)
  • trees, that is to say the graphs in which there is a unique path connecting any pair of vertices (and thus there are no cycles);
  • lattices (or grids), which are graphs forming regular tilings.
Figure 6: A tree (left) and a lattice (right) (from Sowa 2016)

As in a hypertext a link that goes from node A to node B is a different thing from one that goes from node B to node A, hypertexts can be described (Botafogo, Rivlin and Shneiderman 1992; Furner, Ellis and Willett 1996; Mehler, Dehmer and Gleim 2004) as directed graphs (or, better, as directed networks, since they are concrete) whose vertices are constituted by information units, and all the mathematical concepts, properties and formulas of graph theory can be applied to them, including (Rosenstiehl 1979; Van Steen 2010; Rigo 2016):

  • connectivity: each pair of vertices of a graph is said connected if there exists at least one path that connects them and each graph devoid of disconnected vertices is said connected. In a connected graph no vertex is unreachable by others, unlike the World Wide Web, where there are isolated pages without even a link from other web pages addressed to them and that can therefore be represented by a disconnected graph. The level of connectivity of a graph is differently definable with respect to various parameters and therefore calculable using various formulas;
  • density: the more the number of the edges of a graph approaches the maximum number of those mathematically possible given the number of vertices, the more it can be said that the graph is dense, meaning that it approaches the typical completeness of rhizomes. Inversely the graphs furthest from completeness are called sparse, that is with few edges. The density, like the connectivity, is defined and calculated in various ways depending on the selected parameters and the types of graphs.

[top of entry]

2.4 Components of hypertexts

The relationship between graphs and the main components of hypertexts is well summed up by this definition by Jacob Nielsen (1990, 298):

Hypertext is non-sequential writing: a directed graph, where each node contains some amount of text or other information. The nodes are connected by directed links. In most hypertext systems, a node may have several out-going links, each of which is then associated with some smaller part of the node called an anchor. When users activate an anchor, they follow the associated link to its destination node, thus navigating the hypertext network. Users backtrack by following the links they have used in navigation in the reverse direction. Landmarks are nodes which are especially prominent in the network, for example by being directly accessibile from many (or all) other nodes.

Nodes. Hypertext nodes, also referred to as lexia (Landow 2006), unlike graph nodes, are not mere abstract points with no properties, but → documents (Buckland 1997; 2016), i.e. physical entities in which signs interpretable as information are coded (in analog or digital mode). These documents can vary from the point of view of their size (ranging from a word to a novel), of their structure (ranging from the monolithic ones to others articulated in various levels of subunits) and of the type and number of the media involved (text, static image, moving image, audio and all their possible combinations). Typical examples of hypertext nodes are the cards of HyperCard (see section 3.7), the World Wide Web pages (see section 3.8) and the entries in an encyclopedia or in a dictionary. The more a certain amount of information is decomposed into small (as long as they are also self-explanatory) and numerous nodes, the greater will be its granularity (see section 2.1), which will allow the reaggregation into a more articulate hypertext.

Landmarks. In a hypertext, nodes can all have the same importance and visibility, or there may be some particularly relevant that the author assumes will be visited more often than others by readers. These nodes “that the user knows very well and which are recognized easily are called landmarks” (NeumĂŒller 2001, 127). Typical examples are website homepages, summaries, indexes and the title pages of both paper and digital books, computer desktop screens and DVD menus.

Anchors. An anchor is a fragment (generally rather small and preferably meaningful) of a node from which a direct link is directed generically towards another node or, more specifically, towards a particular fragment (which sometimes is also called itself an anchor) of another node or of the same node where the source anchor is located. If the nodes involved are totally or partially textual, both the source anchor (i.e. the tail of the link) and the target anchor (i.e. the head of the link) can be a word or a phrase, while if the nodes include also or only images, one of them can perform the anchor function. In books “footnotes are anchors which provide the necessary information to locate linked information. And the reader has the freedom to jump or not to the footnote. For this reason, hypertext has sometimes been called generalized footnote” (Fluckiger 1995, 262). In the digital environment, source anchors are often highlighted (for example with a particular color or with an underlining) and can be “activated” with a procedure (for example a mouse “click”) that leads the user to view the target anchor.

Anchor. An area within a the content of a node which is the source or destination of a link. The anchor may be the whole of the node content. Typically, clicking a mouse on an anchor area causes the link to be followed, leaving the anchor at the opposite end of the link displayed. Anchors tend to be highlighted in a special way (always, or when the mouse is over them), or represented by a special symbol. An anchor may, and often does, correspond to the whole node (also sometimes known as “span”, “region”, “button”, or “extent”) (CERN 1992).

Links and paths. Links (also called hyperlinks, especially in the digital environment) are what, in a hypertext, connects a pair of nodes or, more exactly, a pair of anchors to each other. Paths are continuous sequences of links that users follow during the browsing. In non-digital hypertexts, links and paths often have an exclusively symbolic or conceptual nature, in the sense that the reading of the source anchor (often not graphically highlighted in any special way in a paper environment) allows the user aware of the corresponding language code to understand that more relevant information is available in a “documentary location” (either internal or external according to the document that hosts the anchor) which can possibly be achieved by the user thanks to his/her own autonomous movement in the “documentary space”. For example, finding in the text of a scientific article a pair of brackets that contain a short string of text followed by a space and by four digits, readers could (if they are sufficiently educated, experienced and motivated) understand, in the order, that:

(a) that it is a surname followed by a date;
(b) by leafing through the pages of the article they will find at the end of the book an alphabetically arranged list of all the surnames+dates present in the text;
(c) by scrolling through that list until the desired couple surname+date is reached, they will find a few lines of text that, through a standardized coding not so obvious to understand, will provide them with the necessary information first to identify, then to locate and finally to possibly reach (on the shelf behind them or in a library at the other end of the world) the text on which the author of the article wanted to attract their attention for some reason.

The path that leads from the source anchor (surname+date) to the target node (the corresponding book or article) is in this case long, complex and entirely based on a series of decodings, decisions, actions and (often) physical movements all at the users’ expense. In the digital environment, instead, many of this decodings, decisions, actions and (virtual) movements are automatic and immediate, because the link takes the form of a series of instructions coded in the anchor and executed by the computer when the user decides to activate it. If the scientific article in the example were contained in an e-journal available on the World Wide Web, the surname+date anchor (visible to the user as a coloured and underlined text) could be associated to an instruction written in HTML language that, if activated by the touch of a finger on the mouse or on the touch screen, would order the computer that the user is using to connect through the Internet to another remote computer in which resides the document published in that date by the author with that surname, and to display it on its screen. Therefore the digital link performs the same functions as the paper one, but automating and fluidifying its passages, increasing that “ability to move without interruption from one information resource to another” (Feather and Sturges 2003, 232) that we have seen (see section 1) is so central to the definition of hypertextuality, because “true hypertext should [
] make users feel that they can move freely through the information according to their own needs. This feeling is hard to define precisely but certainly implies short response times and low cognitive load when navigating” (Nielsen 1990, 298).

Links can be distinguished and classified from various points of view (DeRose 1989; Hammwöhner and Kuhlen 1994; Signore 1995; Agosti, Crestani and Melucci 1997; Miles-Board, Carr and Hall 2002; Léon and Maiocchi 2002, 64-68):

  • they can be created simultaneously with the document that contains their source anchors or be added later by the same author of the document or from other people. Especially in the case of a subsequent addition, instead of being decided and constructed one by one on the basis of a series of independent evaluations, they can sometimes be created by a software on the basis of an algorithm or a criterion previously set, therefore configuring themselves as automated links (Agosti and Melucci 2000);
  • a particular case of automatically created links are the intensional ones, which instead of being explicitly and permanently stored in the hypertext as the extensional ones (which lead to a predetermined node) are created each time during the navigation in the hypertext on the basis of predefined procedures and parameters. This method is applied, for example, within the so-called reference linking (see section 4.4) to provide the users of the bibliographic databases with always up-to-date and valid links, leading them precisely to documents that could have changed their location and that are available only to those who have certain access rights;
  • the link connecting two nodes can be unidirectional or bi-directional, thus forming a couple of links connecting the nodes in both directions. In some cases (as in blog linkbacks, also called refbacks, trackbacks or pingbacks) the second link can be produced automatically;
  • structural links serve to facilitate the orientation and the movement between the various parts of the architecture of a hypertext without reference to the specific semantic content of the individual nodes, which instead is at the basis of the associative links. The anchors from which the main structural links start are sometimes concentrated in a specific section present in each node of the hypertext, called the navigation bar;
  • implicit (or embedded) links, predominantly associative, are those that start from an anchor placed in the central part of the node, corresponding to the actual document, while explicit links, predominantly structural, are those located in peripheral areas of the node, before, after or alongside the actual document (Rada 1991a, 37; Bernard, Hull and Drake 2001);
  • typed links (De Young 1990, 240-241) make explicit (by means of a symbol, a colour or other graphic devices) the relationship between the source anchor or node and the target anchor or node (that is to say the reason why the author of the hypertext decided to create that link, see Bar-Ilan 2005) without having to activate the link to understand it. Differentiated typed links can lead, for example, to the explanation of a term, to a bibliographic reference, to the quotation of a text, to a sound or graphic content, to the suggestion of another semantically or formally similar node, to a particular section of the node itself, to the contextualization of the node within the overall architecture of the hypertext to which it belongs, etc. There is a lack of it in Wikipedia, where, if you click on an anchor, you never know if you will end up on a page that defines the meaning of that word in general or on one that talks about the object to which the page itself refers to in the context of the specific entry from which we started;
  • weighted links (Yazdani and Popescu-Belis 2013) are associated to a number or a symbol representing the intensity of the connection between the source anchor or node and the target anchor or node.

[top of entry]

2.5 Typologies of hypertexts

From the foregoing it follows that the conceptual architecture of hypertexts is not opposed to such more classical organizational typologies of documents, information and knowledge as the unilinear list (Eco 2009), the hierarchical classificatory tree (Eco 2007, 13-96) — which is a particular case of graph theory trees — or the orthogonal grid typical of databases (corresponding to graph theory lattice). Sequence, hierarchy and grid can be considered simpler and more predictable types of hypertexts than an irregular and unpredictable structure such as the World Wide Web, that can however include inside also sites or their sections organized, just like sequences, hierarchies or grids. All the possible ways of connection among information units can be placed in some position within the conceptual field of hypertextuality.

Figure 7: Sequence, grid, tree, web (from Brockmann, Horton and Brock 1989, 183)

The unilinear sequence is the simplest organizational structure to explore, but such simplicity is paid for by a low expressive and classificatory power while, at the other extreme, the high expressive and classificatory power of the radically hypertextual architectures is paid for by a low predictability and a high risk of getting lost during navigation (Brockmann, Horton and Brock 1989, 182-185).

[top of entry]

2.6 Serendipity

In classical information retrieval, based on sequences, hierarchies and grids, one reaches the documents relevant with respect to a given purpose by means of subsequent refinements of the search, passing progressively from the general to the particular (or the reverse), without any significant increase in information during the process. One knows from the beginning what one is looking for, though maybe not what will be found (Lucarella 1990). In the more radical hypertexts instead (since the information is not only contained in the nodes, but also in the network, that is, in the structure of the links), by browsing one also discovers completely unknown information and may decide to abandon the designed search to undertake another one, according to the phenomenon of serendipity (Foster and Ford 2003; Merton and Barber 2004), typical of open shelf libraries.

According to Horace Walpole who coined the term [in 1754], serendipity has the following characteristics: first it involves unexpected, accidental discoveries made when looking for something else; second, it is a faculty or knack; third, these discoveries should occur at the right time. (Davies 1989, 274)

Serendipitous findings. One of the consequences of browsing in the library and through journals is finding something of interest or some things that are not originally sought. (Rice, McCreadie and Chang 2001, 182)

[top of entry]

2.7 Browsing

In this article, the term browsing is used, consistently with the most common use in hypertext literature, as synonymous with navigating to indicate the process of shifting the user's attention from one node to another, proceeding along a path consisting of one or more links. This meaning is neutral with respect to the discussion between Marcia Bates and Birger HjĂžrland about the predominantly biological and behavioural (Bates 2007) or socio-cultural (HjĂžrland 2011) nature of the assumptions that guide the users during browsing.

In multilinear browsing, which is an expansion and enrichment of the unilinear scanning of lists and shelves, it is the search itself that creates the possibility of following new paths, reaching unexpected but (sometimes) relevant information content. There is less exhaustivity, but also greater creativity as compared to classic information retrieval and therefore it is an ideal search technique when one still does not know exactly what one wants to find (Lucarella 1990).

Hypertext's approach is to emphasize the semantic link structure of the web of text fragments, providing effecting means to traverse the web of nodes as well as present the contents of these nodes. Conventional information retrieval systems emphasize searching, whereas hypertext emphasizes browsing via link traversal. Therefore, hypertext is more suited to users that wish to discover information or who have ill-defined information goals, rather than specific goal-oriented searching. Hypertext is an effective form of information retrieval because information gained relates by analogy to the starting information, rather than to an explicit query. (Milne 1994, 26)

An ideal information system should allow both search methods (the “orthogonal” one of the classic information retrieval and the “transversal” one of hypertextual browsing), complementary to each other (Croft 1990; Lucarella 1990; Agosti and Smeaton 1996; Agosti and Melucci 2000; Brown 2002), allowing library users, for example, to identify the most useful documents through (Ridi 2007, 139-148):

  • submitting to the system a query on the entire text of the documents or on their metadata divided into fields in order to extract, also thanks to the use of Boolean operators, a subset of indexed documents that best meets the user’s information needs and that can be further combined with other subsets;
  • scanning lists of sorted metadata (possibly nested one inside the other to compose a classificatory hierarchy) to explore the entire content of the system from one end to the other, until one finds what one was looking for;
  • hypertextual browsing in the metadata and the full-text of primary documents, performed by following single links “from node to node” or by activating anchors that allow access to lists of sorted metadata to scan or that send queries to the system.

[top of entry]

2.8 Orientation in hypertexts

The main problem of large and complex hypertexts is the extreme ease with which the readers can lose orientation during the navigation, failing both to find what they are looking for and to understand what their position is in relation to the overall structure they are exploring (Waterworth and Chignell 1989; Satterfield 1992, 1-3; Landow 2006, 144-151). Another difficulty is the cognitive overhead necessary to decide how many and which links to follow in (or to add to) each node during the reading (or the writing) of a hypertext without losing sight of the initial or priority goal (Conklin 1987, 38-40; Ransom, Wu and Schmidt 1997).

To summarize, then, the problems with hypertext are
  • disorientation: the tendency to lose one’s sense of location and direction in a nonlinear document; and
  • cognitive overhead: the additional effort and concentration necessary to maintain several tasks or trails at one time (Conklin 1987, 40).
  • To avoid both these problems, many solutions have been devised, some of which have already been mentioned in the preceding paragraphs (typed, structural and bidirectional links, navigation bars, landmarks) and others are listed below, but the most important (and the most difficult) one is a good writing and a coherent design, aware of the specific hypertext rhetoric [2]. We therefore limit ourselves to listing only some of the tools that can be useful to orientate oneself and to reduce the cognitive overhead within a hypertext (Nielsen 1990; Gay and Mazur 1991; Satterfield 1992; Nielsen 1995, 247-278; NeumĂŒller 2001, 117-145), noting that a good part of the manuals about information architecture (Rosenfeld, Morville and Arango 2015), web usability (Krug 2014) and interfaces between humans and computers (Shneiderman et al. 2017) devote many of their pages to these tools.

    Interfaces. Non-digital hypertexts generally do not need special devices to be used, or at least they need the same tools necessary to create, modify or use the non-digital documents endowed with an extremely low level of multilinearity. On the contrary, to be used on a computer or on another electronic device, digital hypertexts almost always need specific applications better equipped to handle nodes, links and multimediality than those normally used to create or use single texts, images, videos and sounds not structured in subunits nor connected to each other by links. These interfaces for digital hypertexts were often called browsers even before (Conklin 1987) the term began to indicate, more specifically, the software for navigating the World Wide Web. Their function is to display nodes (often using familiar metaphors such as pages, cards, frames, etc.) and links in a bi- or tridimensional space, translating the user's decision to follow a particular path into a corresponding (but more intuitive) movement in the documentary space (McKnight, Dillon and Richardson 1989; 1992; Woodhead 1991, 104-111; Reyes-Garcia and BouhaĂŻ 2017). Moreover, they allow to manage the following orientation tools.

    Backtracking. Various tools are collected under this name, which allow users to “go back to their steps” during the navigation in a hypertext (Nielsen 1990, 301-304; NeumĂŒller 2001, 128-130), most of which are implemented also in almost all browsers that can be used to move around the World Wide Web. The back button allows to step backwards, that is to say to cover, in reverse, the last link followed, returning to the previous node. The chronology (or history list) is a list of the most recently visited nodes, arranged in reverse chronological order (Nielsen 1995, 252-254). Bookmarks are nodes that are stored (and possibly annotated and classified) by the user because they are considered to be particularly significant or because the user plans to return there in the future (Nielsen 1995, 254-257).

    Maps. Hypertexts maps (De Young 1990, 240-241; NeumĂŒller 2001, 126-127), as well as geographic ones, are simplified symbolic representations of a viable space that help users to locate their position in that space and to decide in which direction to move to reach the chosen destination. They are also called overviews (Nielsen 1995, 258-272), they can assume both a visual and a textual form and they can privilege, by highlighting them, different information contents, so there can be more maps for the same hypertext. Maps can be global, if they represent the entire hypertext to which they refer, or partial (i.e. local), and especially in the latter case they can sometimes also be contextual, that is to say they can present to the user the nodes surrounding the one where he/she is as if they were depicted by his/her point of view. Tables of contents of books, which list the chapters in the same order in which they actually follow one another, can be considered as global textual maps, while the Internet addresses (URLs), with their structure reflecting that of site directories, can be considered as local textual maps. Local maps can also take the form of representations of the path that the user has traced up to that moment, with the crossed nodes that can be reached directly from the map itself.

    Indexes. When the informative contents of the nodes are represented by metadata that are not arranged in the same order as the nodes, but in a different one (for example alphabetical or classified), which facilitates the research, then it is usually preferred to encode them in textual form and we talk about indexes instead of maps or tables of contents. Classical examples are the subject indexes and the author indexes of books. Sometimes, especially in the digital environment, indexes, rather than appearing as simple lists, take the form of hierarchical trees or other articulated structures.

    Breadcrumbs “provide a visual indicator that a particular node has been visited, anchor has been activated, or link has been traversed. [
] Eventually, breadcrumbs accumulate to the point where they are marking most places; at this point their utility is minimal” (Keep, McLaughing and Parmar 2000) and so it would be good that the user could decide after how long they should disappear. Breadcrumbs and chronologies are sometimes associated with timestamps (Nielsen 1990, 302-303), which indicate the date and the time of the last visit or activation. In addition, breadcrumbs can be integrated with maps, appearing as footprints (Nielsen 1990, 303-304), which indicate on the maps, more or less permanently, the paths that have been followed.

    Guided tours. The author of a particularly large and complex hypertext can decide to offer visitors, as an alternative to free browsing, one or more established paths that allow them to get a quick general idea of the whole document or to examine closely a particular theme or aspect, reducing the risks of being lost or neglecting the most important contents (NeumĂŒller 2001, 124-125).

    Social navigation. This denomination collects various methods (NeumĂŒller 2001, 133-134) that use, in order to help users in choosing the direction to take, tips, comments or behaviours of other users or of professionals involved to help them, such as reference librarians. These suggestions can be explicit and “signed” (like an email from a friend who tells me the URL of a web page that he/she knows I might be interested in) or implicit and anonymous, like — in an online bookshop — the links that lead towards other books purchased by many other users who have bought the book I'm viewing.

    Navigation by query. In many digital hypertexts it is possible to make a query that, sometimes also using Boolean operators, retrieves all the nodes (and/or all metadata associated with them) that contain one or more textual strings (NeumĂŒller 2001, 134-137). The results of the query are proposed to the user sorted by specific metadata (such as the surnames of the authors of the books included in a library catalogue) or by a complex, variable — and often secret — algorithm based on many factors that tries to get a relevance ranking (like the one of Google and of similar search engines) (see section 4.3). An additional form of presenting the results that is being spread recently subdivides them automatically into clusters according to a series of pre-defined facets.

    Go home anchors. When orientation is completely lost or when a new search is desired, it is very useful to have, in each node, an anchor that brings us home. However, the concept of home is not unique, so this anchor could activate a direct link to the main page of the hypertext that we are visiting (as in the navigation bars of the websites or in the DVD menus) or to an external node, which is our starting point for the exploration of any hypertext (as it happens by activating the “home” button of a web browser).

    [top of entry]

    3. History


    3.1 The word

    Roy Rada (1991b, 659) relates the term hypertext to hyperbolic space, expression coined at the beginning of the eighteenth century and popularized by German mathematician Felix Klein at the end of the nineteenth century to describe a geometry with many dimensions. According to Rada (1991b, 659) “Ted Nelson coined the term hypertext in 1967 because he believed that text systems should reflect the hyperspace of concepts implicit in the text”. As a matter of fact, both the term hypertext and hypermedia (and the less fortunate hyperfilm) were already in the paper (Nelson 1965) presented by Theodor Holm Nelson (see section 3.5) at a conference held in Cleveland between 24 and 26 August 1965 and were probably conceived by Nelson himself in 1963 (Nelson 2001).

    Let me introduce the word “hypertext” to mean a body of written or pictorial material interconnected in such a complex way that it could not conveniently be presented or represented on paper. It may contains summaries, or maps of its contents and their interrelations; it may contain annotations, additions and footnotes from scholars who have examined it. Let me suggest that such an object and system, properly designed and administered, could have great potential for education, increasing the student’s range of choices, his sense of freedom, his motivation, and his intellectual grasp. Such a system could grow indefinitely, gradually including more and more of the world’s written knowledge. (Nelson 1965, 96)

    In any case it is clear that both Nelson and Genette — who, as mentioned in endnote 1, reinvented the term in 1982 attributing a different meaning to it, probably without knowing of Nelson’s sense (Laufer and Meyriat 1993, 315) — have used the pre-existing prefix hyper-, both English and French (coming from the Greek ᜑπέρ- that means “over”, “above” or “beyond”, cognate with the Latin super- and the Proto-Germanic uber-), to indicate something that enriches or enhances a normal text.

    [top of entry]

    3.2 Prehistory

    Like many other natural and cultural phenomena, hypertexts existed long before someone defined the concept and gave them a name. Cross-references, indexes, notes and bibliographical citations in encyclopedic, juridical and scientific texts were already substantially hypertextual even in the centuries before 1965 (Finnemann 1999, 22-23; Rowberry 2015).

    In practice, very few printed documents are designed for linear reading. Novels are a notable exception. Encyclopedias, dictionaries, reference manuals, magazines, newspaper, and even the present text, are conceptually hypertext documents. They need not to be read sequentially. Most of the links may be followed locally as they point to other parts of the book. But others, like bibliographic references, point to external information. (Fluckiger 1995, 262)
    The compilation of Jewish Oral Law with its rabbinical commentaries (Talmud originally means “learning”), Indian epics and Greek mythology have often been named as the first hypertextual constructions. [
] The standard printed Talmud page (spanning many centuries of Jewish religious scholarship) consists of the core texts, commentaries by various authors (most important Rashi’s Commentary), navigational aids (such as page number, tractate name, chapter number, chapter name) and glosses. Most of these glosses are emendations to the text, while others contain useful (or cryptic) cross-references. Often these comments were copied from the handwritten annotations that the authors inscribed in the margins of their personal copies of the Talmud. (NeumĂŒller 2001, 62-63)

    [top of entry]

    3.3 Memex

    Even if W. Boyd Rayward (1994) found many aspects of hypertextuality in the theories and the achievements of the pioneer of documentation and information science (as well as cocreator of Universal Decimal Classification) Paul Otlet (1868-1944), all histories of modern (i.e. digital) hypertext begin with the Memex of Vannevar Bush (1890-1974), although it has never been made real nor did it envisage the use of either digital documents or computers (Nyce and Kahn 1991; Nielsen 1995, 33-36; Castellucci 2009, 99-120; Barnet 2013, 11-35).

    Bush was an American engineer, director of the Office for Scientific Research and Development (an agency of the United States federal government active from 1941 to 1947 to coordinate scientific research for military purposes during World War II) that, right towards the end of the conflict, in the summer of 1945, published an article (Bush 1945) which is probably still the single most cited document in hypertext literature. In it Bush assumed the imminent buildability of a kind of well-equipped desk, called Memex (from “memory extender”), in which every scientist could store (on microfilms, by photographing them), annotate, connect, retrieve and read (by projecting them on small screens) all documents considered useful for his/her research.

    Figure 8: Memex (from Bush 1945, Life version, 123)

    The technology prefigured by Memex appeared futuristic at that time, but it turned out little far-sighted in reality, given the rapid development of digital computers that was beginning in those years. However, what turned out to be particularly significant with regard to the future development of hypertextuality was the principle proposed by Bush to connect together the information contents included in the archived documents.

    Apart from the conventional form of indexing, Bush proposed «associative indexing, the basic idea of which is a provision whereby any item may be caused at will to select immediately and automatically another. This is the essential feature of Memex. The process of tying two items together is the important thing». Associative indexing would help to overcome our ineptitude in getting at a certain record which «is largely caused by the artificiality of systems of indexing. When data of any sort are placed in storage, they are filed alphabetically or numerically, and information is found (when it is) by tracing it down from subclass to subclass. [
] The human mind does not work that way. It operates by association». (NeumĂŒller 2001, 64-65, quoting Bush 1945)

    [top of entry]

    3.4 NLS

    For about fifteen years after the article of Bush (1945), while computers evolved from the 1945 ENIAC (in just one specimen) to the 1951 Ferranti Mark 1 (the first one available commercially, of which some tens specimens were sold) and the 1962 Atlas (one of the first “supercomputers”, as they were called at that time), there was no significant development either in the theory or in the realization of hypertexts, also because computers at that time were so huge and expensive that it was not conceivable to use them for functions other than pure calculation (Nielsen 1995, 36). In the early 1960s, however, two characters important for information science at least as much as Vannevar Bush (from whom they both declared to be strongly influenced) began to be interested in hypertexts (which no one named this way yet), more or less simultaneously but independently: Doug Engelbart e Ted Nelson.

    Douglas Carl Engelbart (1925-2013), best known as Doug Engelbart, was the American engineer who “more or less invented half the concepts of modern computing” (Nielsen 1995, 37), including the mouse, word processing, videoconferences and graphical user interfaces later made famous by Macintosh and Windows. Much of these concepts were developed before (1959-1960) for the US Air Force and later at the Stanford Research Institute and reached the stage of concrete pioneering achievements that were presented to the public in San Francisco on 9 December 1968 during what was later called “the mother of all demos” (Doug Engelbart Institute 2017), including one of the earliest connections between remote computers. The project of “augmenting human intellect”, illustrated for the first time by Engelbart (1962), included a system (already present in the 1968 presentation) for the collaborative management of textual documents called NLS (oN-Line System), which had various hypertextual characteristics, among which the ability to create cross-references between documents created or archived by different users (Lana 2004, 114-135; Barnet 2013, 37-64).

    The database structure of NLS was primarily hierarchical but with facilities for creating non-hierarchical links. Many of the features of later hypertext systems can be found in NLS including a database of non-linear text, “view” filters to suppress detail and selected information for display, and “views” to structure the information displayed. (Ellis 1991, 7)

    Despite these very innovative results, in 1977 the US government suspended funding to Engelbart, who continued his studies in the field thanks to investments by private companies, while “several people from Engelbart’s staff went to Xerox PARC and helped invent many of the second half of the concepts of modern computing” (Nielsen 1995, 37).

    [top of entry]

    3.5 Xanadu

    Theodor Holm Nelson (1937-), better known as Ted Nelson, a son of the well-known American film director Ralph Nelson and of the Broadway and Hollywood actress Celeste Holm, graduated in philosophy in 1959, got a master's degree in sociology in 1963 and started in 1960 (Castellucci 2009, 51-78; Barnet 2013, 65-89; Dechow and Struppa 2015) to design a hypertextual system named in 1967 Xanadu (after the name of the first capital of Yuan dynasty’s Chinese empire in the poem Kubla Khan by Samuel Taylor Coleridge, published in 1816) that was never fully realized, although it was a fundamental source of inspiration for the World Wide Web, as its own inventor Tim Berners-Lee (1989; 1999) acknowledged. As seen in section 3.1, it was during this project, at which Nelson continued to work — the OpenXanadu prototype was released in 2014 (Hern 2014) — that he coined the terms hypertext and hypermedia.

    In the intentions of its creator, Xanadu should be a software that runs on a myriad of computers connected in a planetary network and that completely replaces any other kind of storage (even at home). Absolutely all documents (Nelson is also the inventor of the term docuverse, i.e. document universe), even the most ephemeral and personal one, would reside on Xanadu, protected from the gazes of others until the author decides to make them public, that is to say available on the entire network. From any document one could reach, through one or more passages, any other document, by following any kind of association. Creation and editing of documents would take place directly on the system, which would save every subsequent version of each document and would permit to cite any other document present in the network by simply opening a hypertextual window on it (Nelson 1990; Nielsen 1995; 37-39; Lana 2004, 139-158). “The system has no concept of deletion: once something is published, it is for the entire world to see forever. As links are created by users, the original document remains the same except for the fact that a newer version is created which would have references to the original version(s)” (NeumĂŒller 2001, 66). Xanadu would therefore replace every word processor and every kind of publication, drawing together even more closely the very concepts of reading and writing.

    Today, this description does not impress us very much, because it is not too different from the one of the World Wide Web that we use every day, but if we try to imagine reading it in the 1960s, in a world still without the Internet and personal computers, we understand why Nelson has often been called a “visionary”. After all, he himself was aware of the radicality, not only technological, of the project and of how it would reshape the entire world of information and communication.

    What will happens to existing institutions is by no mean clear: libraries, the schools, publishers, advertising, broadcast networks, government, may all try to fight these developments; which could impede progress for a while, but not indefinitely. Or they may recognize in them the new shape of their proper work” (Nelson 1990, 0/12).

    However, it may be useful to recall some of the main differences between Xanadu and WWW, often reported by Nelson himself, who summarized his criticisms thus: “ever-breaking links, links going outward only, quotes you can't follow to their origins, no version management, no rights management” (Nelson 1999).

    • WWW links are generally unidirectional and extensional, so they usually do not update automatically and do not allow to go back on one’s steps nor to verify from which pages start the links directed to the page that is being viewed. Exceptions may occur only if the manager of the linked page reciprocates with an inverse link or if additional independent software is activated. On the contrary Xanadu links are always bidirectional and automatically updated.
    • WWW pages often disappear into nothing, or, when updated, they make their previous contents disappear, overwritten by the new ones. Each different version of each Xanadu document is instead preserved and kept accessible forever.
    • In the WWW there are numerous duplications of the same pages and of their informational contents, which make it difficult to distinguish the versions and to identify their chronology and relationships. On the contrary, in Xanadu, thanks to the transclusion method (another term coined by Nelson), information units are never duplicated, but they are displayed or included wherever they are useful but without compromising the uniqueness and priority of the original source.
    • In the WWW the management of the right to access (for free or for a fee) to the informative contents is handled autonomously and independently by the respective managers with many different methods and criteria. On the contrary, in Xanadu to read or to quote a document one must pay a minimum amount directly to the holder of the corresponding copyright, through a unified system.

    [top of entry]

    3.6 The first generation of hypertext systems

    While NLS and Xanadu remained at prototype or project level, the primacy of being the first software, actually marketed, for the creation and management of hypertexts belongs to HES (Hypertext Editing System), developed between 1967 and 1969 at the Brown University by the American professor of computer science born in the Netherlands Andries van Dam (1937-) together with Ted Nelson. HES was funded by IBM, ran on an IBM 360/50 mainframe and was used, among others, by NASA to manage the documentation of Apollo project and by the editorial staffs of The New York Times and Time/Life (Nielsen 1995, 40; Barnet 2010). At the Brown University van Dam (this time without Nelson and after knowing Engelbart's work) also developed since 1968 another software running on IBM mainframes: FRESS (File Retrieval and Editing System), networked and multi-user (while HES was single-user), which was the first software to have a “undo” feature, the first text editor with no restrictions on text length, and the first hypertext system actually working that allowed bidirectional links and that provided maps to help orientation (Nielsen 1995, 40; Barnet 2010; 2013, 91-114).

    Figure 9: The HES console at Brown University (original 1969 photo by Greg Lloyd, from Barnet 2010)

    After the exploits, in the 1960s, of precursors Engelbart, Nelson and van Dam, almost nothing significant happened in terms of hypertexts during the 1970s (Berk and Devlin 1991). Between 1970 and 1979, the LISA (Library and Information Science Abstracts) bibliographic database, queried in March 2017, recorded only one document (Schuegraf 1976) with the hyper* stem in the title, however not relevant as being related to “hyperbolic term distribution” in information retrieval [3]. Among the first generation software of that time, that is exclusively textual and managed on mainframe computers (Halasz 1988), we can mention at least ZOG (a pseudo-acronym with no special meaning), developed between 1972 and 1977 at Carnegie Mellon University, which was the first to adopt the “card” model later popularized by HyperCard (Nielsen 1995, 44).

    [top of entry]

    3.7 The second generation of hypertext systems

    The turning point for the fortune of digital hypertexts is 1983, not casually coinciding with the advent of personal computers (Ceruzzi 2012; Wikipedia 2017b), which had already appeared on the market in 1977 with the Apple II, the Commodore PET 2001 and the Tandy TRS-80 but which only at the beginning of the next decade began to spread massively with the IBM's PC (1981), the Commodore 64 (1982), the Sinclair’s ZX Spectrum (1982) and the Apple’s Macintosh (1984). In the mid-1980s the first hypertextual systems of second generation were created for the new home, school and small business market: they were multimedia, equipped with user friendly interfaces and usable on personal computers (Halasz 1988), of which we list here only the most important ones, in chronological order of availability (Nielsen 1995, 44-62; NeumĂŒller 2001, 67-71).

    • 1983: KMS (Knowledge Management System), a direct descendant of ZOG, which ran on Unix workstations, allowed to view only two nodes (called “frames”) at a time and provided a “home frame” directly accessible from all other frames.
    • 1983: Hyperties, developed by Ben Shneiderman at the University of Maryland, running on PCs and on Sun workstations and providing anchors that could be activated either by clicking on them with a mouse or by using the arrow keys of the keyboard and that, before leading the user towards the target node, displayed a brief description of it within the source node.
    • 1984: Guide, the first hypertext system available for Unix (from 1984), for Macintosh (from 1986), and for Windows (from 1987), originally designed by Peter Brown at the University of Kent, equipped with four different types of links.
    • 1985: NoteCards (Halasz 1988; Ellis 1991), designed at Xerox PARC, particularly cited in the literature also because it has been well documented since the first stages of the project, running on Xerox and Sun computers, and whose nodes (called “notecards”) were rectangles of changeable sizes.
    • 1985: Intermedia, developed at Brown University, which first allowed links to be directed not only towards entire nodes but also towards target anchors contained therein and which provided two types of maps for orientation: the “web view” produced by the system and the simplified maps created by users. Despite its excellent characteristics, Intermedia had little success and was abandoned in 1991 because it ran on the uncommon Unix version of Macintosh.
    • 1987: Storyspace (Barnet 2013, 115-136), the first software specifically developed for creating and reading hypertext fiction, designed by Jay David Bolter and Michael Joyce and available for Macintosh and Windows (see section 5.1).
    • 1987: HyperCard (Ellis 1991; Kinnell and Franklin 1992; Lasar 2012; LEM Staff 2014), designed by Bill Atkinson for Apple, which was probably the most widely used hypertextual software before the WWW, also thanks to its extremely powerful and intuitive programming language (HyperTalk) and because it was distributed free of charge with every Macintosh sold between 1987 and 1992 (and then commercialized, also for Windows, until 2004).
    Figure 10: A HyperCard card (from LEM Staff 2014)
    HyperCard is strongly based on the card metaphor. It is a frame-based system like KMS but mostly based on a much smaller frame size. Most HyperCard stacks are restricted to the size of the original small Macintosh screen even if the user has a larger screen. This is to make sure that all HyperCard designs will run on all Macintosh machines, thereby ensuring a reasonably wide distribution for Hypercard products. [
] The basic node object in HyperCard is the card, and a collection of cards is called a stack. The main hypertext support is the ability to construct rectangular buttons on the screen and associate a HyperTalk program with them. This program will often just contain a single line of code written by the user in the form of a go to statement to achieve a hypertext jump. Buttons are normally activated when the user clicks on them, but one of the flexible aspects of HyperCard is that it allows actions to be taken also in the case of other events, such as when the cursor enters the rectangular region, or even when a specified time period has passed without any user activity. (Nielsen 1995, 58-59)

    In November 1987, furthermore, the first international conference on hypertexts took place, organized by ACM (Association for Computing Machinery) at the University of North Carolina (DeAndrade and Simpson 1989). Between 1980 and 1989, the LISA database, queried in March 2017, recorded 102 documents with the stem hyper* in the title, all concentrated between July 1987 and December 1989, including the extensive, thorough and still much cited introduction written by Jeff Conklin (1987) for the journal Computer of IEEE (Institute of Electrical and Electronics Engineers) [4]. The term hypertext was added to the descriptors of the bibliographic databases LISA in September 1988 and Library Literature in June 1989 (Laufer and Meyriat 1993). In the spring of 1989 the first issue of the first international academic journal entirely dedicated to the topic was published: Hypermedia, become in 1995 The New Review of Hypermedia and Multimedia (Nielsen 1995, 62-66; Cunliffe and Tudhope 2010).

    At the end of the 1980s, therefore, the concept, the term and the technology of hypertext were extremely popular and “fashionable” between both producers and users of computer products. There is therefore nothing surprising if a thirty-year-old physician in charge of designing a system to keep in order the documentation of the research institute for which he worked looked for inspiration for his project in this field, ending up with the wider, most used and most influential hypertextual system of all times.

    [top of entry]

    3.8 World Wide Web

    Tim Berners-Lee (1955-), born in London and son of two British mathematicians who met while working at the Ferranti Mark 1 computer (see section 3.4), received a first-class bachelor of arts degree in physics at Oxford in 1976. After working as an engineer, he spent in 1980 half an year as independent software consultant at CERN (European Organization for Nuclear Research) in Geneva, where he developed a card-based hypertext system called Enquire, with which he created a database of people and software applications that, however, was never used. Berners-Lee returned to CERN in 1984 with a fellowship (and, from 1987, as a staff member) to work on distributed real-time systems for scientific data acquisition and system control, re-elaborating Enquire to try to make it compatible with the Internet and with a plurality of databases and applications. The result was the incredibly fast timeline of the early years of the World Wide Web (Berners-Lee 1989; 1999; 2013; Gillies and Cailliau 2000; Connolly 2000; Castellucci 2009; Ryan 2010).

    • 1989: In March TBL (Tim Berners-Lee) submitted to the management of CERN a proposal (Berners-Lee 1989) for the creation of a hypertextual system for managing internal documentation, of which no name was provided (not even the provisional one of the time, which was Mesh). Among the titles of the paragraphs there are some worthy of note: “Losing information at CERN”, “Linked information systems”, “The problem with trees”, “The problem with keywords” and “A solution: hypertext”. The term hypertext is attributed to Nelson, who would downright have “coined [it] in the 1950s”.
    • 1990: In May TBL resubmitted his proposal, which had not yet been answered. In September TBL was licensed to buy a NeXT computer to work on the project, which, however, was not formally approved yet and was reformulated in November (Berners-Lee and Cailliau 1990) more operationally with Robert Cailliau, calling it for the first time WorldWideWeb (at that time without spaces). In November TBL created the first web server (nxoc01.cern.ch) on its NeXT and put the first web page on it, which could be viewed only by the two NeXT of CERN (including that of Cailliau) provided with the first web browser (graphical) created by himself, also called WorldWideWeb (but subsequently renamed Nexus to avoid confusion), and equipped with editing functions, thus being able to create, modify and display web pages. In December student Nicola Pellow, enrolled in the project, finished developing a second browser (textual), running on various operating systems different from the one of NeXT, thanks to which, connecting via telnet to CERN, the first web page had been potentially viewable since 20 December, from computers around the world connected to the Internet.
    • 1991: In May a web server was activated on the central CERN machines (info.cern.ch). During the same year other web servers were activated in some European physics research centers and TBL started updating a subject index of web servers that would later become The WWW Virtual Library, that is to say the oldest WWW catalogue, still active today . On 6 August (a day that is often erroneously considered to be the date of the public availability of the first web server) TBL posted a short summary of the WWW project on the alt.hypertext newsgroup, making it known to the Internet users community. In October, the first mailing lists dedicated to WWW were created. In December, TBL and Cailliau held the first presentation of WWW outside CERN (in San Antonio, Texas, during the Hypertext'91 conference) and the first web server outside Europe (at Stanford University, California) was activated. By the end of the year there were around a dozen web servers in the world.
    • 1992: Other browsers were developed inside and outside CERN, including Lynx (textual and still in use), ViolaWWW (graphical, for X Window) and Samba (graphical, the first for Macintosh). By the end of the year there were around thirty web servers in the world.
    • 1993: In April CERN declared that it would give up any royalty from anyone who wanted to create servers, browsers or any other application for WWW, thus encouraging the spread of it just two months after the announcement, by the University of Minnesota, that the free implementation of servers of the competing Gopher system (more rigid and less multimedia) would no longer be possible. In June the first browser for Windows (Cello) and the first web robot (Wanderer, used to measure the size of the WWW) were available. Between June and November, Marc Andreessen gradually released for free download from the site of NCSA (National Centre for Supercomputing Applications) at the University of Illinois various versions of the first graphical browser available for many platforms that integrated text and images in a single window (the highly successful Mosaic, whose name was initially even used by neophytes as synonymous with WWW). In December important newspapers (The Economist, The Guardian, The New York Times) published articles on WWW and Mosaic and the first web search engine (JumpStation) was created. By the end of the year there were around six hundred web servers in the world.
    • 1994: In March Marc Andreessen left NCSA and founded a company that in December began selling the direct heir of Mosaic: Netscape (that would remain the most widely used browser until it was overtaken by Microsoft Internet Explorer, in turn derived from Mosaic, in 1998). In May the first International WWW Conference was held at CERN. In July the Time magazine devoted its cover to the Internet, to a large extent due to the explosive success of the WWW. In September TBL left CERN and the following month he founded the W3C (World Wide Web Consortium) at MIT (Massachusetts Institute of Technology). By the end of the year there were about 2,500 web servers in the world, which would become about 23,500 in mid-1995, over 200,000 in mid-1996 (Margolis and Resnick 2000, 42) and more than six millions in February 2017 (Netcraft 2017).

    Ironically, while Xanadu aspired to be the universal hypertext that would include all the documents in the world, but it never even approached that objective (even because it was designed in a time when the necessary technological preconditions were still lacking), the WWW, born with much smaller ambitions [5], became in fact, in a few years, the main environment used by humankind to exchange information and spread documents, comparable to printed paper for impact and dissemination. Among the causes of the success of the WWW, besides the fact that many of the organizations involved in the early stages of the project were at least partially publicly funded (and this allowed to make its results available free of charge), one should remember the compatibility with all types of software and format, as well as the choice to renounce more sophisticated but less universal functions.

    The most important differences [between Xanadu and WWW] are the open systems nature of the WWW and its ability to be backwards compatible with legacy data. The WWW designers compromised and designed their system to work with the Internet through open standards with capabilities matching the kind of data that was available on the net at the time of the launch. These compromises ensured the success of the WWW but also hampered its ability to provide all the features one would ideally want in a hypertext system. (Nielsen 1995, 65)
    An important part of this, discussed below, is the integration of a hypertext system with existing data, so as to provide a universal system, and to achieve critical usefulness at an early stage. (Berners-Lee 1989)

    The priority always assigned by Berners-Lee to the concepts of openness, universality and inclusiveness is also witnessed by the fact that, rather than inventing yet another new information management system, he succeeded (somewhat like Johannes Gutenberg more than five centuries before) in making dialogue with each other numerous ideas and inventions already available separately, integrating them in view of a common purpose: computers, the Internet, markup languages, the client/server architecture, open standards, the concept of hypertext (not in its closed version of Enquire but in the open one of Xanadu) and the many ideas for the concrete development of digital hypertexts seen in the previous paragraphs. After all, Berners-Lee himself admitted it on several occasions:

    I happened to come along with time, and the right interest and inclination, after hypertext and the Internet had come of age. The task left to me was to marry them together. (Berners-Lee 1999, p. 6)

    Aspects of universality are present in all the constituent elements of the WWW (Salarelli 1997; W3C 2004) and contribute to making it the most open (see section 2.1) of all the hypertext systems ever made, that can be summarized like this:

    Berners-Lee essentially created a system to give every page on a computer a standard address. This standard address is called the universal resource locator and is better known by its acronym URL. Each page is accessibile via the hypertext transfer protocol (HTTP), and the page is formatted with the hypertext markup language (HTML). Each page is visible using a web browser. (Kale 2016, 57)

    More in detail, the main components of the WWW are the following.

    Servers and clients. Even before the invention of the WWW, the Internet was organized with an architecture called client/server in which a certain number of more powerful computers (called hosts), constantly on, hosts some programmes called servers which provide data or other functionalities that can be used remotely using some programmes called clients running on other computers, typically less powerful and less expensive but much more numerous, that are turned on and off depending on the needs of their users. In everyday language, also the computers that host server type software are called servers and also the computers in which client type software are running are called clients. The HTTP (Hypertext Transfer Protocol) is the protocol (i.e. the set of rules) used by web servers (where the web pages are stored) and by web clients (i.e. by browsers) to dialogue with each other.

    Pages and browsers. WWW nodes consist mainly of files (called pages) with .html or .htm extensions written or converted to HTML (Hypertext Markup Language) (W3C 2016a), which is a markup language derived from SGML (Standard Generalized Markup Language), an international standard developed between the 1960s and the 1980s (Goldfarb 2008) to allow the separation and distinction, in digital texts, of information content from the way in which such content is viewed by users. This is done thanks to some marks (i.e. tags) that identify certain sections of the text, such as a sentence or a word, indicating that they belong to a particular logical category (for example, that of the titles of primary importance), but without specifying how such belonging will be communicated to users. The task of making all titles of primary importance appear in the same way, distinguishing them both from plain text and from titles of secondary and tertiary importance, is delegated to the browser, which is the software for visualization of web pages (and sometimes also for their creation and editing, otherwise realizable with other software). Each browser interprets differently the instructions provided by HTML tags, but without making the tags visible to users. The difference in interpretation may be minimal (as happens using Internet Explorer or Google Chrome, because they both show the titles of primary importance with a bigger and thicker font, although with small graphical variations) or huge (as happens for example using an audio browser, which allows blind people to surf the WWW by transforming the texts into sounds and making different levels of headers with different voice tones or other sound signals). The two most known types of browsers are the graphical ones (currently the most popular ones, which also visualize images) and the textual ones (which only display texts, popular especially in the early years of the WWW). In order to ensure the accessibility to the WWW with all types of browsers, screens and software platforms, as well as to all users with reduced sensory capabilities, it is very important that pages are written in regular HTML — which in 2000 became an ISO (International Organization for Standardization) standard — without inventing tags interpretable only by some browsers, providing textual alternatives for visual and sound content and respecting the guidelines for accessibility developed and maintained by the W3C (W3C 2016b).

    Anchors and links. HTML tags often work in pairs: one “start tag” tells the browser the beginning of the section that should be displayed in a certain way, while a corresponding “end tag” indicates the end of that section. However some tags are isolated, such as those that order the browser to display a line break or an image. The most relevant pair of tags for the hypertextuality of the WWW is the one that orders the browser to highlight (often underlining it and changing its colour) a certain word or sentence (or image, more difficult to be highlighted) and link it to another web page, or to a specific word, sentence of image contained in the same page or in any other web page reachable on the same computer or through the Internet. By clicking with the mouse (or anyway activating) such word, sentence or image (which is the source anchor), the browser stops displaying the start page (or its section) and displays the page (or its section) that is the target anchor of the link just followed. In order to allow the browser to understand where to go to look for the target anchor, each web server hosts a number of “addresses” that are articulated through directories and subdirectories up to indicate the specific URL (Uniform Resource Locator) of each web page and, if necessary, of specific points inside of it. This URL (which is a text string of type http://www.iskoi.org/doc/filosofia6.htm#1) is placed inside the pair of tags that transforms a word into a source anchor, following this syntax:

    <A HREF="http://www.iskoi.org/doc/filosofia6.htm#1">bibliography</A>
    corresponding to an order given to the browser that could be translated into human language like this: “Dear browser, when I click with the mouse on the word ‘bibliography’, please display the web page filosofia6.htm which resides on the server http://www.iskoi.org inside the directory doc and scroll down until you find the section identified by this pair of tags: <A NAME="1"></A>”.

    Nodes that are not pages. One of the major innovations of the WWW compared to other hypertext systems is that it does not force users to use, for their documents, only one of the innumerable formats available for their encoding, or, yet worse, to produce or convert them all in yet another new format that can be used only within that particular system. On the contrary, the WWW is extremely hospitable and is almost like a hypertextual meta-system, with the ambition to become a unique platform for managing any possible digital document, but also with the humility of not imposing, for this purpose, its own unique format. This is possible because not all WWW nodes are pages written in HTML, but they can also consist of files encoded in any of the innumerable formats understandable by graphical browsers, such as JPG for images, MP3 for sounds, MP4 for movies and TXT or PDF for texts. Not all URLs, therefore, end with the name of a file with .html or .htm extension, but they can also end with a .pdf or .jpg extension. In addition, browsers can connect via the Internet not only to web servers (recognizable by URLs that start with http://) but also to most of the servers that use different (and often older) protocols compared to HTTP to provide online information and services, such as Telnet (that since 1969 has provided access to textual interfaces of remote hosts), FTP (that since 1971 has allowed to move files from clients to servers and viceversa) and Gopher, that since 1991 (although with little popularity after the mid-1990s) has offered an alternative more sober and less demanding (in terms of computing resources) than the WWW to organize online information resources, using hierarchical menus (Gihring 2016). Therefore these servers can be reached by following links that start from web pages and point to URLs that start with telnet://, ftp:// or gopher:// or, as with any other URL, by typing the full address in the specific window of the browser.

    Sites and domains. A website is a set of web pages and other nodes that can be viewed with a browser linked between them in such a way as to form a coherent information system, typically (but not necessarily) all endowed with URLs that share the part that goes from http:// to the first following slash (so, for example: www.iskoi.org), called domain. The main page of each site is called homepage and it would be a good practice that every page of the site contained an anchor linked to it.

    [top of entry]

    3.9 The third generation of hypertext systems

    The vastness and rapidity of the success of the WWW paradoxically made the hypertext concept less visible. At the theoretical level and in general, little was said about its nature and potentiality after the late 1990s [6] (Léon and Maiocchi 2002, 89-90), almost as if all energies and attention had focused, in the last twenty years, on the practical applications, technological developments and social, political and economic implications of a single hypertext system that, by synecdoche, has become synonymous with the entire category of all the hypertexts achieved, achievable or even conceivable, obscuring, among other things, the presence of hypertextual features even in non-digital documents and information systems, which not only concerns the past, but also the present and the future.

    Regarding more specifically the digital hypertext systems it is undeniable, however, that the advent of the WWW has been a fundamental watershed. If today we wanted to list the characteristics of such definable third generation systems, we could no longer follow Frank G. Halasz (1988), who, on the eve of the invention of the WWW, analysing HyperCard, listed “seven issues [to be implemented] for the next generation of hypermedia systems” (search and query, augmenting the basic “node and link” model, virtual structures for dealing with changing information, computation, versioning, support for collaborative work, extensibility and tailorability). Only some of these issues have been implemented by the WWW, but we should probably define the third generation, much more simply, as that of the hypertextual systems that exploit the Internet and are compatible with (or even are included in) the World Wide Web.

    After the success of the WWW, therefore, there are less theories about the concept of hypertext but many ideas and achievements attributable to it, although their hypertextual aspects are not always sufficiently highlighted. Among the myriads of applications, both technological and conceptual, realized and realizable by exploiting the characteristics of hypertextuality that were outlined in sections 1, 2 and 3 of this article, some particularly significant examples have been selected — though without any claim of completeness — to which sections 4 and 5 are dedicated.

    [top of entry]

    4. Technological applications


    4.1 Multimedia CD-ROMs and DVDs

    CD-ROMs (compact disc read-only memory) were marketed since 1985 to provide software and information content to the emerging personal computer market (see section 3.7). They were the evolution of the audio CD available since 1982, that in the 1990s became — along with the more capacious DVD (digital versatile disc), marketed since 1995 — the medium preferred by the cultural and entertaining industry to disseminate multimedia content that was still difficult to distribute through the slow and limited Internet connections of the time. Around 2000, with the widespread availability of speed Internet access, their luck began to diminish, declining rapidly and relentlessly in the subsequent decade (Nielsen 1995; Roush 2008; Savage and Vogel 2014; Regazzi 2015, 105-118).

    Encyclopedias, bibliographies, games, directories (of images, videos, sounds, texts, software), tourist guides, presentations of museums and other institutions, educational software (in school, university and professional fields), catalogues of products for sale, circulating on such media especially at that time (but the latest DVD release of Encyclopaedia Britannica Ultimate Reference Suite is from 2015) were often endowed with a hypertextual architecture, managed in most cases by software specially created but sometimes also by more general use systems, such as in the case of the famous game Myst (whose first version, in 1993, was a stack of HyperCard) and of CD-ROMs with HTML indexes accessible with a web browser. Their hypertextuality was, especially initially, of a closed and poorly interactive type (see section 2.1), because all nodes were internal to an unchangeable physical support, but the level of openness and interactivity was subsequently often increased, exploiting the possibility of storing on the users’ computers nodes, links and annotations created by them and the possibility of including also links to the outside, using the Internet.

    [top of entry]

    4.2 Citation indexes

    All bibliographies have a hypertextual nature, but there is one particular type of them in which hypertextuality is even more central and radical: the citation indexes. The ancestors of citation indexes date back to various biblical and juridical directories produced from the Twelfth century, but their contemporary form was established by Eugene Garfield (1925-2017), who in 1955 theorized and in 1964 began to publish bibliographies of academic papers with which it was possible to identify from which subsequent articles each of them had been cited (De Bellis 2009, 23-48). The original Citation indexes, initially published on paper by ISI (Institute for Scientific Information) and subsequently also on CD-ROMs, have been available since 1997, for a fee, on the WWW (currently under the name Web of Science, managed by the multinational firm Thomson Reuters). Since 2004 Elsevier publishing house, too, has marketed on the WWW a similar international and multidisciplinary bibliographic database, called Scopus; at present other analogue products, sometimes searchable for free like Google Scholar and often devoted only to a particular discipline or country, are also available (Meho and Yang 2007; UNESCO 2015).

    All these citation indexes, each limited to its own language, chronological, disciplinary and typological coverage, allow to find — thanks to a traditional bibliographic search by author, title, subject, date, etc. — a certain number of academic papers (and, sometimes, more narrowly, of academic books), of which bibliographic references, abstract and bibliography are provided. The set of information relating to each article constitutes a hypertextual node from which it is possible to follow links leading to other nodes corresponding to similar information relating to:

    • the articles cited in the bibliography of the starting article, published before it;
    • the articles published after the starting article that cite it in their bibliographies;
    • other articles that do not cite nor are cited by the starting article, but that are probably, to some extent, semantically related to it because they are connected to it through the network of bibliographic references; for example because they cite some of the same articles contained in the bibliography of the starting article (bibliographic coupling) or because they are cited by the same texts that cite the starting article (co-citation).

    The documents thus identified can serve as starting points for further similar explorations or can be selected or cumulated and be subjected to statistical analyses relating to the publication dates, to the journals in which they are contained, to the subjects they cover, to the institutions for which their authors work, to the number of citations received, etc. Such explorations and analyses can serve to find out useful documents for one’s studies which are difficult to identify with traditional bibliographic directories, but also to build “maps” of the influences and cultural interests of researchers, to help librarians to choose the indispensable academic journal subscriptions and to provide those who have the responsibility to hire, promote or finance researchers with some parameters, however much discussed (Hicks et al. 2015), to distinguish research with a greater impact on the scientific community.

    [top of entry]

    4.3 PageRank and relevance ranking

    The idea, made explicit by citation indexes, that the entire corpus of the world scientific literature can be considered a unique gigantic hypertext thanks to the network of the bibliographic citations that links academic publications with each other is one of the key concepts of bibliometrics, which is the discipline devoted to the quantitative study of the production and use of documents (De Bellis 2009), applicable also to the entire WWW.

    The principles of citation indexing find their echo in the dynamically reticulated structure of the web, hence the proliferation of neologisms, such as cybermetrics, netometrics, webometrics and influmetrics. (Cronin 2001, 2)

    And it is just to citation indexes that the inventors of the most successful web search engine were explicitly inspired (Brin and Page 1998) when they had to devise a criterion to order in a sensible and useful way the myriad of results that are obtained when it is used for almost any search. Among the sorting algorithms (Stock and Stock 2013, 345-360), based on numerous factors, that Sergey Brin (1973-) and Larry Page (1973-) devised for their Google and that their team continues uninterruptedly to upgrade and perfect, the oldest and most popular is PageRank, which increases the visibility of web pages that are the target of a larger number of links coming from other pages, making them appear on the first pages of Google results. Not all links, however, have the same weight to determine such sorting, as a link coming from a page that is, in turn, the target of many links contributes to the ranking more than one coming from a less popular or even isolated page. In addition, Brin and Page designed Google in such a way that not only visibility but also semantics is fed by the network of links: using such search engine, a web page may be traced by searching a specific term even if the term itself is not present on the page in question, provided that it appears in the anchors located on the external pages from which the links that reach it start (Battelle 2005; Bensman 2013).

    Google debuted in 1998 and had an immediate and growing success, also due to the effectiveness of its results sorting criteria. Since then information retrieval tools (such as library discovery tools and catalogues) contained more and more argorithms designed to create relevance rankings that try to highlight the most pertinent and highest quality results basing also on hypertextuality. This is done by exploiting the hypertextual network of links connecting the documents on which the search is made and the original intuition of Garfield (1955) that bibliographic citations (or, as seen subsequently, typologies of links equivalent to them ) can be used for the search and evaluation of information even with statistical methods, that go beyond the precise identification and recommendation of the single linked information resource (Green 2000; Bensman 2013; Behnert 2015).

    [top of entry]

    4.4 OpenURL and reference linking

    One of the main problems of hypertexts is that the extensional links (see section 2.4), due to their static nature, tend to become quickly broken links, that is that they no longer lead to the node they were originally addressed to, which in the meantime has been deleted or move, as all WWW navigators that too often come across pages with the classic “404 not found” message know well. One of the possible solutions to this problem is to transform, whenever possible, the extensional link into an intensional one (see section 2.4), which, thanks to its innate dinamicity, automatically locates (only at the exact moment in which it is activated) the address, always updated and working, towards which to go. And this is the underlying approach to OpenURL, a framework for generating automatic links based on bibliographic metadata that was invented in 1999 by Herbert van de Sompel (1957-) and that became an ANSI/NISO (American National Standards Institute / National Information Standards Organization) standard in 2005.

    The software applications adopting the OpenURL standard (called link resolvers), increasingly popular in academic libraries, allow the user that has identified, by searching the library catalogue or a bibliographic database, a document of his/her interest, to access directly from the bibliographic record the corresponding digital fulltext or additional related information and services by activating a special anchor automatically inserted by the link resolver in the record itself. Any activation of the anchor makes the link resolver generate a link that, using the syntax required by the OpenURL standard and drawing from bibliographic metadata created by librarians or provided by publishers and booksellers, leads the user towards the URL where, in that moment, the full text of the document or the information needed to get it (such as those relating to interlibrary loan services) are. The automatic generation of the link takes into account not only metadata related to the document location, but also those related to user's access rights, with no frustrating links to fulltexts that he/she can not view, but exclusively those towards the documents actually available for free or thanks to subscriptions made by his/her library. In this way the identification of the (objective) location of the document and the (subjective) rights of the user to benefit from it, instead of having to be carried out each time ex novo, are both automated, extrapolating them from the metadata that had already been produced and that then it would be economically foolish not to use or to create again (Van de Sompel and Beit-Arie 2001a; Apps and MacIntyre 2006; Dahl 2014).

    Such functionality (called reference linking, context-sensitive linking or dynamic linking) allows library users to make the most of the hypertextual capabilities of bibliographic research tools, enabling them to navigate freely and across, for example, among the bibliographic description of an article found in a database, the fulltext of the article itself contained in an e-journal and the location in the library catalogue of the paper journal cited in the bibliography of the same article. A similar fluidification could be made by reference linking also in areas other than the bibliographic one, because the OpenURL framework was conceived from the beginning (Van de Sompel and Beit-Arie 2001b) as generalizable and extensible to other sectors, although at present there are few concrete developments in this direction.

    [top of entry]

    4.5 Semantic web and linked data

    The label semantic web, coined by Berners-Lee in 2001, can embrace various studies and projects aimed at increasing the quantity, quality, coherence, univocity, standardization and interoperability of metadata that are present in the WWW (Berners-Lee, Hendler and Lassila 2001; Shadbolt, Hall and Berners-Lee 2006; Bizer, Heath and Berners-Lee 2009). Among the many and complex issues of this ambitious and probably utopian (Marshall and Shipman 2003) vision, there is a need to increase the granularity (see section 2.1) of the WWW information contents so as to make them more easily comprehensible, aggregable and reusable by computer applications. In this regard, an obsolete “Web of documents” and an amazing “Web of data” are sometimes opposed (Naik and Shivalingaiah 2008), perhaps with excessive emphasis and schematization. Nevertheless, it is difficult to imagine (both in the past and in the future) any processes of production, communication and use of knowledge that exclude even only one of the two fundamental elements of the organization and management of information represented by data and documents (Salarelli 2014).

    However, it is true that a greater granularization of digital documents (which are often still as rigid and monolithic as the traditional ones due to cultural inertia and an excessive protection of intellectual property) could greatly increase their effectiveness and their possibility of being used both by software applications and by human beings. Yet, this does not necessarily imply a forced “liquefaction” of all kinds of information in an indistinct dust of data that could be incessantly aggregated in infinite different ways, in which the systemic and authorial instances (guaranteed only by documentary structures with sufficient dimension, architecture and persistence) completely disappear. For each coherent set of information, the ideal level of granularity is the one that maximizes the possibilities of different reaggregations, of contents reusability in different contexts and of exploration of the nodes along diversified paths without compromising their readability even as unitary documents, distinct from the others; but finding such a balance is by no means easy. It is a decision that belongs to the tasks of — and that needs the skills of — those good writers of hypertexts that are able to reduce the probabilities of disorientation (see section 2.8) and probably it is a decision difficult to delegate to a machine or to an abstract rule.

    In any case, whether data replace documents or they are, more sensitively, added — if and when appropriate (Bizer, Heath and Berners-Lee 2009, 4; Salarelli 2014, 282) — as an additional layer to be laid over the documents in order to organize them so that they can be interpreted and used automatically, markup languages like HTML (structured and formalized but still aimed at a fruition by human beings, able to tolerate a greater degree of linguistic ambiguity) are no longer sufficient. Linked data are a series of suggestions (outlined by Berners-Lee in 2006 and subsequently refined, but without becoming a real unitary standard) to publish and connect with each other on the WWW uniquely defined data so that they can be interpreted and exchanged automatically by machines (Berners-Lee 2006; Konstantinou and Spanos 2015; Jones and Seikel 2016).

    To achieve this goal, various formats and languages are used, among which the Resource Description Framework (RDF) has a fundamental role. RDF has been developed by the W3C since 1997 (Heery 1998; W3C 2014) to describe any type of entity by using statements composed of three parts (and therefore also called triples) corresponding respectively to the entity itself (subject), to one of its aspects, properties or actions (predicate) and to the specific value (object) that the predicate assumes each time, as in this example: Leonardo da Vinci (subject) is the author (predicate) of Mona Lisa (object). Using this framework, it is possible to create more or less large and updated datasets of linked data, called LOD (linked open data) when they are freely available and usable by anyone on the WWW (Bauer and Kaltenböck 2016). These data are called “linked” because it is fundamental for their semantic web effectiveness that they are densely connected to each other by typed links (see section 2.4) both within each dataset and between a dataset and the others. The so-called interlinking, i.e. the creation (automatic or manual) of links that connect to each other data belonging to different datasets, merges together the datasets involved, creating increasingly large and complex hypertexts. Therefore, Bizer, Heath and Berners-Lee (2009) are wrong when they call “hypertext Web” only the traditional one, which consists of HTML documents, and when they oppose it to the “semantic Web” which consists of linked data, because the latter, too, is in fact a hypertext, even more multilinear and granular than the traditional one.

    [top of entry]

    4.6 Social networks

    The term social networks, more appropriately used in sociological studies to indicate a set of people or institutions interacting with each other using any method and tool (Scott and Carrington 2011), refers in the current common language especially to websites such as Facebook or LinkedIn, more precisely definable as social network sites, social networking services or social media, which facilitate online communication and aggregation. Although the sociological analysis of networks can also be extended to objects different from people and institutions — including various typologies of documents — and each element of such networks is also defined by sociologists as a “node” (Marin and Wellman 2011, 11-12), in this paragraph we will refer to social networks meant exclusively as websites.

    We define social network sites as web-based services that allow individuals to (1) construct a public or semi-public profile within a bounded system, (2) articulate a list of other users with whom they share a connection, and (3) view and traverse their list of connections and those made by others within the system. The nature and nomenclature of these connections may vary from site to site. (Boyd and Ellison 2007, 211)

    Social networks, whose origins can be traced back to Internet communication tools prior to the WWW, such as mailing lists, newsgroups and bulletin board services, began to develop on the Web already in its early years (Geocities dates back to 1994, Tripod to 1995), but it is only towards the end of the 1990s that they began to take their present shape, popularized in the following decade by Friendster (since 2002), MySpace and LinkedIn (since 2003) and Facebook (since 2004), which is currently by far the most popular. Some of them are specialized in particular typologies of social contacts (such as those relating to job search and offer or to the exchange of academic papers or images) while others have a more generalist approach. All allow users to easily create their own standardized profile, to link it to other users’ or groups’ profiles, to explore more or less profoundly the profiles by following their mutual connections and to make visible to a more or less broader set of users the information contents that have been created (or, more often, found or received) by each of the members of the platform (Fuchs 2014; Meikle 2016).

    Even only from this brief description the many aspects of hypertextuality of social networks (Eisenlauer 2013, 99-110; Sabharwal 2015, 127-133) evidently emerge, which are not trivially reducible to the fact that they are websites and which involve all the characteristics in which hypertextuality is articulated (see section 2.1). Granularity is both extranodal (each user or group has its own profile) and intranodal (each profile is articulated into sections); the possible paths between profiles are manifold, ensuring multilinearity; new profiles can be added indefinitely, ensuring integrability; each user can decide how and when to enrich his/her profile and to which other profiles to link it, safeguarding interactivity; the information contents inserted in the user’s profile or exchanged with other users can, moreover, be multimedia.

    However, in other respects, social networks give up some important prerogatives of hypertexts (Eisenlauer 2013, 99-110). The architecture of the profiles and the modalities of creating reciprocal links are often heavily encoded, making original or personalized choices difficult. In particular, links to the WWW external to the specific social network are often discouraged or, at the very least, the links that remain within it are strongly encouraged and facilitated, as is, after all, understandable from the point of view of the commercial interests of the site manager. The freedom to choose paths is often reduced by the strong pressure to follow those that are constantly recommended by the software and by other users. The information contents added by users are often forcedly channelled into unilinear or hierarchical structures and those available also on other websites are sometimes duplicated or embedded, visualizing them so as to conceal the “alien” source as much as possible. The production of truly free, original and articulated discourses and judgments is discouraged by the constant pressure to generate semiautomatically, with a simple click, simplistic and stereotyped judgments, reports of what has just been seen or acquired, responses to polls, confirmations of invitation, acceptance of link exchange requests, etc. The interoperability between social networks is scarce and it is almost impossible to reuse in one of them the contents and structures that were produced within another.

    The overall result of this double push, on the one hand towards a strong technical hypertextuality and on the other to avoid the substantial aspects of freedom and openness that should instead be deeply rooted in the hypertextuality itself, produces social networks that are undoubtedly hypertexs, but half-closed and rigid (Eisenlauer 2013, 102; Ridi 2016). The radical simplification of the profiles management procedures, which on the one hand allows more and more people to have their own presence on the WWW, is paid on the other with a reduction of the freedom to produce and use information. On the other hand the social network managers have every interest in keeping their flock as much as possible inside a fence, where it is easier to expose it to advertising and to obtain commercially useful data.

    [top of entry]

    5. Conceptual applications


    5.1 Hypertextuality of literature and games

    During the 1990s the application of hypertextual technologies to the production of literary texts, both narrative and poetic, had a certain popularity, to tell the truth more among critics than among readers. One of the forerunners was the American writer and critic Michael Joyce with his novel Afternoon, a story, used in 1987 as a demonstration for the launch of Storyspace software (see section 3.7) and subsequently marketed first on floppy disc and then on CD-ROM. Despite the initial expectations, this kind of products did not spread widely either among literary authors or consumers, although there are still interesting experimentations both on the WWW and by specialized publishers, including Eastgate Systems, the producer of Storyspace, which is still distributed in its Macintosh version (Bolter 2001; Landow 2006; Kitzmann 2006, 33-43; Johnson 2013).

    Some literary critics, including in particular Jay David Bolter (2001) and George P. Landow (2006), traced also in non-digital literary products some elements of hypertextuality, sometimes more explicit (as in the novel Rayuela published in 1963 by Argentine writer Julio Cortázar, whose chapters can be read following two different paths suggested by the author) and sometimes less (as in James Joyce's Ulysses and in various works by Jorge Luis Borges and Italo Calvino). These critics also theorized that digital hypertexts (including the non explicitly literary ones) make stronger and more evident a characteristic which is present also in traditional texts (and other media), that is to say the creative role of the reader in the interpretation and contextualization of documents (Eco 1979). This latter consideration can be radicalized to the point of theorizing — in the wake of Roland Barthes and Michel Foucault (Landow 2006, 125-143) — the fusion of the figures of the literary author and reader or it can be interpreted as a more moderate and reasonable signalling that, even in the non literary sphere, “in a networked hypertext environment [...] it will become increasingly difficult to separate the activity of reading from that of writing, since both will consist mainly of some manipulation of text on the network” (Atkinson 1993, 209).

    In the field of electronic games, the greatest consonance with the themes of hypertextuality can be found in so-called interactive fiction (or text adventure), not too dissimilar from the literary hypertexts mentioned at the beginning of this paragraph, which was one of the first types of computer games and whose first example was the Colossal cave adventure, distributed since 1975. These single-player role-playing games initially took place in exclusively textual environments and even when they later became richer in multimedia elements, text exchange remained the main method of interacting with the software, communicating, for example, to the system the decisions made on the path one intends to follow and receiving in return a description of the environment that was reached. Very similar to interactive fiction, but multiplayer, are MUD (multi-user dungeons or multi-user dimensions) software applications developed since the second half of the 1970s and applied also to non-play contexts as well as the applications — their direct successors — for managing online virtual worlds like Second life (Kitzmann 2006, 54-71; Kaplan and Haenlein 2009).

    As “gaming, like hypertext, is founded on forms of interactivity and nonlinearity” (Kitzmann 2006, 54), elements of hypertextuality are, however, found also in computer games of other typologies (like those of the “sandbox” type such as The Sims and Minecraft, where there is no predetermined binding goal but players can freely develop simulations of reality or their fantasies with the available elements, as well as any “games within the game”) and in traditional games like chess and go (in which each move opens different scenarios) or gamebooks (printed books that allow the reader to participate in the story by making choices), which constitute a kind of conjunction ring between the world of hypertextual literature and the world of hypertextual games.

    [top of entry]

    5.2 Hypertextuality of knowledge organization systems

    → Knowledge organization systems (KOS) are “all types of schemes for organizing information and promoting knowledge management” (Hodge 2000, 3), that is to say “knowledge representations based on concepts and with different degrees of relationships among them” (Souza, Tudhope and Almeida 2012, 181) or “tools used to summarize knowledge contained in information resources into short statements that can be used to index and retrieve them within large collections” (Gnoli 2015, 51). Their multiple typologies (Hodge 2000; Zeng 2008; Bawden and Robinson 2012, 105-130; Souza, Tudhope and Almeida 2012; Stock and Stock 2013, 633-731; Smiraglia 2014, 4 and 51-83; Gnoli 2015; Hjþrland 2015; Mazzocchi 2017) were classified by Souza, Tudhope and Almeida (2012) into four groups: (1) unstructured texts (including, for example, abstracts); (2) term and/or concept lists (including dictionaries and authors lists); (3) concept and relationship structures (including classification schemes, subject headings, taxonomies, thesauri and ontologies); (4) concept, relationship and layout structures (including concept maps and reference models). None of the lists of typologies and examples of KOSs just mentioned include — correctly — hypertexts [7], but that does not mean that KOSs and hypertextuality are not deeply correlated.

    “It is generally recognized in knowledge organization that concepts are the building blocks of KOS” (Hjþrland 2015, 122), but concepts cannot be concretely incorporated into KOSs without being translated into words, numerals, symbols, images, colours or other “representations” (Souza, Tudhope and Almeida 2012, 181) or “short statements” (Gnoli 2015, 51), linked with each other “with different degrees of relationships” (Souza, Tudhope and Almeida 2012, 181) and that therefore, in the light of the what has been illustrated in sections 1 and 2 of this article, can be considered as the nodes of a hypertext. Hypertexts, therefore, are not a particular type of KOS alternative to the others, but, on the contrary, all KOSs can be considered hypertexts whose nodes are constituted not by primary documents but by metadata. Each of these metadata is, on one side, linked, in more or less articulated and mediated manner, with the other metadata of the same KOS and, on the other hand, it can be linked to all the primary documents that the users of that KOS will consider to be sensibly represented by it. Thus each KOS is linked to the primary documents to which it is applied, merging with them to form a larger hypertext.

    Hypertextuality is therefore a characteristic which all KOSs are, to a greater or lesser extent, endowed with, and it is a conceptual model that can be useful to analyse and classify them, similar to what can be done with primary documents (see section 2.5). For example, it is evident that an abstract, i.e. the “summary of the contents of a document” (Stevenson 1997, 1) expressed in natural language by one or more sentences conceived to be read in their entirety, is endowed with little granularity, little multilinearity, minimal integrability, scarce interactivity and no multimediality, and can therefore be considered as an example of hypotext (see section 2.2). “The complex networked semantic structures of faceted classifications and ontologies” (Gnoli 2015, 61) are at the opposite end of the hypertextual spectrum, while various types of thesauri and hierarchical classifications can be distributed in an intermediate range. Hypertext theory and graph theory (see section 2.3) can, in particular, be applied to problems related to crosswalks between KOSs, i.e. the methods for creating connections, concordances and translations among heterogeneous KOSs in order to increase their interoperability (Stock and Stock 2013, 719-731) and in FCA (formal concept analysis), which produces ontologies using lattices (Formica 2006; Sowa 2016). Faceted KOSs are often considered (Duncan 1999; Ellis and Vasconcelos 1999; Lima and Maculan 2015) particularly suited, due to their flexibility and multidimensionality (Gatto 2006), to be represented as hypertexts and to be used in the classification of information contents of hypertextual systems (Marino 2004), also because they share with hypertexts the ability to allow “the inclusion of new concepts, without implying a structural change of the system” (Lima and Maculan 2015, 133).

    As regards hypertexts as primary documents, that is not as tools for organizing knowledge but as sources of knowledge to be organized, one can surely answer affirmatively, at least within such limits, to the question put forward by Claudio Gnoli (2008, 137): “Can KO principles be extended to a broader scope, including hypertexts, multimedia, museum objects, and monuments?”. Hypertexts, if understood in a broad sense, do in fact include many types of documents (available today in both digital and non-digital format), to which traditionally various forms of KO principles and systems have been applied for centuries in libraries, such as reference works and collections of academic journals. If, on the other hand, we focus only on digital hypertexts and we further narrow the field to those that are not similar to traditional types of documents, such as personal and institutional websites or blogs and social networks, then it is definitely worth asking if and to what extent it is useful and sustainable for society to invest resources in their cataloguing and conservation (Masanùs 2006; Niu 2012), but, once it has been clarified that this is the case, at least to a certain extent, there is no reason why principles and systems developed to organize knowledge transmitted from any container or channel cannot be applied also to such objects.

    [top of entry]

    5.3 Hypertextuality of memory institutions and of the universe

    Since all documents (see sections 2.1 and 2.5) and all KOSs (see section 5.2) are hypertexts and since even sets of documents can be considered hypertexts (see section 1) and hypertexts can merge together by sharing some of their nodes (see sections 4.5 and 5.2), it follows that also libraries, especially but not exclusively digital libraries (and probably, with few accommodations, even other memory institutions such as archives and museums), are hypertexts, because (Ridi 1996; 2007; 2008; 2016):

    • libraries are granular, because they contain (or otherwise allow access to) different typologies of autonomous documents, which, in turn, are hypertexts and among which the category — particularly hypertextual — of reference works such as bibliographies, directories, dictionaries, encyclopedias, etc. has a central role;
    • libraries are multilinear, because it is possible to move among these documents following a plurality of paths, some of which are recommended by publishers, distributors, bibliographers and librarians and others are created by users, individually or in collaboration with each other;
    • libraries are integrable, because they are involved in a process of continuous expansion and replacement, both on the documents and the users fronts;
    • libraries are interactive, because (especially in a digital environment) their tools for browsing, orientation and finding (and the retrieved documents themselves, especially if digital) are customizable;
    • libraries are multimedia, because their documents belong to different media, and are also hypermedia, because (especially in a digital environment) at least a part of the tools for browsing, orientation and finding used in libraries is based on spatiality and on iconic interfaces.

    Ridi (2007, 13-41) also formulated a “hypertextual docuverse theory” (Gnoli and Ridi 2014, 447-450) according to which, since: (a) everything is (potentially) a document (Buckland 1997); (b) every document is (potentially) hypertextual, it follows — regarding docuverse (Nelson 1990), i.e. the entirety of existing documents — that: (c) universe and docuverse (potentially) coincide; (d) both universe and docuverse can (potentially) be read as hypertexts. Both this theory and, more generally, the entire hypertextual approach to documents analysis and management can be seen as applications to information phenomena of network science (Barabási 2002; Buchanan 2002; Caldarelli and Catanzaro 2012; Barabási 2016). Based on graph theory (see section 2.3) and on statistics, this discipline studies complex social (see section 4.6), economic, biological, ecological, epidemiological, physical, computer, linguistic, etc. phenomena trying to reduce them to systems formed by nodes and links.

    [top of entry]

    6. Conclusions

    The main conclusions of the article can be summarized as follows:

    • rather than opposing hypertexts to non-hypertexts, it is more sensible and useful to understand what hypertextuality is and analyze individual documents and their typologies to see to what extent this feature is present in them;
    • elements of hypertextuality are also present in non-digital documents, and the World Wide Web, despite being the wider and most influential hypertext of all times, is not the only digital hypertext ever existed or currently existing;
    • hypertexts were not "invented" either by Ted Nelson or by Tim Berners-Lee, although both are (along with others, including Vannevar Bush, Doug Engelbart and Andries van Dam) key figures in the history of their development and their theorization;
    • although recently hypertexts are not a much-discussed topic in both scientific and popular literature, hypertextuality continues to be a fundamental characteristic of many of the documents that are used daily in all areas of human activity;
    • understanding and applying the principles of hypertextuality can bring considerable benefits, both theoretical and practical, in a variety of disciplinary and professional areas, including → library and information science and → knowledge organization.

    [top of entry]

    Acknowledgments

    Translation from Italian to English by Juliana Mazzocchi. URLs last checked in November 2017. Thanks to Niels Ole Finnemann, Claudio Gnoli, Birger HjĂžrland, Juliana Mazzocchi and an anonymous reviewer for their comments and suggestions.

    [top of entry]

    Endnotes

    1. GĂ©rard Genette provided the following definition: “Hypertextuality refers to any relationship uniting a text B (which I shall call the hypertext) to an earlier text A (I shall, of course, call it the hypotext) upon which it is grafted in a manner that is not that of commentary” (Genette 1982, English translation 1997, 5). Special typologies of hypertexts, understood in this sense, are for example parodies, translations and sequels. Other issues of semiotics and literary criticism that we will not discuss (although they are related to hypertextuality) are the ones that Genette (1982, English translation 1997, 1-7) defines as further forms — in addition to hypertextuality — of transtextuality, i.e. of anything that relates, overtly or covertly, a text with other texts: intertextuality, architextuality, metatextuality and paratextuality. Neither will we discuss here other hypertextual issues and points of view related to disciplines and subjects such as logic, rhetoric and philosophy (Kolb 1994; Roncaglia 1999), pedagogy and e-learning (Burbules & Callister 1996; Hinesley 2007), psychology and cognitive sciences (McKnight, Dillon & Richardson 1993; DeStefano and LeFevre 2007).

    2. As noted by Mark Bernstein (1991), disorientation is often indistinguishable from bad writing.

    3. A similar and contemporary query of the LISTA (Library, Information Science & Technology Abstracts) database retrieved 9 documents, of which only one (Schuyler 1975) was actually related to hypertexts.

    4. A similar and contemporary query of the LISTA database retrieved 122 documents, among which none of the ones published before 1985 related to hypertexts.

    5. As evidenced by this sentence, with which the first proposal by Berners-Lee to CERN opened: “This proposal concerns the management of general information about accelerators and experiments at CERN. It discusses the problems of loss of information about complex evolving systems and derives a solution based on a distributed hypertext system” (Berners-Lee 1989).

    6. Bibliographic database LISA, queried in March 2017, recorded between 1990 and 1999 715 documents with the stem hyper* in the title, with a fairly homogeneous annual distribution but with a peak between 1993 and 1995 (1990: 69, 1991: 62, 1992: 56, 1993: 105, 1994: 98, 1995: 92, 1996: 67, 1997: 54, 1998: 63, 1999: 49) and, between 2000 and 2009, 236 documents with the same characteristics, with a clear decreasing trend from the beginning towards the end of the decade (2000: 34, 2001: 31, 2002: 33, 2003: 34, 2004: 25, 2005: 25, 2006: 16, 2007: 13, 2008: 11, 2009: 14) confirmed in the first half of the following decade (2010: 21, 2011: 15, 2012: 9, 2013: 8, 2014: 7, 2015: 7, 2016: 7). A similar and contemporary query of the LISTA database identified 488 documents published between 1990 and 1999 and 299 published between 2000 and 2009. A previous research (Ridi 2016), carried out in January 2016 choosing 1994 as a symbolic watershed as the year of the success of the WWW (see chronology in section 3.8), showed that LISA indexed more documents with the stem hypertext* in the title in the decade 1985-1994 (298 items) than in the following decade 1995-2004 (212 items); in the subsequent decade (2005-2014) the number was reduced even more impressively to just 52 items and repeating the query with the same stem, but in the subject field, the results were equally decreasing, though with less steepness: 421 items between 1985 and 1994, 299 items between 1995 and 2004, 94 items between 2005 e 2014.

    7. Souza, Tudhope and Almeida (2012, 181-183) also point out that although they have tried to be as inclusive as possible, they have excluded standard formats as HTML because they “are tools to represent KOS”.

    [top of entry]

    References

    Aarseth, Espen J. 1994. “Nonlinearity and literary theory”. In Hyper / Text / Theory (51-86), edited by George P. Landow. Baltimore, London: The Johns Hopkins University Press.

    Agosti, Maristella and Crestani, Fabio and Melucci, Massimo. 1997. “On the use of information retrieval techniques for the automatic construction of hypertext”. Information Processing and Management 33, no. 2: 133-144. Also available at https://pdfs.semanticscholar.org/fe04/c3bc206cd1be5e9ccf82bdc83ff0d1e6cafb.pdf.

    Agosti, Maristella and Melucci, Massimo. 2000. “Information retrieval techniques for the automatic construction of hypertext”. In Encyclopedia of library and information sciences (vol. 66, suppl. 29: 139-172), executive editor Allen Kent, administrative editor Carolyn M. Hall. New York, Basel: Marcel Dekker.

    Agosti, Maristella and Smeaton, Alan F. 1996. Information retrieval and hypertext, edited by M. Agosti and A. F. Smeaton. Boston, London, Dordrecht: Kluwer Academic Publishers.

    Alberani, Vilma. 2008. Manuale/dizionario della biblioteconomia e delle scienze dell’informazione. Parte I: indicizzazione e recupero semantico dell’informazione, a cura di Vilma Alberani con la collaborazione di Sofia Enrica Amicarella, Annarita Barbaro, Monica Zedda. Roma: Associazione Italiana Biblioteche.

    Antinucci, Francesco. 1993. “Summa hypermedialis (per una teoria dell'ipermedia)”. Sistemi Intelligenti 5, no. 2: 227-257.

    Apps, Ann and MacIntyre, Ross. 2006. “Why OpenURL?”. D-Lib Magazine 12, no. 5, http://www.dlib.org/dlib/may06/apps/05apps.html.

    Atkinson, Ross. 1993. “Networks, hypertext, and academic information services: some longer-range implications”. College and Research Libraries 54, no. 3: 199-215.

    Bar-Ilan, Judit. 2005. “What do we know about links and linking? A Framework for studying links in academic environments”. Information Processing and Management 41, no. 4: 973-986.

    BarabĂĄsi, Albert-LĂĄszlĂł. 2002. Linked: the new science of networks. Cambridge: Perseus.

    BarabĂĄsi, Albert-LĂĄszlĂł. 2016. Network science. Cambridge: Cambridge University Press. Also available at http://barabasi.com/book/network-science.

    Barnet, Belinda. 2010. “Crafting the user-centered document interface: the Hypertext Editing System (HES) and the File Retrieval and Editing System (FRESS)”. Digital Humanities Quarterly 4, no. 1, http://www.digitalhumanities.org/dhq/vol/4/1/000081/000081.html.

    Barnet, Belinda. 2013. Memory machines: the evolution of hypertext, with a foreword by Stuart Moulthrop. London: Anthem Press.

    Bates, Marcia J. 2007. “What is browsing—really? A model drawing from behavioural science research”. Information Research 12, no. 4, paper 330, http://InformationR.net/ir/12-4/paper330.html.

    Battelle, John. 2005. The search: how Google and its rivals rewrote the rules of business and transformed our culture. London: Portfolio.

    Bauer, Florian and Kaltenböck, Martin. 2016. Linked open data: the essentials: a quick start guide for decision makers. 2nd ed. Vienna: Edition Mono/Monochrom. Also available at http://edition-mono.at/fileadmin/user_upload/LOD-TheEssentials2016.pdf.

    Bawden, David and Robinson, Lyn. 2012. Introduction to information science. London: Facet.

    Behnert, Christiane. 2015. Relevance ranking: state of the art in web search and library catalogs. Hamburg University of Applied Sciences, http://www.librank.info/wp-content/uploads/2015/03/LibRank_Technical_Report.pdf.

    Bensman, Stephen J. 2013. “Eugene Garfield, Francis Narin, and PageRank: the theoretical bases of the Google search engine”. arXiv.org 13 December 2013, https://arxiv.org/abs/1312.3872.

    Berk, Emily and Devlin, Joseph. 1991. “A hypertext timeline”. In Hypertext / hypermedia handbook (13-16), edited by Emily Berk and Joseph Devlin. New York: McGraw-Hill.

    Bernard, Michael and Hull, Spring and Drake, Denise. 2001. “Where should you put the links? A comparison of four locations”. Wichita State University. Software Usability Research Laboratory. Usability News July 9, 2001, http://usabilitynews.org/where-should-you-put-the-links-a-comparison-of-four-locations/ (not online anymore), also available in Research Gate, https://www.researchgate.net/publication/255612714_Where_Should_You_Put_the_Links_A_Comparison_of_Four_Locations .

    Berners-Lee, Tim. 1989. Information management: a proposal. CERN, March 1989. Also available at http://www.w3.org/History/1989/proposal.html.

    Berners-Lee, Tim. 1999. Weaving the Web: the original design and ultimate destiny of the World Wide Web by its inventor, with Mark Fischetti. New York: HarperCollins.

    Berners-Lee, Tim. 2006. Linked data. W3C, 2006-07-27, last change 2009-06-18, http://www.w3.org/DesignIssues/LinkedData.html.

    Berners-Lee, Tim. 2013. Longer biography. W3C, http://www.w3.org/People/Berners-Lee/Longer.html.

    Berners-Lee, Tim and Cailliau, Robert. 1990. WorldWideWeb: proposal for a HyperText project. CERN, 12 November 1990. Also available at http://www.w3.org/Proposal.html.

    Berners-Lee, Tim and Hendler, James and Lassila, Ora. 2001. “The semantic Web: a new form of Web content that is meaningful to computers will unleash a revolution of new possibilities”. Scientific American 284, no. 5: 34-43.

    Bernstein, Mark. 1991. “Deeply intertwingled hypertext: the navigation problem reconsidered”. Technical Communication 38, no. 1: 41-47.

    Bernstein, Mark. 1998. “Patterns of hypertext”. In Hypertext 98: proceedings of the ninth ACM conference on hypertext and hypermedia, June 20-24, 1998, Pittsburgh, PA (21-29), edited by Kaj Gronbaek, Elli Mylonas and Frank M. Shipman III. New York: ACM. Also available at http://students.ecs.soton.ac.uk/mwra1g13/msc/comp6045/pdfs/Bernstein%20-%20Patterns%20of%20Hypertext.pdf.

    Bizer, Christian and Heath, Tom and Berners-Lee, Tim. 2009. “Linked data: the story so far”. International Journal on Semantic Web and Information Systems 5, no. 3: 1-22. Preprint available at https://eprints.soton.ac.uk/271285/1/bizer-heath-berners-lee-ijswis-linked-data.pdf.

    Blustein, James and Staveley, Mark S. 2001. “Methods of generating and evaluating hypertext”. Annual Review of information Science and Technology 35: 299-335.

    Bolter, Jay David. 2001. Writing space: computer, hypertext, and the remediation of print. 2nd ed. Mahwah: Lawrence Erlbaum.

    Botafogo, Rodrigo A. and Rivlin, Ehud and Shneiderman, Ben. 1992. “Structural analysis of hypertexts: identifying hierarchies and useful metrics”. ACM Transactions on Information Systems 10, no. 2: 142-180. Also available at https://www.cs.umd.edu/users/ben/papers/Botafogo1992Structural.pdf.

    Boyd, Danah and Ellison, Nicole. 2007. “Social network sites: definition, history, and scholarship”. Journal of Computer-mediated Communication 13, no. 1: 210-230, http://onlinelibrary.wiley.com/doi/10.1111/j.1083-6101.2007.00393.x/full.

    Brin, Sergey and Page, Lawrence. 1998. “The anatomy of a large-scale hypertextual Web search engine”. Computer Networks and ISDN Systems 30, no. 1-7: 107-117. Preprint available at http://ilpubs.stanford.edu:8090/361/1/1998-8.pdf.

    Brockmann, R. John and Horton, William and Brock, Kevin. 1989. “From database to hypertext via electronic publishing: an information odyssey”. In The society of text: hypertext, hypermedia, and the social construction of information (162-205), edited by Edward Barrett, Cambridge, London: MIT.

    Brown, Peter J. 2002. “From information retrieval to hypertext linking”. The New Review of Hypermedia and Multimedia 8, no. 1: 231-255.

    Buchanan, Mark. 2002. Nexus: small worlds and the groundbreaking science of networks. New York, London: W. W. Norton.

    Buckland, Michael K. 1997. “What is a ‘document’?”. Journal of the American Society for Information Science 48, no. 9: 804-809. Preprint available at http://people.ischool.berkeley.edu/~buckland/whatdoc.html.

    Buckland, Michael K. 2016. “Document theory”. In ISKO encyclopedia of knowledge organization, editor-in-chief Birger Hjþrland, co-editor and web editor Claudio Gnoli, ISKO, 2016-. Version 1.0, https://www.isko.org/cyclo/document.

    Burbules, Nicholas Constantine and Callister, Thomas A. Jr., “Knowledge at the crossroads: some alternative futures of hypertext learning environments”. Educational Theory 46, no. 1: 23-50. Also available at http://faculty.education.illinois.edu/burbules/papers/crossroads.1.html.

    Bush, Vannevar. 1945. “As we may think”. Atlantic Monthly 176, no. 1: 101-108; also available at http://www.ps.uni-saarland.de/~duchier/pub/vbush/vbush.txt (txt version prepared by Denys Duchier, April 1994) and http://dougengelbart.org/archives/artifacts/annotated-As-We-May-Think-withcredits.pdf (original version annotated by Douglas Engelbart, probably circa 1962). Condensed version with illustrations reprinted in Life 19 (1945), no. 11: 112-114; 116; 121; 123-124; also available at http://totalrecallbook.com/storage/As We May Think%20Vannevar%20Bush%20450910.pdf.

    Caldarelli, Guido and Catanzaro, Michele. 2012. Networks: a very short introduction. Oxford: Oxford University Press.

    Carter, Locke. 2003. “Argument in hypertext: writing strategies and the problem of order in a nonsequential world”. Computers and Composition 20, no. 1: 3-22.

    Castellucci, Paola. 2009. Dall’ipertesto al Web: storia culturale dell’informatica. Roma, Bari: Laterza.

    CERN. 1992. “Hypertext terms”. In World wide web, http://info.cern.ch/hypertext/WWW/Terms.html.

    Ceruzzi, Paul E. 2012. Computing: a concise history. Cambridge, London: MIT Press.

    Cicconi, Sergio. 1999. “Hypertextuality”. In Mediapolis: aspects of texts, hypertexts, and multimedia communication (21-43), edited by Sam Inkinen. Berlin, New York: Walter de Gruyter. Also available at http://www.cisenet.com/cisenet/writing/essays/Hypertextuality.pdf.

    Conklin, Jeff. 1987. “Hypertext: an introduction and survey”. Computer 20, no. 9: 17-41. Also available at http://www.ics.uci.edu/~andre/informatics223s2007/conklin.pdf.

    Connolly, Dan. 2000. A little history of the World Wide Web: from 1945 to 1995, created circa 1995 by Robert Cailliau. W3C, revision 2016/08/29, http://www.w3.org/History.html.

    Croft, W. Bruce. 1990. “Hypertext and information retrieval: what are the fundamental concepts?”. In Hypertext: concepts, systems and applications, proceedings of the first European conference on hypertext, INRIA, France, November 1990 (362-365), edited by N. Streitz, A. Rizk and J. AndrĂ©. Cambridge: Cambridge University Press.

    Cronin, Blaise. 2001. “Bibliometrics and beyond: some thoughts on web-based citation analysis”. Journal of Information Science 27, no. 1: 1-7. Also available at http://citeseerx.ist.psu.edu/viewdoc/download?doi=10.1.1.87.2552&rep=rep1&type=pdf.

    Cunliffe, Daniel and Tudhope, Douglas. 2010. “New review of hypermedia and multimedia: reflecting on 20 years of hypermedia”. ACM SIGWEB Newsletter Winter (January): 1-3.

    Dahl, Mark. 2014. “Open URLs and reference linking: research and practical application in libraries”. OLA Quarterly 8, no. 2: 2-6 and 19, http://commons.pacificu.edu/olaq/vol8/iss2/3.

    Davies, Roy. 1989. “The creation of new knowledge by information retrieval and classification”. Journal of Documentation 45, no. 4: 273-301.

    Dechow, Douglas R. and Struppa, Daniele C. 2015. Intertwingled: the work and influence of Ted Nelson. Douglas R. Dechow, Daniele C. Struppa, editors. Cham, Heidelberg: Springer. Also available at http://www.springer.com/gp/book/9783319169248.

    De Bellis, Nicola. 2009. Bibliometrics and citation analysis: from the Science citation index to cybermetrics. Lanham: The Scarecrow Press.

    De Young, Laura. 1990. “Linking considered harmful”. In Hypertext: concepts, systems and applications, proceedings of the first European conference on hypertext, INRIA, France, November 1990 (238-249), edited by N. Streitz, A. Rizk and J. AndrĂ©. Cambridge: Cambridge University Press.

    Deleuze, Gilles and Guattari, FĂ©lix. 1976. Rhizome: introduction. Paris: Les Édition de Minuit. Also published in Mille plateaux: capitalisme et schizophrenie, 2 (9-37). Paris: Les Édition de Minuit, 1980.

    DeAndrade, Helen and Simpson, Rosemary. 1989. Hypertext '87 proceedings, November 13-15, Chapel Hill, North Carolina, graphic design by Helen DeAndrade, index by Rosemary Simpson. New York: ACM.

    DeRose, Steven J. 1989. “Expanding the notion of links”. In Hypertext '89 proceedings, November 5-8, Pittsburgh, Pennsylvania (249-257). New York: ACM.

    DeStefano, Diana and LeFevre, Jo-Anne. 2007. “Cognitive load in hypertext reading: a review”. Computers in Human Behavior 23: 1616-1641. Also available at https://pdfs.semanticscholar.org/2003/04b3639d5ac8382419099efda8a22b822bd1.pdf.

    Dong, Jielin. 2007. Network dictionary. Saratoga: Javvin Technologies.

    Doug Engelbart Institute. 2017. Doug’s 1968 demo, http://www.dougengelbart.org/firsts/dougs-1968-demo.html.

    Duncan, Elizabeth B. 1999. “A faceted approach to hypertext?”. In Hypertext: theory into practice (133-137), edited by Ray McAleese. 2nd ed. Exeter: Intellect.

    Eco, Umberto. 1979. Lector in fabula: la cooperazione interpretativa nei testi narrativi. Milano: Bompiani.

    Eco, Umberto. 1984. Semiotica e filosofia del linguaggio. Torino: Einaudi.

    Eco, Umberto. 2007. Dall’albero al labirinto: studi storici sul segno e l’interpretazione. Milano: Bompiani.

    Eco, Umberto. 2009. Vertigine della lista. Milano: Bompiani.

    Eisenlauer, Volker. 2013. A critical hypertext analysis of social media: the true colours of Facebook. London, New York: Bloombsury Academic.

    Ellis, David. 1991. “Hypertext: origins and use”. International Journal of Information Management 11, no. 1: 5-13.

    Ellis, David and Vasconcelos, Ana. 1999. “Ranganathan and the Net: using facet analysis to search and organise the World Wide Web”. Aslib Proceedings 51, no. 1: 3-10.

    Engelbart, Douglas. 1962. Augmenting human intellect: a conceptual framework. SRI Summary Report AFOSR-3223, prepared for: Director of Information Sciences, Air Force Office of Scientific Research, Washington DC, Contract AF 49(638)-1024, SRI Project No. 3578. Also available at https://www.dougengelbart.org/pubs/augment-3906.html.

    Feather, John and Sturges, Paul. 2003. International enciclopedia of information and library science, edited by John Feather and Paul Sturges. 2nd ed. London and New York: Routledge.

    Fezzi, Paolo. 1994. “Gli ipertesti: un nuovo media?”. In Oltre il testo: gli ipertesti (175-188), a cura di Mario Ricciardi. Milano: Franco Angeli.

    Finnemann, Niels Ole. 1999. Hypertext and the representational capacities of the binary alphabet, elaborated version of a lecture given at the Humanities at the Millennium-Conference on Text, medium, and meaning, University of Aarhus, Denmark, May 6-7, 1999. Arbejdspapirer no: 77-99, Centre for Cultural Research, Aarhus 1999. Also available at http://www.hum.au.dk/ckulturf/pages/publications/nof/hrc.pdf.

    Fluckiger, François. 1995. Understanding networked multimedia: applications and technology. Englewood Cliffs: Prentice Hall.

    Formica, Anna. 2006. “Ontology-based concept similarity in formal concept analysis”. Information Sciences 176: 2624-2641. Also available at https://www.researchgate.net/profile/Anna_Formica/publication/222646821.

    Foster, Allen and Ford, Nigel. 2003. “Serendipity and information seeking: an empirical study”. Journal of Documentation 59, no. 3: 321-340. Preprint available at http://cadair.aber.ac.uk/dspace/handle/2160/292.

    Fuchs, Christian. 2014. Social media: a critical introduction. London: SAGE.

    Furner, Jonathan and Ellis, David and Willett, Peter. 1996. “The representation and comparison of hypertext structures using graphs”. In Information retrieval and hypertext (75-96), edited by Maristella Agosti and Alan F. Smeaton. Boston, London, Dordrecht: Kluwe Academic Publishers.

    Garfield, Eugene. 1955. “Citation indexes for science: a new dimension through association of ideas”. Science 122, no. 3159 (15 July): 108-111. Also available at https://profiles.nlm.nih.gov/ps/access/BBAIXK.pdf.

    Gatto, Eugenio. 2006. “A righe o a quadretti?”, a cura di Caterina Barazia e Claudio Gnoli. In Le dimensioni dell’informazione: attualità della classificazione a faccette tra biblioteconomia e Web, giornata di studio AIB Piemonte-ISKO Italia, Torino, 12 Giugno 2004. ISKO Italia Documenti 2006-01-05, http://www.iskoi.org/doc/dimensioni4.htm.

    Gay, Geri and Mazur, Joan. 1991. “Navigating in hypermedia”. In Hypertext / hypermedia handbook (271-283), edited by Emily Berk and Joseph Devlin. New York: McGraw-Hill.

    Genette, GĂ©rard. 1982. Palimpsestes: la littĂ©rature au second degrĂ©. Paris: Éditions du Seuil. English translation: Palimpsests: literature in the second degree, translated by Channa Newman and Claude Doubinsky, foreword by Gerald Prince. Lincoln, London: University of Nebraska Press, 1997.

    Gihring, Tim. 2016. “The rise and fall of the Gopher protocol”. MinnPost August 11, 2016, https://www.minnpost.com/business/2016/08/rise-and-fall-gopher-protocol.

    Gillies, James and Cailliau, Robert. 2000. How the Web was born: the story of the World Wide Web. Oxford: Oxford University Press.

    Gnoli, Claudio. 2008. “Ten long-term research questions in knowledge organization”. Knowledge Organization 35, no. 2/3: 137-149. Also available at http://mate.unipv.it/gnoli/gnoli2008b.pdf.

    Gnoli, Claudio. 2015. “Knowledge organization systems (KOSs)”. In Koraljka Golub, Subject access to information: an interdisciplinary approach (43-65). Santa Barbara: Libraries Unlimited. Preprint available at http://mate.unipv.it/gnoli/ois2.rtf.

    Gnoli, Claudio and Ridi, Riccardo. 2014. “Unified theory of information, hypertextuality and levels of reality”. Journal of Documentation 70, no. 3: 443-460. Preprint available at http://mate.unipv.it/gnoli/jdoc2014uti.pdf.

    Goldfarb, Charles F. 2008. SGML source home page. http://www.sgmlsource.com/.

    Green, Rebecca. 2000. “Locating sources in humanities scholarship: the efficacy of following bibliographic references”. Library Quarterly 70, no. 2: 201-229.

    Halasz, Frank G. 1988. “Reflections on NoteCards: seven issues for the next generation of hypermedia systems”. Communications of the ACM 31, no. 7: 836-852. Also available at https://pdfs.semanticscholar.org/b430/5c7386908353f77c069e138a615076ffdcd6.pdf.

    Hammwöhner, Rainer and Kuhlen, Rainer. 1994. “Semantic control of open hypertext systems by typed objects”. Journal of Information Science 20, no. 3: 175-184.

    Heery, Rachel. 1998. “What is RDF?”. Ariadne 14, 19 March 1998, http://www.ariadne.ac.uk/issue14/what-is.

    Hern, Alex. 2014. “World's most delayed software released after 54 years of development”. The Guardian 6 June 2014, https://www.theguardian.com/technology/2014/jun/06/vapourware-software-54-years-xanadu-ted-nelson-chapman.

    Hicks, Diana, Wouters, Paul, Waltman, Ludo, De Rijcke, Sarah and Rafols, Ismael. 2015. “The Leiden manifesto for research metrics”. Nature 520 (23 April): 429-431. Also available at https://capes.gov.br/images/stories/download/diversos/2782015-The-Leiden-Manifesto.pdf.

    Hinesley, Gail A. 2007, “E-learning today: a review of research on hypertext comprehension”. AACE Journal 15, no. 3: 255-265. Also available at https://www.learntechlib.org/d/21925.

    Hjþrland, Birger. 2011. “The importance of theories of knowledge: browsing as an example”. Journal of the American Society for Information Science and Technology 62, no. 3: 594-603.

    Hjþrland, Birger. 2015. “Theories are knowledge organizing systems”. Knowledge Organization 42, no. 2: 113-128.

    Hodge, Gail. 2000. Systems of knowledge organization for digital libraries: beyond traditional authority files. Washington: The Digital Library Federation Council on Library and Information Resources. Also available at http://files.eric.ed.gov/fulltext/ED440657.pdf.

    ISO. 2001. Information and documentation. Vocabulary (ISO 5127:2001). Geneva: International Organization for Standardization.

    Jakobs, Eva-Maria. 2009. “The evolution of web-site genres”. In Language and new media: linguistic, cultural, and technological evolutions (349-365), edited by Charley Rowe and Eva L. Wyss, with a foreword by Naomi S. Baron. Cresskill: Hampton Press. Also available at https://www.researchgate.net/publication/236941614.

    Johnson, Steven. 2013. “Why no one clicked on the great hypertext story”. Wired 04.16.13, https://www.wired.com/2013/04/hypertext/.

    Jones, Ed and Seikel, Michele. 2016. Linked data for cultural heritage, edited by Ed Jones and Michele Seikel. London: Facet.

    Kale, Vivek. 2016. Big data computing: a guide for business and technology managers. Boca Raton: CRC.

    Kaplan, Andreas M. and Haenlein, Michael. 2009. “The fairyland of Second Life: virtual social worlds and how to use them”. Business Horizons 52, no. 6: 563-572.

    Keep, Christopher and McLaughing, Tim and Parmar, Robin. 2000. “Breadcrumbs”. In The electronic labyrinth, http://www2.iath.virginia.edu/elab/hfl0064.html.

    Kinnell, Susan K. and Franklin, Carl. 1992. “Hypercard and hypertext: a new technology for the 1990s”. In Encyclopedia of library and information sciences (vol. 49, suppl. 12: 278-295), executive editor Allen Kent. New York, Basel: Marcel Dekker. Reprinted as “Hypertext and Hypercard: early development” in Encyclopedia of library and information sciences (2223-2232). 3rd ed. Marcia J. Bates editor-in-chief, Mary Niles Maack associate editor. Boca Raton, London, New York: CRC Press, 2010.

    Kitzmann, Andreas. 2006. Hypertext handbook: the straight story. New York: Peter Lang.

    Klement, Milan and Dostál, Jirí. 2015. “Multimedia and interactivity: traditional and contemporary perception”. Turkish Online Journal of Educational Technology July 2015, special issue 1 for IETC 2015: 414-422. Also available at https://www.researchgate.net/publication/292986415.

    Kolb, David. 1994. “Socrates in the labyrinth”. In Hyper / Text / Theory (323-344), edited by George P. Landow. Baltimore, London: The Johns Hopkins University Press.

    Konstantinou, Nikolaos and Spanos, Dimitrios Emmanuel. 2015. Materializing the web of linked data. Cham, Heidelberg: Springer.

    Krug, Steve. 2014. Don’t make me think, revisited: a common sense approach to web usability. Berkeley: New Riders.

    Lana, Maurizio. 2004. Il testo nel computer: dal web all’analisi dei testi. Torino: Bollati Boringhieri.

    Landow, George P. 2006. Hypertext 3.0: critical theory and new media in an era of globalization. Baltimore: The Johns Hopkins University Press.

    Lasar, Matthew. 2012. “25 years of HyperCard: the missing link to the Web”. Ars Technica May 31, 2012, https://arstechnica.com/apple/2012/05/25-years-of-hypercard-the-missing-link-to-the-web/.

    Laufer, Roger and Meyriat, Jean. 1993. “Hypertexte”. In Les sciences de l’écrit: encyclopĂ©die internationale de bibliologie (314-315), sous la direction de Robert Estivals avec la collaboration de Jean Meyriat et Francois Richaudeau. Paris: Retz.

    LEM Staff. 2014. “Apple’s revolutionary HyperCard”. In Welcome to low end Mac. 2014.05.01, http://lowendmac.com/2014/apples-revolutionary-hypercard.

    LĂ©on, Laurent and Maiocchi, Marco. 2002. Giocare con la complessitĂ : la progettazione consapevole d’ipertesti. Milano: Franco Angeli.

    Lima, Gercina Angela BorĂ©m Oliveira and Maculan, Benildes Coura Moreira dos Santos. 2015. “Facet analysis as conceptual modeling of hypertexts: methodological proposal for the management of semantic content in digital libraries”. Qualitative and Quantitative Methods in Libraries 4, no. 2: 133-142, http://www.qqml.net/papers/March_2015_Issue/4114QQML_Journal_2015_Lima_133-142.pdf.

    Lucarella, Dario. 1990. “A model for hypertext-based information retrieval”. In Hypertext: concepts, systems and applications, proceedings of the first European conference on hypertext, INRIA, France, November 1990 (81-94), edited by N. Streitz, A. Rizk and J. AndrĂ©. Cambridge: Cambridge University Press.

    Margolis, Michael and Resnick, David. 2000. Politics as usual: the cyberspace “revolution”. London: SAGE.

    Marin, Alexandra and Wellman, Barry. 2011. “Social network analysis: an introduction”. In The SAGE handbook of social network analysis (11-25), edited by John P. Scott and Peter J. Carrington. London: SAGE. Preprint available at http://mis.csit.sci.tsu.ac.th/siraya/wp-content/uploads/2015/09/1Social-Network-Analysis-An-Introduction-1.pdf.

    Marino, Vittorio. 2004. “Classificazioni per il Web: i vantaggi dell’adozione di schemi a faccette”, a cura di Claudio Gnoli. AIB-WEB Contributi 2004-02-02, ultimo aggiornamento 2004-02-12, http://www.aib.it/aib/contr/marino1.htm.

    Marshall, Catherine C. and Shipman, Frank M. 2003. “Which semantic web?”. In Hypertext '03: proceedings of the fourteenth ACM conference on hypertext and hypermedia, Nottingham, UK, August 26-30, 2003 (57-66). New York: ACM. Also available at http://www.csdl.tamu.edu/~marshall/ht03-sw-4.pdf.

    Martin, James. 1990. Hyperdocuments and how to create them. Englewood Cliffs: Prentice Hall.

    MasanĂšs, Julien. 2006. Web archiving, edited by Julien MasanĂšs. Berlin, Heidelberg: Springer.

    Mazzocchi, Fulvio. 2013. “Images of thought and their relation to classification: the tree and the net”. Knowledge Organization 40, no. 6: 366-374.

    Mazzocchi, Fulvio. 2017. “Knowledge organization system (KOS)”. In ISKO encyclopedia of knowledge organization, editor-in-chief Birger Hjþrland, co-editor and web editor Claudio Gnoli, ISKO, 2016-. Version 1.1, https://www.isko.org/cyclo/kos.

    McKnight, Cliff and Dillon, Andrew and Richardson, John. 1989. “Problems in Hyperland? A human factors perspective”. Hypermedia 1, no. 2: 167-178.

    McKnight, Cliff and Dillon, Andrew and Richardson, John. 1992. “Hypermedia”. In Encyclopedia of library and information sciences (vol. 50, suppl. 13: 226-255), executive editor Allen Kent. New York, Basel: Marcel Dekker.

    McKnight, Cliff and Dillon, Andrew and Richardson, John. 1993. Hypertext: a psychological perspective, edited by Cliff McKnight, Andrew Dillon and John Richardson. New York, London, Toronto: Ellis Horwood.

    Mehler, Alexander and Dehmer, Matthias and Gleim, RĂŒdiger. 2004. “Towards logical hypertext structure: a graph-theoretic perspective”. In 4th international workshop on innovative Internet community systems: IICS 2004, Guadalajara, Mexico, June 21-23, 2004 (136-150), revised papers edited by Thomas Böhme, Victor M. Larios Rosillo, Helena Unger and Herwig Unger (Lecture Notes in Computer Science 3473). Berlin, New York: Springer. Preprint available at https://www.researchgate.net/profile/Alexander_Mehler/publication/ 221221699_Towards_Logical_Hypertext_Structure/links/0046353bc47433eba0000000.pdf.

    Meho, Lokman I. and Yang, Kiduk. 2007. “Impact of data sources on citation counts and rankings of LIS faculty: Web of science versus Scopus and Google scholar”. Journal of the American Society for Information Science and Technology 58, no. 13: 2105-2125. Also available at https://www.researchgate.net/publication/1960454.

    Meikle, Graham. 2016. Social media: communication, sharing and visibility. New York: Routledge.

    Merton, Robert K. and Barber, Elinor G. 2004. The travels and adventures of serendipity: a study in historical semantics and the sociology of science, with an introduction by James L. Shulman. Princeton, Oxford: Princeton University Press.

    Miles-Board, Timothy and Carr, Leslie and Hall, Wendy. 2002. “Looking for linking: associative links on the Web”. In Conference on hypertext and hypermedia (HT’02), College Park, Maryland, 11-15 June 2002 (76-77). New York: ACM. Also available at https://eprints.soton.ac.uk/256977/.

    Milne, J. Richard. 1994. “Hypertext and its implications for library services”. Library and Information Research News 18, no. 60: 24-29.

    Naik, Umesha and Shivalingaiah, D. 2008. “Comparative study of Web 1.0, Web 2.0 and Web 3.0”. In 6th International CALIBER-2008, University of Allahabad, Allahabad, February 28-29 and March 1, 2008, http://ir.inflibnet.ac.in/handle/1944/1285.

    Nelson, Theodor Holm. 1965. “A file structure for the complex, the changing and the indeterminate”. In ACM ’65: proceedings of the 20th national conference, Cleveland, Ohio, USA, August 24-26, 1965 (84-100). New York: ACM. Also available at http://rogerclarke.com/II/Nelson-1965.pdf.

    Nelson, Theodor Holm. 1990. Literary machines 90.1: the report on, and of, project Xanadu. Sausalito: Mindful Press.

    Nelson, Theodor Holm. 1999. Ted Nelson’s computer paradigm, expressed as one-liners, 99.01.29, http://xanadu.com.au/ted/TN/WRITINGS/TCOMPARADIGM/tedCompOneLiners.html.

    Nelson, Theodor Holm. 2001. Project Xanadu history, 01.10.05, http://www.xanadu.net/xuhistory.html.

    Nelson, Theodor Holm. 2009. Geeks bearing gifts: how the computer world got this way. Version 1.1. Sausalito: Mindful Press.

    Netcraft. 2017. February 2017 web server survey. https://news.netcraft.com/archives/2017/02/27/february-2017-web-server-survey.html.

    NeumĂŒller, Moritz. 2001. Hypertext semiotics in the commercialized Internet. Dissertation zur Erlangung des akademischen Grades eines Doktors der Sozial- und Wirtschaftswissenschaften an der WirtschaftsuniversitĂ€t Wien. Also available at http://sammelpunkt.philo.at:8080/23/2/ht_semiotics.pdf.

    Newman, Mark E. J. 2003. “Random graphs as models of networks”. In Handbook of graphs and networks: from the genome to the Internet (35-68), edited by Stefan Bornholdt and Heinz Georg Schuster. Weinheim: Wiley-VCH.

    Nielsen, Jakob. 1990. “The art of navigating through hypertext”. Communications of the ACM 33, no. 3: 296-310. Also available at http://www.eecs.wsu.edu/~assefaw/CptS580-06/papers/nielsen-hypertext.pdf.

    Nielsen, Jakob. 1995. Multimedia and hypertext: the Internet and beyond. Boston: AP Professional.

    Niu, Jinfang. 2012. “An overview of web archiving”. D-Lib Magazine 18, no. 3/4, http://www.dlib.org/dlib/march12/niu/03niu1.html.

    Nyce, James M. and Kahn, Paul. 1991. From Memex to hypertext: Vannevar Bush and the mind’s machine, edited by James M. Nyce and Paul Kahn. Boston: Academic Press.

    Nykamp, Duane Q. 2016. “An introduction to networks”. In Math insight, http://mathinsight.org/network_introduction.

    Oblak, Tanja. 2005. “The lack of interactivity and hypertextuality in online media”. Gazette: the International Journal for Communication Studies 67, no. 1: 87-106.

    Prytherch, Ray. 2005. Harrod’s librarians’ glossary and reference book, compiled by Ray Prytherch. 10th ed. Aldershot and Burlington: Ashgate.

    Rada, Roy. 1991a. Hypertext: from text to expertext. London: McGraw-Hill. Also available at http://userpages.umbc.edu/~rada/cv/pubs/hypertextbook/.

    Rada, Roy. 1991b. “Small, medium, and large hypertext”. Information Processing and Management 27, no. 6: 659-677.

    Ransom, Stephen and Wu, Xindong and Schmidt, Heinz. 1997. “Disorientation and cognitive overhead in hypertext systems”. International Journal of Artificial Intelligence Tools 6, no. 2: 227-253. Also available at https://pdfs.semanticscholar.org/3527/673ed224e9fdbd818b8b0e77e0eca5ce3636.pdf.

    Rayward, W. Boyd. 1994. “Visions of Xanadu: Paul Otlet (1868-1944) and hypertext”. Journal of the American Society for Information Science 45, no. 4: 235-250.

    Regazzi, John J. 2015. Scholarly communications: a history from content as king to content as kingmaker. Lanham: Rowman and Littlefield.

    Reyes-Garcia, Everardo and BouhaĂŻ, Nasreddine. 2017. Designing interactive hypermedia systems, edited by Everardo Reyes-Garcia and Nasreddine BouhaĂŻ. London - Hoboken: ISTE - Wiley.

    Rice, Ronald E. and McCreadie, Maureen and Chang, Shan-Ju L. 2001. Accessing and browsing information and communication. Cambridge: MIT Press.

    Ridi, Riccardo. 1996. “La biblioteca virtuale come ipertesto”. Biblioteche Oggi 14, no. 4: 10-20, http://www.bibliotecheoggi.it/1996/19960401001.PDF.

    Ridi, Riccardo. 2007. La biblioteca come ipertesto: verso l’integrazione dei servizi e dei documenti. Milano: Editrice Bibliografica.

    Ridi, Riccardo. 2008. “Hypertextual library manifesto: version 1.0”. Library Philosophy and Practice 11, n. 1, http://unllib.unl.edu/LPP/ridi.htm.

    Ridi, Riccardo. 2016. “Prima e dopo la Rete: le biblioteche, i bibliotecari e l'organizzazione ipertestuale della conoscenza”. In Bibliotecari al tempo di Google: atti del convegno, Milano, 17-18 Marzo 2016 (22-38). Milano: Editrice Bibliografica. Also available at http://eprints.rclis.org/29415/.

    Rigo, Michel. 2016. Advanced graph theory and combinatorics. Hoboken: Wiley.

    Robinson, Lyn and McGuire, Mike. 2010. “The rhizome and the tree: changing metaphors for information organisation”. Journal of Documentation 66, no. 4: 604-613.

    Roncaglia, Gino. 1999. “Ipertesti e argomentazione”. In Le comunità virtuali e i saperi umanistici (219-242), a cura di Paola Carbone e Paolo Ferri. Milano: Mimesis. Also available at http://eprints.rclis.org/5726/.

    Rosenfeld, Louis and Morville, Peter and Arango, Jorge. 2015. Information architecture: for the web and beyond. 4th ed. Sebastopol: O’ Reilly Media.

    Rosenstiehl, Pierre. 1979. “Grafo”. In Enciclopedia (vol. 6: 865-896), diretta da Ruggiero Romano. Torino: Einaudi.

    Roush, Wade. 2008. “An elegy for the multimedia CD-ROM stars”. Xconomy May 9th, 2008. http://www.xconomy.com/boston/2008/05/09/an-elegy-for-the-multimedia-software-stars/.

    Rowberry, Simon. 2015. “Indexes as hypertext”. The Indexer 33, no. 2: 50-56.

    Ryan, Johnny. 2010. A history of the Internet and the digital future. London: Reaktion Books.

    Sabharwal, Arjun. 2015. Digital curation in the digital humanities: preserving and promoting archival and special collections. Waltham, Kidlington: Chandos.

    Salarelli, Alberto. 1997. World Wide Web. Roma: Associazione Italiana Biblioteche.

    Salarelli, Alberto. 2014. “Sul perchĂ©, anche nel mondo dei Linked Data, non possiamo rinunciare al concetto di documento”. AIB Studi 54, no. 2/3: 279-293, http://aibstudi.aib.it/article/view/10128/10140.

    Satterfield, Mark Alan. 1992. A comparison of two navigational aids for hypertext. Iowa State University Digital Repository, Retrospective theses and dissertations, paper 14376, http://lib.dr.iastate.edu/rtd/14376/.

    Savage, Terry Michael and Vogel, Karla. 2014. An introduction to digital multimedia. Burlington: Jones and Bartlett.

    Schuegraf, Erns J. 1976. “Compression of large inverted files with hyperbolic term distribution”. Information Processing and Management 12, no. 6: 377-384.

    Schuyler, James A. 1975. Hypertext + tutor = hypertutor. Paper presented at the Association for the development of computer-based instructional systems summer meeting, Portland, Maine, August 4-5, 1975. Also available at http://files.eric.ed.gov/fulltext/ED111398.pdf.

    Scott, John P. and Carrington, Peter J. 2011. The SAGE handbook of social network analysis, edited by John P. Scott and Peter J. Carrington. London: SAGE.

    Shadbolt, Nigel and Hall, Wendy and Berners-Lee, Tim. 2006. “The semantic Web revisited”. IEEE Intelligent Systems May/June 2006: 96-101. Also available at https://eprints.soton.ac.uk/262614/1/Semantic_Web_Revisted.pdf.

    Shneiderman, Ben and Plaisant, Catherine and Cohen, Maxine and Jacobs, Steven M. and Elmqvist, Niklas. 2017. Designing the user interface: strategies for effective human-computer interaction. 6th ed. Harlow: Essex Pearson.

    Signore, Oreste. 1995. “Progettazione di ipertesti e ipermedia”. Scuola Normale Superiore: Centro di Ricerche Informatiche per i Beni Culturali: Bollettino d’Informazioni 5, no. 1: 71-98.

    Smiraglia, Richard P. 2014. The elements of knowledge organization. Cham, Heidelberg: Springer.

    Souza, Renato Rocha and Tudhope, Douglas and Almeida, Maurício Barcellos. 2012. “Towards a taxonomy of KOS: dimensions for classifying knowledge organization systems”. Knowledge Organization 39, no. 3: 179-192.

    Sowa, John F. 2016. "Mathematical background". Last modified 24 January 2016, http://www.jfsowa.com/logic/math.htm. Revised and extended version of “Appendix A” of Knowledge representation: logical, philosophical, and computational foundations (Pacific Grove: Brooks Cole Publishing Co. 2000).

    Stevenson, Janet. 1997. Dictionary of library and information management. Teddington: Peter Collin.

    Stock, Wolfgang G. and Stock, Mechtild. 2013. Handbook of information science. Berlin, Boston: De Gruyter.

    Trebing, Lars. 2006. “Was ist Hypertext?”. In Studium. 12.4.2006, http://www.ltrebing.de/studium/hypertext/.

    Tredinnick, Luke. 2013. “Each one of us was several: networks, rhizomes and web organism”. Knowledge Organization 40, no. 6: 414-421.

    UNESCO. 2015. Open access curriculum for researchers. Module 4: research evaluation metrics. Paris: Unesco, http://unesdoc.unesco.org/images/0023/002322/232210E.pdf.

    Van de Sompel, Herbert and Beit-Arie, Oren. 2001a. “Open linking in the scholarly information environment using the OpenURL framework”. D-Lib Magazine 7, no. 3, http://www.dlib.org/dlib/march01/vandesompel/03vandesompel.html.

    Van de Sompel, Herbert and Beit-Arie, Oren. 2001b. “Generalizing the OpenURL framework beyond references to scholarly works: the Bison-FutĂ© model”. D-Lib Magazine 7, no. 7/8, http://www.dlib.org/dlib/july01/vandesompel/07vandesompel.html.

    Van Steen, Maarten. 2010. Graph theory and complex networks: an introduction. Enschede: Distributed Systems. Also available at https://www.distributed-systems.net/index.php/books/gtcn/.

    W3C. 2004. Architecture of the World Wide Web: volume one. W3C recommendation 15 December 2004. http://www.w3.org/TR/webarch/.

    W3C. 2014. RDF 1.1 concepts and abstract syntax. W3C recommendation 25 February 2014, http://www.w3.org/TR/rdf11-concepts/.

    W3C. 2016a. Web design and applications: HTML and CSS. https://www.w3.org/standards/webdesign/htmlcss.

    W3C. 2016b. Web design and applications: accessibility. https://www.w3.org/standards/webdesign/accessibility.html.

    Waterworth, John A. and Chignell, Mark H. 1989. “A manifesto for hypermedia usability research”. Hypermedia 1, no. 3: 205-234.

    Weisstein, Eric. 2017. “Graph”. In Wolfram MathWorld. Last updated April 11 2017, http://mathworld.wolfram.com/Graph.html.

    Welsch, Erwin K. 1992. “Hypertext, hypermedia, and the humanities”. Library Trends 40, no. 4: 614-646.

    Wikipedia. 2017a. "Hypertext". In Wikipedia: the free encyclopedia. Last modified on 11 February 2017, https://en.wikipedia.org/w/index.php?title=Hypertext&oldid=764854410.

    Wikipedia. 2017b. "History of personal computers". In Wikipedia: the free encyclopedia. Last modified on 9 March 2017, https://en.wikipedia.org/w/index.php?title=History_of_personal_computers&oldid=769395405.

    Woodhead, Nigel. 1991. Hypertext and hypermedia: theory and applications. Wilmslow: Sigma Press, Wokingham: Addison-Wesley.

    Yazdani, Majid and Popescu-Belis, Andrei. 2013. “Computing text semantic relatedness using the contents and links of a hypertext encyclopedia”. Artificial Intelligence 194: 176-202, http://www.sciencedirect.com/science/article/pii/S0004370212000744.

    Zani, Maurizio. 2006. “Granularità: un percorso di analisi”. DigItalia 2, no. 2: 60-128, http://digitalia.sbn.it/article/view/302.

    Zeng, Marcia Lei. 2008. “Knowledge organization systems”. Knowledge Organization 35, no. 2/3: 160-182.

    [top of entry]

    Visited Hit Counter by Digits times since 2018-03-27 (4 months after publication).


    Version 1.1 (= 1.0 with minor corrections); version 1.0 published 2017-11-16, this version 2018-06-13, last edited 2024-05-07
    Article category: Document types, genres and media

    This article (version 1.1) is published in Knowledge Organization, vol. 45 (2018), Issue 5, pp. 393-424.
    How to cite it (version 1.1): Ridi, Riccardo. 2018. “Hypertext”. Knowledge Organization 45, no. 5: 393-424. Also available in ISKO Encyclopedia of Knowledge Organization, ed. Birger Hjþrland, coed. Claudio Gnoli, http://https://www.isko.org/cyclo/hypertext

    An extended Italian version of this article is published as Riccardo Ridi. 2018 (July). Ipertesto. Enciclopedia tascabile 39. Roma: AIB. ISBN: 978-88-7812-264-2 (print), 978-88-7812-267-3 (e-book). 133 pp. Also available at http://eprints.rclis.org/45312/.

    ©2017 ISKO. All rights reserved.