Abstract
A novel microRNA (miRNA) quantification method has been developed using stem–loop RT followed by TaqMan PCR analysis. Stem–loop RT primers are better than conventional ones in terms of RT efficiency and specificity. TaqMan miRNA assays are specific for mature miRNAs and discriminate among related miRNAs that differ by as little as one nucleotide. Furthermore, they are not affected by genomic DNA contamination. Precise quantification is achieved routinely with as little as 25 pg of total RNA for most miRNAs. In fact, the high sensitivity, specificity and precision of this method allows for direct analysis of a single cell without nucleic acid purification. Like standard TaqMan gene expression assays, TaqMan miRNA assays exhibit a dynamic range of seven orders of magnitude. Quantification of five miRNAs in seven mouse tissues showed variation from less than 10 to more than 30 000 copies per cell. This method enables fast, accurate and sensitive miRNA expression profiling and can identify and monitor potential biomarkers specific to tissues or diseases. Stem–loop RT–PCR can be used for the quantification of other small RNA molecules such as short interfering RNAs (siRNAs). Furthermore, the concept of stem–loop RT primer design could be applied in small RNA cloning and multiplex assays for better specificity and efficiency.
INTRODUCTION
MicroRNAs (miRNAs) are naturally occurring, highly conserved families of transcripts (18–25 nt in length) that are processed from larger hairpin precursors (1,2). miRNAs are found in the genomes of animals (3–9) and plants (10–12). To date, there are ∼1000 unique transcripts, including 326 human miRNAs in the Sanger Center miRNA registry (13).
miRNAs regulate gene expression by catalyzing the cleavage of messenger RNA (mRNA) (14–19) or repressing mRNA translation (19–21). They are believed to be critical in cell development, differentiation and communication (2). Specific roles include the regulation of cell proliferation and metabolism (22), developmental timing (23,24), cell death (25), haematopoiesis (26), neuron development (27), human tumorigenesis (28) and DNA methylation and chromatin modification (29).
Although miRNAs represent a relatively abundant class of transcripts, their expression levels vary greatly among species and tissues (30). Less abundant miRNAs routinely escape detection with technologies such as cloning, northern hybridization (31) and microarray analysis (32,33). Here, we present a novel real-time quantification method for accurate and sensitive detection of miRNAs and other small RNAs. This method expands the real-time PCR technology for detecting gene expression changes from macromolecules (e.g. mRNAs) to micro molecules (e.g. miRNAs).
MATERIALS AND METHODS
Targets, primers and probes (Supplementary Data)
Seventeen miRNA genes were selected from the Sanger Center miRNA Registry at http://www.sanger.ac.uk/Software/Rfam/mirna/index.shtml. All TaqMan miRNA assays are available through Applied Biosystems (P/N: 4365409). Standard TaqMan® assays for pri-miRNA precursors, pri-let-7a-3 and pri-miR-26b and pre-miRNA precursor pre-miR-30a were designed using PrimerExpress® software (Applied Biosystems, Foster City, CA). All sequences are available in the section of the Supplementary Data. Synthetic miRNA oligonucleotides were purchased from Integrated DNA Technologies (IDT, Coralville, IA).
Tissue RNA samples, cells, cell lysates and total RNA preparation
Mouse total RNA samples from brain, heart, liver, lung, thymus, ovary and embryo at day 10–12 were purchased from Ambion (P/N: 7810, 7812, 7814, 7816, 7818, 7824, 7826 and 7968). Ambion's mouse total RNAs are derived from Swiss Webster mice. All RNA samples were normalized based on the TaqMan® Gene Expression Assays for human or mouse glyceraldehyde-3-phosphate dehydrogenase (GAPDH) endogenous controls (P/N: 4310884E and 4352339E, Applied Biosystems).
Two cell lines, HepG2 and OP9, were cultured using Gibco MEM (P/N: 12492–021, Invitrogen, Carlsbad, CA) supplemented with 10% fetal bovine serum (FBS) (P/N: SH30070.01, HyClone, Logan, UT). Trypsinized cells were counted with a hemocytometer. Approximately 2.8 × 106 suspended cells were pelleted by centrifugation (Allegra 6, Beckman Coulter, Fullerton, CA) at 1500 r.p.m. for 5 min, washed with 1 ml Dulbecco's phosphate-buffered saline (PBS) without MgCl2 and CaCl2 (P/N: 14190078, Invitrogen, Carlsbad, CA). The cell pellets were re-suspended in 140 µl PBS and processed with three different sample preparation methods. With the first method, a 50 µl sample (106 cells) was mixed with an equal amount of Nucleic Acid Purification Lysis Solution (P/N: 4305895; Applied Biosystems) by pipetting up and down 10 times, and then spun briefly. The lysate was diluted 1/10 with 1 U/µl RNase inhibitor solution (P/N: N8080119; Applied Biosystems) before adding the solution to an RT reaction. In the second method, a 50 µl sample (106 cells) was used to purify total RNA using the mirVana™ miRNA Isolation Kit (P/N: 1560, Ambion, Austin, TX) according to the manufacturer's protocol. Purified total RNA was eluted in 100 µl of elution buffer. The third method involved diluting cells 1/2 with 1× PBS, heating at 95°C for 5 min, and immediately chilling on ice before aliquotting directly into RT reactions.
miRNA detection using mirVana™ miRNA detection kit
Solution hybridization-based miRNA analysis was carried out using the mirVana™ miRNA Detection Kit (Cat. #: 1552, Ambion) according to the manufacturer's protocol. RNA probes were synthesized by IDT. The radioisotope labeled RNA fragments were detected and quantitated with a Cyclone Storage Phosphor System (PerkinElmer, Boston, MA).
Reverse transcriptase reactions
Reverse transcriptase reactions contained RNA samples including purified total RNA, cell lysate, or heat-treated cells, 50 nM stem–loop RT primer (P/N: 4365386 and 4365387, Applied Biosystems), 1× RT buffer (P/N: 4319981, Applied Biosystems), 0.25 mM each of dNTPs, 3.33 U/µl MultiScribe reverse transcriptase (P/N: 4319983, Applied Biosystems) and 0.25 U/µl RNase inhibitor (P/N: N8080119; Applied Biosystems). The 7.5 µl reactions were incubated in an Applied Biosystems 9700 Thermocycler in a 96- or 384-well plate for 30 min at 16°C, 30 min at 42°C, 5 min at 85°C and then held at 4°C. All Reverse transcriptase reactions, including no-template controls and RT minus controls, were run in duplicate.
PCR
Real-time PCR was performed using a standard TaqMan® PCR kit protocol on an Applied Biosystems 7900HT Sequence Detection System (P/N: 4329002, Applied Biosystems). The 10 µl PCR included 0.67 µl RT product, 1× TaqMan® Universal PCR Master Mix (P/N: 4324018, Applied Biosystems), 0.2 µM TaqMan® probe, 1.5 µM forward primer and 0.7 µM reverse primer. The reactions were incubated in a 384-well plate at 95°C for 10 min, followed by 40 cycles of 95°C for 15 s and 60°C for 1 min. All reactions were run in triplicate. The threshold cycle (CT) is defined as the fractional cycle number at which the fluorescence passes the fixed threshold. TaqMan® CT values were converted into absolute copy numbers using a standard curve from synthetic lin-4 miRNA.
The method for real-time quantification of pri-miRNA precursors, let-7a-3 and miR-26b, and pre-miRNA precursor miR-30a was described elsewhere (34).
RESULTS
We proposed a new real-time RT–PCR scheme for miRNA quantification (Figure 1). It included two steps: RT and real-time PCR. First, the stem–loop RT primer is hybridized to a miRNA molecule and then reverse transcribed with a MultiScribe reverse transcriptase. Next, the RT products are quantified using conventional TaqMan PCR.
Figure 1.
Schematic description of TaqMan miRNA assays, TaqMan-based real-time quantification of miRNAs includes two steps, stem–loop RT and real-time PCR. Stem–loop RT primers bind to at the 3′ portion of miRNA molecules and are reverse transcribed with reverse transcriptase. Then, the RT product is quantified using conventional TaqMan PCR that includes miRNA-specific forward primer, reverse primer and a dye-labeled TaqMan probes. The purpose of tailed forward primer at 5′ is to increase its melting temperature (Tm) depending on the sequence composition of miRNA molecules.
The dynamic range and sensitivity of the miRNA quantification scheme were first evaluated using a synthetic cel-lin-4 target. Synthetic RNA was quantified based on the A260 value and diluted over seven orders of magnitude. The cel-lin-4 TaqMan miRNA assay showed excellent linearity between the log of target input and CT value, demonstrating that the assay has a dynamic range of at least 7 logs and is capable of detecting as few as seven copies in the PCR reaction (Figure 2).
Figure 2.
Dynamic range and sensitivity of the TaqMan lin-4 miRNA assay. (A) Amplification plot of synthetic lin-4 miRNA over seven orders of magnitude. Synthetic RNA input ranged from 1.3 × 10−3 fM (equivalent to 7 copies per reaction) to 1.3 × 104 fM (7 × 107 copies per reaction) in PCR; (B) Standard curve of the lin-4 miRNA.
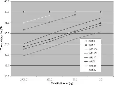
Eight additional miRNA assays were also validated using mouse lung total RNA. The RNA input ranged from 0.025 to 250 ng (Figure 3). The CT values correlated to the RNA input (R2 > 0.994) over four orders of magnitude. A negative control assay, cel-miR-2, did not give a detectable signal, even in reactions with 250 ng mouse total RNA.
Figure 3.
Correlation of total RNA input to the threshold of cycle (CT) values for eight miRNA assays. Mouse lung total RNA input ranged from 0.025 to 250 ng per RT reaction. A Caenorhabditis elegans miRNA (miR-2) was included as a negative control assay.
The expression profile of five miRNAs was determined in seven different mouse tissues to create a miRNA expression map. The copy number per cell was calculated based on the input total RNA (assuming 15 pg/cell) and the standard curve of synthetic lin-4 target. Several interesting observations were made from this expression map. First, miRNAs are very abundant, averaging 2390 copies per cell in these tissues. The level of expression ranged from less than 10 to 32 090 copies per cell. Of the 12 miRNAs, miR-16 and miR-323 were the most and least abundant miRNAs, respectively, across all tissues. In addition, each tissue had a distinctive signature of miRNA expression. The overall level of miRNA expression was highest in mouse lung and lowest in embryos. Finally, the dynamic range of miRNA expression varied greatly from less than 5-fold (let-7a) to more than 2000-fold (miR-323) among these seven tissues (Table 1).
Table 1.
Expression profiles of five miRNAs across seven mouse tissues
| miRNA ID | Copy number per cell | cFold-change | |||||||
|---|---|---|---|---|---|---|---|---|---|
| Brain | Heart | Liver | Lung | Thymus | Ovary | Embryo | Average | ||
| let-7a | 2010 | 1420 | 700 | 2390 | 1420 | 3120 | 1050 | 1730 | 5 |
| miR-16 | 10 240 | 13 520 | 3890 | 22 080 | 32 090 | 11 100 | 5210 | 14 020 | 6 |
| miR-20 | 70 | 300 | 130 | 580 | 1990 | 420 | 620 | 590 | 28 |
| miR-21 | 670 | 2540 | 4450 | 7970 | 3550 | 5310 | 390 | 3550 | 20 |
| miR-22 | 290 | 1020 | 310 | 590 | 130 | 560 | 40 | 420 | 26 |
| Average | 2240 | 2040 | 1140 | 4430 | 3540 | 2600 | 750 | 2390 | 17 |
To assess the need for RNA isolation, we added cell lysates directly to miRNA assays. The equivalent of 2.5–2500 cells were added directly to 7.5 µl RT reactions. When detected, the CT values correlated (R2 > 0.998) to the number of cells in the RT reactions over at least three orders of magnitude (Figure 4).
Figure 4.
Dynamic range of eight TaqMan miRNA assays using OP9 cell lysates. The number of cell input ranged from 3 to 2500 cells per RT. A Caenorhabditis elegans miRNA (miR-2) was used as a negative control.
The effect of non-specific genomic DNA on TaqMan miRNA assays was also tested for 12 assays. Results showed no difference in CT values in the presence or absence of 5 ng of human genomic DNA added to the RT reactions, suggesting that the assays are highly specific for RNA targets (data not shown). Based on this observation, we added heat-treated cells directly to miRNA quantification assays. Figure 5 illustrates the comparison of miRNA quantification using purified total RNA, cell lysates and heat-treated cells derived from an equal number of HepG2 cells. Adding heat-treated cells directly to the miRNA assays produced the lowest CT values, and good concordance was observed among all three different sample preparation methods.
Figure 5.
Comparison of heat-treated cells, cell lysate and total RNA for real-time quantitation of 10 miRNAs. The level of miRNA expression is measured in the threshold cycles (CT). Approximately 400 HepG2 cells were analyzed per PCR.
The reproducibility of TaqMan miRNA assays was examined by performing12 miRNA assays with 16 replicates performed by two independent operators (data not shown). The standard deviation of the CTs averaged 0.1, demonstrating the high precision of the assays.
Solution hybridization-based miRNA northern analysis was used as an independent technology to compare with TaqMan miRNA assays (Figure 6). We observed that hybridization-based miRNA analyses were less reproducible and that concordance with TaqMan assays varied from target to target. There was a general concordance between the two methods (R2 = 0.916) for miR-16 across five mouse tissue samples. However, correlations were relatively low for less abundant miRNAs, such as miR-30 (R2 = 0.751).
Figure 6.
Comparison of TaqMan miRNA miR-16 assay to solution-based northern hybridization analysis. Total RNAs from mouse kidney, liver, lung, spleen and testicle tissues were used.
Hybridization methods can lack specificity for the mature miRNAs. We investigated the ability of the TaqMan miRNA assays to differentiate between the mature miRNAs and their longer precursors, using synthetic targets for pri-miRNA precursors, pri-miR-26b and pri-let-7a and pre-miRNA precursor pre-miR-30a (Table 2). TaqMan assays designed to detect either precursors or mature miRNAs were tested with synthetic targets averaging 1.5 × 108 copies per RT reaction (1.3 × 107 copies per PCR). TaqMan miRNA analyses with only pri-miRNA precursor molecules produced CT values at least 11 cycles higher than analyses with mature miRNA ones. This result implies that if mature miRNA and precursor were at an equal concentration, the latter would contribute <0.05% background signal to the assay of mature target. For pre-miR-30a where the mature miRNA miR-30a-3p is located at the 3′ end of the pre-miR-30a sequence, a difference of 8.4 CT was observed. The results showed that TaqMan miRNA assays are specific to mature miRNAs. However, the assay specificity is better if the miRNA is located at the 5′ strand of the pre-miRNA precursor. Experiments analyzing total RNA instead of synthetic targets indicated that the precursors are at least two orders of magnitude less abundant than mature miRNAs, based on CT differences of 7 or more for miR-26b-1 and let-7a-2 precursors. Considered together, these results suggest that the TaqMan miRNA assays are highly specific for the mature miRNAs.
Table 2.
Discrimination between mature miRNAs and their pri- or pre-miRNA precursors
| ID | Synthetic miRNA (No. of copies) | Synthetic precursor (No. of copies) | Total RNA (ng) | CT miRNA | Precursor |
|---|---|---|---|---|---|
| miR-26b | 1.5 × 108 | 0 | 0 | 16.5 | ND |
| 0 | 1.5 × 108 | 0 | 27.4 | 18.7 | |
| 0 | 0 | 7.5 | 21.9 | 28.7 | |
| 0 | 0 | 0 | ND | ND | |
| let-7a | 1.5 × 108 | 0 | 0 | 16.5 | ND |
| 0 | 1.5 × 108 | 0 | 29.5 | 19.4 | |
| 0 | 0 | 7.5 | 19.9 | 34.7 | |
| 0 | 0 | 0 | ND | ND | |
| miR-30a-3p | 1.5 × 108 | 0 | 0 | 15.8 | ND |
| 0 | 1.5 × 108 | 0 | 24.2 | 17.2 | |
| 0 | 0 | 7.5 | 25.4 | 30.3 | |
| 0 | 0 | 0 | ND | ND | |
| miR-30a-5p | 1.5 × 108 | 0 | 0 | 16.3 | ND |
| 0 | 1.5 × 108 | 0 | 29.1 | 18.9 | |
| 0 | 0 | 7.5 | 22.1 | 30.3 | |
| 0 | 0 | 0 | 39.6 | ND |
The ability of the TaqMan miRNA assays to discriminate miRNAs that differ by as little as a single nucleotide was tested with the five synthetic miRNAs of let-7a, let-7b, let-7c, let-7d and let-7e (Figure 7). Each miRNA assay was examined against each miRNA. Relative detection efficiency was calculated from CT differences between perfectly matched and mismatched targets, assuming 100% efficiency for the perfect match. Very low levels of non-specific signal were observed, ranging from zero to 0.3% for miRNAs with 2–3 mismatched bases and only 0.1–3.7% for the miRNAs that differed by a single nucleotide. Most cross-reactions resulted from G–T mismatches during the RT reaction (let-7a assay versus let-7c target etc.). Only the targeted miRNA was detected if more than three mismatched bases between any two miRNAs were present.
Figure 7.
Discrimination power of let-7 miRNA assays. Relative detection (%) calculated based on CT difference between perfectly matched and mismatched targets. A total of 1.5 × 108 copies of synthetic RNA was added to RT reaction. The concentration was estimated based on the A260 values.
We compared the discrimination ability of the TaqMan miRNA assays to that of solution-based hybridization analysis (Figure 8). In our hands, the hybridization method discriminated well between let-7a and let-7b. However, poor or no discrimination was observed among let-7a, let-7c and let-7d, which differ by 1–3 nt.
Figure 8.
Poor discrimination of miRNAs with solution hybridization-based (northern) analysis.
We speculated that stem–loop primers might provide better RT efficiency and specificity than linear ones. Base stacking of the stem might enhance the thermal stability of the RNA–DNA heteroduplex. Furthermore, spatial constraint of the stem–loop would likely improve the assay specificity in comparison to conventional linear RT primers. We compared the sensitivity and specificity of the stem–loop and linear RT primers using synthetic miRNAs for let-7a (Figure 9). We observed several advantages for the stem–loop RT. First, in the presence of the synthetic let-7a target, the CT values between linear and stem–loop RT methods differed by 7, indicating that the efficiency of stem–loop RT was at least 100 times higher. Secondly, stem–loop RT discriminated better between miRNAs that differ by two bases based on ΔCT values. Finally, the stem–loop RT was at least 100 times better able to discriminate between the mature miRNA and its precursor, based on the ΔCT (precursor versus mature) of 7.
Figure 9.
Specificity of TaqMan miRNA assays between stem–loop and linear RT primers. Mature let-7a-specific assay was tested against let-7a, let-7e and pri-miR precursor let-7a-3. ΔCT represents the CT difference between two targets or methods. A total of 1.5 × 108 copies of synthetic targets were added to each RT reaction.
DISCUSSION
Since the discovery of miRNAs, remarkable advances in the characterization of these gene families have delineated the mechanism for their functions in gene regulation (35). As a result, extensive surveys have begun to identify miRNA biomarkers specific for tissue types or disease status. These studies will benefit from methods that allow for both accurate identification and quantification of miRNAs.
Current methods for detection and quantification of miRNAs are largely based on cloning, northern blotting (5), or primer extension (36). Although microarrays could improve the throughput of miRNA profiling, the method is relatively limited in terms of sensitivity and specificity (32,33). Low sensitivity becomes a problem for miRNA quantification because it is difficult to amplify these short RNA targets. Furthermore, low specificity may lead to false positive signal from closely related miRNAs, precursors and genomic sequences. More recently, a modified Invader assay has been reported for the quantification of several miRNAs (37). However, Invader assays have limited specificity and sensitivity, requiring at least 50 ng total RNA, or 1000 lysed cells, per assay.
Real-time PCR is the gold standard for gene expression quantification (38,39). It has been a long challenge for scientists to design a conventional PCR assay from miRNAs averaging ∼22 nt in length. We developed a novel scheme to design TaqMan PCR assays that specifically quantify miRNA expression levels with superior performance over existing conventional detection methods. We have designed and validated assays for 222 human miRNAs (Chen et al., unpublished data). These assays combine the power of PCR for exquisite sensitivity, real-time monitoring for a large dynamic range and TaqMan assay reporters to increase the specificity. In our hands, miRNA precursors were at least 2000 times less effective targets than mature miRNAs (Table 2). Because these assays are insensitive to precursors or genomic DNA, we were able to add heat-treated cells directly to the assays, eliminating the need for sample preparation. For applications where both mature miRNAs and their precursors need to be assayed, conventional TaqMan assays can be used in parallel to specifically detected precursors.
We observed the better specificity and sensitivity of stem–loop RT primers than conventional linear ones likely due to the base stacking and spatial constraint of the stem–loop structure (Figure 9). The base stacking could improve the thermal stability and extend the effective footprint of RT primer/RNA duplex that may be required for effective RT from relatively shorter RT primers. The spatial constraint of the stem–loop structure may prevent it from binding double-strand genomic DNA molecules and, therefore, eliminate the need of TaqMan miRNA assays for RNA sample preparation. Stem–loop RT primers can potentially be used for multiplex RT reactions and small RNA cloning for possibly better efficiency and specificity.
There is an increasing need for sensitive and specific whole miRNA profiling. The ability to effectively profile miRNAs could lead to the discoveries of disease- or tissue-specific miRNA biomarkers, as well as contribute to the understanding of how miRNAs regulate stem cell differentiation. Our stem–loop RT–PCR method should provide a practical solution for these studies. We are currently developing multiplex approaches that should further increase the utility of this method.
SUPPLEMENTARY DATA
Supplementary Data are available at NAR Online.
Supplementary Material
[Supplementary Material]
Acknowledgments
We greatly thank Kelly McDonald, Fenton Williams, Will Bloch, Neil Straus, and Victor Ambros for critical reading of the manuscript. Funding to pay the Open Access publication charges for this article was provided by Applied Biosystems.
Conflict of interest statement. None declared.
REFERENCES
- 1.Ambros V. The functions of animal microRNAs. Nature. 2004;431:350–355. doi: 10.1038/nature02871. [DOI] [PubMed] [Google Scholar]
- 2.Bartel D.P. MicroRNAs: genomics, biogenesis, mechanism, and function. Cell. 2004;116:281–297. doi: 10.1016/s0092-8674(04)00045-5. [DOI] [PubMed] [Google Scholar]
- 3.Mourelatos Z., Dostie J., Paushkin S., Sharma A., Charroux B., Abel L., Rappsilber J., Mann M., Dreyfuss G. miRNPs: a novel class of ribonucleoproteins containing numerous microRNAs. Genes Dev. 2002;16:720–728. doi: 10.1101/gad.974702. [DOI] [PMC free article] [PubMed] [Google Scholar]
- 4.Lau N.C., Lim L.P., Weinstein E.G., Bartel D.P. An abundant class of tiny RNAs with probable regulatory roles in Caenorhabditis elegans. Science. 2001;294:858–862. doi: 10.1126/science.1065062. [DOI] [PubMed] [Google Scholar]
- 5.Lagos-Quintana M., Rauhut R., Lendeckel W., Tuschl T. Identification of novel genes coding for small expressed RNAs. Science. 2001;294:853–858. doi: 10.1126/science.1064921. [DOI] [PubMed] [Google Scholar]
- 6.Lagos-Quintana M., Rauhut R., Yalcin A., Meyer J., Lendeckel W., Tuschl T. Identification of tissue-specific microRNAs from mouse. Curr. Biol. 2002;12:735–739. doi: 10.1016/s0960-9822(02)00809-6. [DOI] [PubMed] [Google Scholar]
- 7.Lagos-Quintana M., Rauhut R., Meyer J., Borkhardt A., Tuschl T. New microRNAs from mouse and human. RNA. 2003;9:175–179. doi: 10.1261/rna.2146903. [DOI] [PMC free article] [PubMed] [Google Scholar]
- 8.Lai E.C. Micro RNAs are complementary to 3′-UTR sequence motifs that mediate negative post-transcriptional regulation. Nature Genet. 2002;30:363–364. doi: 10.1038/ng865. [DOI] [PubMed] [Google Scholar]
- 9.Lee R.C., Ambros V. An extensive class of small RNAs in Caenorhabditis elegans. Science. 2001;294:862–864. doi: 10.1126/science.1065329. [DOI] [PubMed] [Google Scholar]
- 10.Llave C., Xie Z., Kasschau K.D., Carrington J.C. Cleavage of Scarecrow-like mRNA targets directed by a class of Arabidopsis miRNA. Science. 2002;297:2053–2056. doi: 10.1126/science.1076311. [DOI] [PubMed] [Google Scholar]
- 11.Park W., Li J., Song R., Messing J., Chen X. CARPEL FACTORY, a Dicer homolog, and HEN1, a novel protein, act in microRNA metabolism in Arabidopsis thaliana. Curr. Biol. 2002;12:1484–1495. doi: 10.1016/s0960-9822(02)01017-5. [DOI] [PMC free article] [PubMed] [Google Scholar]
- 12.Reinhart B.J., Weinstein E.G., Rhoades M.W., Bartel B., Bartel D.P. MicroRNAs in plants [Erratum (2002) Genes Dev., 16, 2313.] Genes Dev. 2002;16:1616–1626. doi: 10.1101/gad.1004402. [DOI] [PMC free article] [PubMed] [Google Scholar]
- 13.Griffiths-Jones S. The microRNA Registry. Nucleic Acids Res. 2004;32:D109–D111. doi: 10.1093/nar/gkh023. [DOI] [PMC free article] [PubMed] [Google Scholar]
- 14.Hutvagner G., Zamore P.D. A microRNA in a multiple-turnover RNAi enzyme complex. Science. 2002;297:2056–2060. doi: 10.1126/science.1073827. [DOI] [PubMed] [Google Scholar]
- 15.Zhang H., Kolb F.A., Brondani V., Billy E., Filipowicz W. Human Dicer preferentially cleaves dsRNAs at their termini without a requirement for ATP. EMBO J. 2002;21:5875–5885. doi: 10.1093/emboj/cdf582. [DOI] [PMC free article] [PubMed] [Google Scholar]
- 16.Zhang H., Kolb F.A., Jaskiewicz L., Westhof E., Filipowicz W. Single processing center models for human Dicer and bacterial RNase III. Cell. 2004;118:57–68. doi: 10.1016/j.cell.2004.06.017. [DOI] [PubMed] [Google Scholar]
- 17.Zhang S., Semino C.E. Design peptide scaffolds for regenerative medicine. Adv. Exp. Med. Biol. 2003;534:147–163. doi: 10.1007/978-1-4615-0063-6_12. [DOI] [PubMed] [Google Scholar]
- 18.Doench J.G., Petersen C.P., Sharp P.A. siRNAs can function as miRNAs. Genes Dev. 2003;17:438–442. doi: 10.1101/gad.1064703. [DOI] [PMC free article] [PubMed] [Google Scholar]
- 19.Doench J.G., Sharp P.A. Specificity of microRNA target selection in translational repression. Genes Dev. 2004;18:504–511. doi: 10.1101/gad.1184404. [DOI] [PMC free article] [PubMed] [Google Scholar]
- 20.Wightman B., Ha I., Ruvkun G. Posttranscriptional regulation of the heterochronic gene lin-14 by lin-4 mediates temporal pattern formation in C.elegans. Cell. 1993;75:855–862. doi: 10.1016/0092-8674(93)90530-4. [DOI] [PubMed] [Google Scholar]
- 21.Olsen P.H., Ambros V. The lin-4 regulatory RNA controls developmental timing in Caenorhabditis elegans by blocking LIN-14 protein synthesis after the initiation of translation. Dev. Biol. 1999;216:671–680. doi: 10.1006/dbio.1999.9523. [DOI] [PubMed] [Google Scholar]
- 22.Brennecke J., Hipfner D.R., Stark A., Russell R.B., Cohen S.M. Bantam encodes a developmentally regulated microRNA that controls cell proliferation and regulates the proapoptotic gene hid in Drosophila. Cell. 2003;113:25–36. doi: 10.1016/s0092-8674(03)00231-9. [DOI] [PubMed] [Google Scholar]
- 23.Reinhart B.J., Slack F.J., Basson M., Pasqulnelli A.E., Bettinger J.C., Rougvie A.E., Horvitz H.R., Ruvkun G. The 21-nucleotide let-7 RNA regulates developmental timing in Caenorhabditis elegans. Nature. 2000;403:901–906. doi: 10.1038/35002607. [DOI] [PubMed] [Google Scholar]
- 24.Ambros V. MicroRNA pathways in flies and worms: growth, death, fat, stress, and timing [Erratum (2003) Cell, 114, 269.] Cell. 2003;113:673–676. doi: 10.1016/s0092-8674(03)00428-8. [DOI] [PubMed] [Google Scholar]
- 25.Baehrecke E.H. miRNAs: micro managers of programmed cell death. Curr. Biol. 2003;13:R473–R475. doi: 10.1016/s0960-9822(03)00405-6. [DOI] [PubMed] [Google Scholar]
- 26.Chen C.-Z., Li L., Lodish H.F., Bartel D.P. MicroRNAs modulate hematopoietic lineage differentiation. Science. 2004;303:83–86. doi: 10.1126/science.1091903. [DOI] [PubMed] [Google Scholar]
- 27.Johnston R.J., Hobert O. A microRNA controlling left/right neuronal asymmetry in Caenorhabditis elegans. Nature. 2003;426:845–849. doi: 10.1038/nature02255. [DOI] [PubMed] [Google Scholar]
- 28.Michael M.Z., O'Connor S.M., van Holst Pellekaan N.G., Young G.P., James R.J. Reduced accumulation of specific microRNAs in colorectal neoplasia. Mol. Cancer Res. 2003;1:882–891. [PubMed] [Google Scholar]
- 29.Bao N., Lye K.-W., Barton M.K. MicroRNA binding sites in Arabidopsis class III HD-ZIP mRNAs are required for methylation of the template chromosome. Dev. Cell. 2004;7:653–662. doi: 10.1016/j.devcel.2004.10.003. [DOI] [PubMed] [Google Scholar]
- 30.Kim J., Krichevsky A., Grad Y., Hayes G.D., Kosik K.S., Church G.M., Ruvkun G. Identification of many microRNAs that copurify with polyribosomes in mammalian neurons. Proc. Natl Acad. Sci. USA. 2004;101:360–365. doi: 10.1073/pnas.2333854100. [DOI] [PMC free article] [PubMed] [Google Scholar]
- 31.Lim L.P., Glasner M.E., Yekta S., Burge C.B., Bartel D.P. Vertebrate microRNA genes. Science. 2003;299:1540. doi: 10.1126/science.1080372. [DOI] [PubMed] [Google Scholar]
- 32.Krichevsky A.M., King K.S., Donahue C.P., Khrapko K., Kosik K.S. A microRNA array reveals extensive regulation of microRNAs during brain development [Erratum (2004) RNA, 10, 551.] RNA. 2003;9:1274–1281. doi: 10.1261/rna.5980303. [DOI] [PMC free article] [PubMed] [Google Scholar]
- 33.Liu C.-G., Calin G.A., Meloon B., Gamliel N., Sevignani C., Ferracin M., Dumitru C.D., Shimizu M., Zupo S., Dono M., et al. An oligonucleotide microchip for genome-wide microRNA profiling in human and mouse tissues. Proc. Natl Acad. Sci. USA. 2004;101:9740–9744. doi: 10.1073/pnas.0403293101. [DOI] [PMC free article] [PubMed] [Google Scholar]
- 34.Schmittgen T.D., Jiang J., Liu Q., Yang L. A high-throughput method to monitor the expression of microRNA precursors. Nucleic Acids Res. 2004;32:e43. doi: 10.1093/nar/gnh040. [DOI] [PMC free article] [PubMed] [Google Scholar]
- 35.He L., Hannon G.J. MicroRNAs: small RNAs with a big role in gene regulation. Nature Rev. Genet. 2004;5:522–531. doi: 10.1038/nrg1379. [DOI] [PubMed] [Google Scholar]
- 36.Zeng Y., Cullen B.R. Sequence requirements for micro RNA processing and function in human cells. RNA. 2003;9:112–123. doi: 10.1261/rna.2780503. [DOI] [PMC free article] [PubMed] [Google Scholar]
- 37.Allawi H.T., Dahlberg J.E., Olson S., Lund E., Olson M., Ma W.-P., Takova T., Neri B.P., Lyamichev V.I. Quantitation of microRNAs using a modified Invader assay. RNA. 2004;10:1153–1161. doi: 10.1261/rna.5250604. [DOI] [PMC free article] [PubMed] [Google Scholar]
- 38.Livak K.J., Schmittgen T.D. Analysis of relative gene expression data using real-time quantitative PCR and the 2[-Delta Delta C(T)] Method. Methods. 2001;25:402–408. doi: 10.1006/meth.2001.1262. [DOI] [PubMed] [Google Scholar]
- 39.Heid C.A., Stevens J., Livak K.J., Williams P.M. Real time quantitative PCR. Genome Res. 1996;6:986–994. doi: 10.1101/gr.6.10.986. [DOI] [PubMed] [Google Scholar]
Associated Data
This section collects any data citations, data availability statements, or supplementary materials included in this article.
Supplementary Materials
[Supplementary Material]








