Prime-counting function
In mathematics, the prime-counting function is the function counting the number of prime numbers less than or equal to some real number x.[1][2] It is denoted by π(x) (unrelated to the number π).
![]()
The values of π(n) for the first 60 positive integers
History
Of great interest in number theory is the growth rate of the prime-counting function.[3][4] It was conjectured in the end of the 18th century by Gauss and by Legendre to be approximately
in the sense that
This statement is the prime number theorem. An equivalent statement is
where li is the logarithmic integral function. The prime number theorem was first proved in 1896 by Jacques Hadamard and by Charles de la Vallée Poussin independently, using properties of the Riemann zeta function introduced by Riemann in 1859. Proofs of the prime number theorem not using the zeta function or complex analysis were found around 1948 by Atle Selberg and by Paul Erdős (for the most part independently).[5]
In 1899, de la Vallée Poussin proved that (see also Theorem 23 of[6])
for some positive constant a. Here, O(...) is the big O notation.
More precise estimates of are now known. For example, in 2002, Kevin Ford proved that[7]
- .
In 2016, Tim Trudgian proved an explicit upper bound for the difference between and :
for .[8]
For most values of we are interested in (i.e., when is not unreasonably large) is greater than . However, is known to change sign infinitely many times. For a discussion of this, see Skewes' number.
Exact form
Of profound importance, Bernhard Riemann proved that the prime-counting function is exactly[9]
where
- ,
μ(n) is the Möbius function, li(x) is the logarithmic integral function, ρ indexes every zero of the Riemann zeta function, and li(xρ/n) is not evaluated with a branch cut but instead considered as Ei(ρ/n ln x) where Ei(x) is the exponential integral. Equivalently, if the trivial zeros are collected and the sum is taken only over the non-trivial zeros ρ of the Riemann zeta function, then π(x) may be written
- .
The Riemann hypothesis suggests that every such non-trivial zero lies along Re(s) = 1/2.
Table of π(x), x / ln x, and li(x)
The table shows how the three functions π(x), x / ln x and li(x) compare at powers of 10. See also,[3][10][11] and[12]
x π(x) π(x) − x / ln x li(x) − π(x) x / π(x) x / ln x % Error 10 4 −0.3 2.2 2.500 -7.5% 102 25 3.3 5.1 4.000 13.20% 103 168 23 10 5.952 13.69% 104 1,229 143 17 8.137 11.64% 105 9,592 906 38 10.425 9.45% 106 78,498 6,116 130 12.740 7.79% 107 664,579 44,158 339 15.047 6.64% 108 5,761,455 332,774 754 17.357 5.78% 109 50,847,534 2,592,592 1,701 19.667 5.10% 1010 455,052,511 20,758,029 3,104 21.975 4.56% 1011 4,118,054,813 169,923,159 11,588 24.283 4.13% 1012 37,607,912,018 1,416,705,193 38,263 26.590 3.77% 1013 346,065,536,839 11,992,858,452 108,971 28.896 3.47% 1014 3,204,941,750,802 102,838,308,636 314,890 31.202 3.21% 1015 29,844,570,422,669 891,604,962,452 1,052,619 33.507 2.99% 1016 279,238,341,033,925 7,804,289,844,393 3,214,632 35.812 2.79% 1017 2,623,557,157,654,233 68,883,734,693,281 7,956,589 38.116 2.63% 1018 24,739,954,287,740,860 612,483,070,893,536 21,949,555 40.420 2.48% 1019 234,057,667,276,344,607 5,481,624,169,369,960 99,877,775 42.725 2.34% 1020 2,220,819,602,560,918,840 49,347,193,044,659,701 222,744,644 45.028 2.22% 1021 21,127,269,486,018,731,928 446,579,871,578,168,707 597,394,254 47.332 2.11% 1022 201,467,286,689,315,906,290 4,060,704,006,019,620,994 1,932,355,208 49.636 2.02% 1023 1,925,320,391,606,803,968,923 37,083,513,766,578,631,309 7,250,186,216 51.939 1.93% 1024 18,435,599,767,349,200,867,866 339,996,354,713,708,049,069 17,146,907,278 54.243 1.84% 1025 176,846,309,399,143,769,411,680 3,128,516,637,843,038,351,228 55,160,980,939 56.546 1.77% 1026 1,699,246,750,872,437,141,327,603 28,883,358,936,853,188,823,261 155,891,678,121 58.850 1.70% 1027 16,352,460,426,841,680,446,427,399 267,479,615,610,131,274,163,365 508,666,658,006 61.153 1.64%
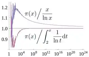
Graph showing ratio of the prime-counting function π(x) to two of its approximations, x/ln x and Li(x). As x increases (note x axis is logarithmic), both ratios tend towards 1. The ratio for x/ln x converges from above very slowly, while the ratio for Li(x) converges more quickly from below.
![]()
In the On-Line Encyclopedia of Integer Sequences, the π(x) column is sequence OEIS: A006880, π(x) − x/ln x is sequence OEIS: A057835, and li(x) − π(x) is sequence OEIS: A057752.
The value for π(1024) was originally computed by J. Buethe, J. Franke, A. Jost, and T. Kleinjung assuming the Riemann hypothesis.[13] It was later verified unconditionally in a computation by D. J. Platt.[14] The value for π(1025) is due to J. Buethe, J. Franke, A. Jost, and T. Kleinjung.[15] The value for π(1026) was computed by D. B. Staple.[16] All other prior entries in this table were also verified as part of that work.
The value for 1027 was published in 2015 by David Baugh and Kim Walisch.[17]
Algorithms for evaluating π(x)
A simple way to find , if is not too large, is to use the sieve of Eratosthenes to produce the primes less than or equal to and then to count them.
A more elaborate way of finding is due to Legendre (using the inclusion–exclusion principle): given , if are distinct prime numbers, then the number of integers less than or equal to which are divisible by no is
(where denotes the floor function). This number is therefore equal to
when the numbers are the prime numbers less than or equal to the square root of .
The Meissel–Lehmer algorithm
Main article: Meissel–Lehmer algorithm
In a series of articles published between 1870 and 1885, Ernst Meissel described (and used) a practical combinatorial way of evaluating . Let , be the first primes and denote by the number of natural numbers not greater than which are divisible by no . Then
Given a natural number , if and if , then
Using this approach, Meissel computed , for equal to 5×105, 106, 107, and 108.
In 1959, Derrick Henry Lehmer extended and simplified Meissel's method. Define, for real and for natural numbers and , as the number of numbers not greater than m with exactly k prime factors, all greater than . Furthermore, set . Then
where the sum actually has only finitely many nonzero terms. Let denote an integer such that , and set . Then and when ≥ 3. Therefore,
The computation of can be obtained this way:
- ,
where the sum is over prime numbers.
On the other hand, the computation of can be done using the following rules:
Using his method and an IBM 701, Lehmer was able to compute .
Further improvements to this method were made by Lagarias, Miller, Odlyzko, Deléglise and Rivat.[18]
Other prime-counting functions
Other prime-counting functions are also used because they are more convenient to work with. One is Riemann's prime-counting function, usually denoted as or . This has jumps of 1/n for prime powers pn, with it taking a value halfway between the two sides at discontinuities. That added detail is used because then the function may be defined by an inverse Mellin transform. Formally, we may define by
where p is a prime.
We may also write
where is the von Mangoldt function and
The Möbius inversion formula then gives
Knowing the relationship between log of the Riemann zeta function and the von Mangoldt function , and using the Perron formula we have
The Chebyshev function weights primes or prime powers pn by ln(p):
Formulas for prime-counting functions
Formulas for prime-counting functions come in two kinds: arithmetic formulas and analytic formulas. Analytic formulas for prime-counting were the first used to prove the prime number theorem. They stem from the work of Riemann and von Mangoldt, and are generally known as explicit formulas.[19]
We have the following expression for ψ:
where
Here ρ are the zeros of the Riemann zeta function in the critical strip, where the real part of ρ is between zero and one. The formula is valid for values of x greater than one, which is the region of interest. The sum over the roots is conditionally convergent, and should be taken in order of increasing absolute value of the imaginary part. Note that the same sum over the trivial roots gives the last subtrahend in the formula.
For we have a more complicated formula
![]()
Riemann's explicit formula using the first 200 non-trivial zeros of the zeta function
Again, the formula is valid for x > 1, while ρ are the nontrivial zeros of the zeta function ordered according to their absolute value, and, again, the latter integral, taken with minus sign, is just the same sum, but over the trivial zeros. The first term li(x) is the usual logarithmic integral function; the expression li(xρ) in the second term should be considered as Ei(ρ ln x), where Ei is the analytic continuation of the exponential integral function from negative reals to the complex plane with branch cut along the positive reals.
Thus, Möbius inversion formula gives us[20]
valid for x > 1, where
is Riemann's R-function[21] and μ(n) is the Möbius function. The latter series for it is known as Gram series.[22][23] Because for all , this series converges for all positive x by comparison with the series for .
![]()
Δ-function (red line) on log scale
The sum over non-trivial zeta zeros in the formula for describes the fluctuations of while the remaining terms give the "smooth" part of prime-counting function,[24] so one can use
as the best estimator of for x > 1.
The amplitude of the "noisy" part is heuristically about so the fluctuations of the distribution of primes may be clearly represented with the Δ-function:
An extensive table of the values of Δ(x) is available.[11]
Inequalities
Here are some useful inequalities for π(x).
for x ≥ 17.
The left inequality holds for x ≥ 17 and the right inequality holds for x > 1. The constant 1.25506 is to 5 decimal places, as has its maximum value at x = 113.[25]
Pierre Dusart proved in 2010:
- for , and
- for .[26]
Here are some inequalities for the nth prime, pn. The upper bound is due to Rosser (1941),[27] the lower one to Dusart (1999):[28]
for n ≥ 6.
The left inequality holds for n ≥ 2 and the right inequality holds for n ≥ 6.
An approximation for the nth prime number is
Ramanujan[29] proved that the inequality
holds for all sufficiently large values of .
In,[26] Dusart proved (Proposition 6.6) that, for ,
- ,
and (Proposition 6.7) that, for ,
- .
More recently, Dusart[30] has proved (Theorem 5.1) that, for ,
- ,
and that, for ,
- .
The Riemann hypothesis
The Riemann hypothesis is equivalent to a much tighter bound on the error in the estimate for , and hence to a more regular distribution of prime numbers,
Specifically,[31]
See also
- Foias constant
- Bertrand's postulate
- Oppermann's conjecture
- Ramanujan prime
References
- ^ Bach, Eric; Shallit, Jeffrey (1996). Algorithmic Number Theory. MIT Press. volume 1 page 234 section 8.8. ISBN 0-262-02405-5.
- ^ Weisstein, Eric W. "Prime Counting Function". MathWorld.
- ^ a b "How many primes are there?". Chris K. Caldwell. Retrieved 2008-12-02.
- ^ Dickson, Leonard Eugene (2005). History of the Theory of Numbers, Vol. I: Divisibility and Primality. Dover Publications. ISBN 0-486-44232-2.
- ^ Ireland, Kenneth; Rosen, Michael (1998). A Classical Introduction to Modern Number Theory (Second ed.). Springer. ISBN 0-387-97329-X.
- ^ A. E. Ingham (2000). The Distribution of Prime Numbers. Cambridge University Press. ISBN 0-521-39789-8.
- ^ Kevin Ford (November 2002). "Vinogradov's Integral and Bounds for the Riemann Zeta Function" (PDF). Proc. London Math. Soc. 85 (3): 565–633. arXiv:1910.08209. doi:10.1112/S0024611502013655. S2CID 121144007.
- ^ Tim Trudgian (February 2016). "Updating the error term in the prime number theorem". Ramanujan Journal. 39 (2): 225–234. arXiv:1401.2689. doi:10.1007/s11139-014-9656-6. S2CID 11013503.
- ^ "The Fluctuations of the Prime-counting Function pi(x)". www.primefan.ru. Retrieved 17 May 2019.
- ^ "Tables of values of pi(x) and of pi2(x)". Tomás Oliveira e Silva. Retrieved 2008-09-14.
- ^ a b "Values of π(x) and Δ(x) for various values of x". Andrey V. Kulsha. Retrieved 2008-09-14.
- ^ "A table of values of pi(x)". Xavier Gourdon, Pascal Sebah, Patrick Demichel. Retrieved 2008-09-14.
- ^ "Conditional Calculation of pi(1024)". Chris K. Caldwell. Retrieved 2010-08-03.
- ^ Platt, David J. (2012). "Computing π(x) Analytically)". arXiv:1203.5712 [math.NT].
- ^ "How Many Primes Are There?". J. Buethe. Retrieved 2015-09-01.
- ^ Staple, Douglas (19 August 2015). The combinatorial algorithm for computing pi(x) (Thesis). Dalhousie University. Retrieved 2015-09-01.
- ^ Walisch, Kim (September 6, 2015). "New confirmed pi(10^27) prime counting function record". Mersenne Forum.
- ^ Marc Deleglise; Joel Rivat (January 1996). "Computing π(x): The Meissel, Lehmer, Lagarias, Miller, Odlyzko method" (PDF). Mathematics of Computation. 65 (213): 235–245. doi:10.1090/S0025-5718-96-00674-6.
- ^ Titchmarsh, E.C. (1960). The Theory of Functions, 2nd ed. Oxford University Press.
- ^ Riesel, Hans; Göhl, Gunnar (1970). "Some calculations related to Riemann's prime number formula". Mathematics of Computation. American Mathematical Society. 24 (112): 969–983. doi:10.2307/2004630. ISSN 0025-5718. JSTOR 2004630. MR 0277489.
- ^ Weisstein, Eric W. "Riemann Prime Counting Function". MathWorld.
- ^ Riesel, Hans (1994). Prime Numbers and Computer Methods for Factorization. Progress in Mathematics. 126 (2nd ed.). Birkhäuser. pp. 50–51. ISBN 0-8176-3743-5.
- ^ Weisstein, Eric W. "Gram Series". MathWorld.
- ^ "The encoding of the prime distribution by the zeta zeros". Matthew Watkins. Retrieved 2008-09-14.
- ^ Rosser, J. Barkley; Schoenfeld, Lowell (1962). "Approximate formulas for some functions of prime numbers". Illinois J. Math. 6: 64–94. doi:10.1215/ijm/1255631807. ISSN 0019-2082. Zbl 0122.05001.
- ^ a b Dusart, Pierre (2 Feb 2010). "Estimates of Some Functions Over Primes without R.H.". arXiv:1002.0442v1 [math.NT].
- ^ Rosser, Barkley (1941). "Explicit bounds for some functions of prime numbers". American Journal of Mathematics. 63 (1): 211–232. doi:10.2307/2371291. JSTOR 2371291.
- ^ Dusart, Pierre (1999). "The kth prime is greater than k(lnk+lnlnk-1) for k>=2". Mathematics of Computation. 68 (225): 411–415. doi:10.1090/S0025-5718-99-01037-6.
- ^ Berndt, Bruce C. (2012-12-06). Ramanujan's Notebooks, Part IV. Springer Science & Business Media. pp. 112–113. ISBN 9781461269328.
- ^ Dusart, Pierre (January 2018). "Explicit estimates of some functions over primes". Ramanujan Journal. 45 (1): 225–234. doi:10.1007/s11139-016-9839-4. S2CID 125120533.
- ^ Schoenfeld, Lowell (1976). "Sharper bounds for the Chebyshev functions θ(x) and ψ(x). II". Mathematics of Computation. American Mathematical Society. 30 (134): 337–360. doi:10.2307/2005976. ISSN 0025-5718. JSTOR 2005976. MR 0457374.
External links
- Chris Caldwell, The Nth Prime Page at The Prime Pages.
- Tomás Oliveira e Silva, Tables of prime-counting functions.
This article is copied from an article on Wikipedia® - the free encyclopedia created and edited by its online user community. The text was not checked or edited by anyone on our staff. Although the vast majority of Wikipedia® encyclopedia articles provide accurate and timely information, please do not assume the accuracy of any particular article. This article is distributed under the terms of GNU Free Documentation License.